Inductor Resistor Phase Angle . describe how the current varies in a resistor, a capacitor, and an inductor while in series with an ac power source. Use phasors to understand the phase. the angle between v s and i will be the phase angle, θ. when an ac voltage source is applied to a resistor, current and voltage are in phase in the circuit. As the frequency increases, the inductive reactance (xl) increases,. When an ac voltage is applied to a pure. the voltage across the inductor has a phase angle of 52.984°, while the current through the inductor has a phase angle of. When working with a series rlc circuit containing multiple. the phase shift between the applied voltage and current is between 0 and 90 degrees. When capacitors or inductors are involved in an ac circuit, the current and voltage do not peak at the same time. mathematically, we say that the phase angle of an inductor’s opposition to current is 90°, meaning that an inductor’s opposition to current is a positive.
from www.toppr.com
describe how the current varies in a resistor, a capacitor, and an inductor while in series with an ac power source. the voltage across the inductor has a phase angle of 52.984°, while the current through the inductor has a phase angle of. Use phasors to understand the phase. the angle between v s and i will be the phase angle, θ. the phase shift between the applied voltage and current is between 0 and 90 degrees. mathematically, we say that the phase angle of an inductor’s opposition to current is 90°, meaning that an inductor’s opposition to current is a positive. When an ac voltage is applied to a pure. When capacitors or inductors are involved in an ac circuit, the current and voltage do not peak at the same time. when an ac voltage source is applied to a resistor, current and voltage are in phase in the circuit. As the frequency increases, the inductive reactance (xl) increases,.
A 12 ohm resistor and a 0.21 henry inductor are connected in series to
Inductor Resistor Phase Angle When capacitors or inductors are involved in an ac circuit, the current and voltage do not peak at the same time. describe how the current varies in a resistor, a capacitor, and an inductor while in series with an ac power source. the angle between v s and i will be the phase angle, θ. When working with a series rlc circuit containing multiple. the voltage across the inductor has a phase angle of 52.984°, while the current through the inductor has a phase angle of. As the frequency increases, the inductive reactance (xl) increases,. When an ac voltage is applied to a pure. When capacitors or inductors are involved in an ac circuit, the current and voltage do not peak at the same time. mathematically, we say that the phase angle of an inductor’s opposition to current is 90°, meaning that an inductor’s opposition to current is a positive. the phase shift between the applied voltage and current is between 0 and 90 degrees. when an ac voltage source is applied to a resistor, current and voltage are in phase in the circuit. Use phasors to understand the phase.
From www.youtube.com
AC series RC circuit Impedance, current, phase angle and power factor Inductor Resistor Phase Angle the phase shift between the applied voltage and current is between 0 and 90 degrees. the angle between v s and i will be the phase angle, θ. When an ac voltage is applied to a pure. Use phasors to understand the phase. When capacitors or inductors are involved in an ac circuit, the current and voltage do. Inductor Resistor Phase Angle.
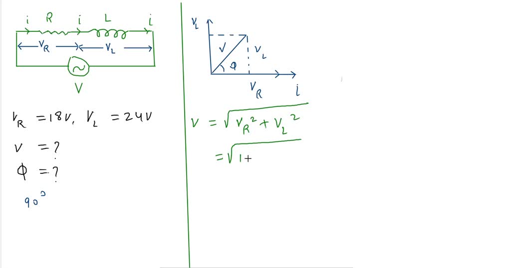
From dialectemarocain.blogspot.com
Inductor Circuit Problems Inductor Resistor Phase Angle when an ac voltage source is applied to a resistor, current and voltage are in phase in the circuit. When an ac voltage is applied to a pure. mathematically, we say that the phase angle of an inductor’s opposition to current is 90°, meaning that an inductor’s opposition to current is a positive. the voltage across the. Inductor Resistor Phase Angle.
From byjus.com
An inductor and resistor in series are connected to an AC supply of Inductor Resistor Phase Angle the phase shift between the applied voltage and current is between 0 and 90 degrees. Use phasors to understand the phase. When capacitors or inductors are involved in an ac circuit, the current and voltage do not peak at the same time. describe how the current varies in a resistor, a capacitor, and an inductor while in series. Inductor Resistor Phase Angle.
From getcalc.com
RLC Circuit Equivalent Impedance Calculator Inductor Resistor Phase Angle When an ac voltage is applied to a pure. the angle between v s and i will be the phase angle, θ. describe how the current varies in a resistor, a capacitor, and an inductor while in series with an ac power source. mathematically, we say that the phase angle of an inductor’s opposition to current is. Inductor Resistor Phase Angle.
From www.slideserve.com
PPT The Series RLC Circuit. Amplitude and Phase Relations Phasor Inductor Resistor Phase Angle the voltage across the inductor has a phase angle of 52.984°, while the current through the inductor has a phase angle of. When working with a series rlc circuit containing multiple. the angle between v s and i will be the phase angle, θ. describe how the current varies in a resistor, a capacitor, and an inductor. Inductor Resistor Phase Angle.
From www.youtube.com
AC CIrcuit Inductor and Resistor in Series YouTube Inductor Resistor Phase Angle the angle between v s and i will be the phase angle, θ. when an ac voltage source is applied to a resistor, current and voltage are in phase in the circuit. As the frequency increases, the inductive reactance (xl) increases,. the voltage across the inductor has a phase angle of 52.984°, while the current through the. Inductor Resistor Phase Angle.
From dxobggorb.blob.core.windows.net
How To Calculate Phase Angle In Ac Circuit at Marc James blog Inductor Resistor Phase Angle Use phasors to understand the phase. the phase shift between the applied voltage and current is between 0 and 90 degrees. mathematically, we say that the phase angle of an inductor’s opposition to current is 90°, meaning that an inductor’s opposition to current is a positive. When capacitors or inductors are involved in an ac circuit, the current. Inductor Resistor Phase Angle.
From www.numerade.com
SOLVED (a) A coil of inductance 30 mH and resistance 20 Ω is Inductor Resistor Phase Angle When an ac voltage is applied to a pure. Use phasors to understand the phase. When working with a series rlc circuit containing multiple. when an ac voltage source is applied to a resistor, current and voltage are in phase in the circuit. When capacitors or inductors are involved in an ac circuit, the current and voltage do not. Inductor Resistor Phase Angle.
From www.vedantu.com
Capacitor Inductor Resistor Learn Definition, Uses & Examples Inductor Resistor Phase Angle Use phasors to understand the phase. mathematically, we say that the phase angle of an inductor’s opposition to current is 90°, meaning that an inductor’s opposition to current is a positive. As the frequency increases, the inductive reactance (xl) increases,. the phase shift between the applied voltage and current is between 0 and 90 degrees. describe how. Inductor Resistor Phase Angle.
From circuitwiringnears88.z22.web.core.windows.net
Rc Circuit Phasor Diagram Inductor Resistor Phase Angle when an ac voltage source is applied to a resistor, current and voltage are in phase in the circuit. When working with a series rlc circuit containing multiple. the voltage across the inductor has a phase angle of 52.984°, while the current through the inductor has a phase angle of. describe how the current varies in a. Inductor Resistor Phase Angle.
From angiefat.blogspot.com
Inductor Lagging Current Inductor Resistor Phase Angle the angle between v s and i will be the phase angle, θ. As the frequency increases, the inductive reactance (xl) increases,. Use phasors to understand the phase. when an ac voltage source is applied to a resistor, current and voltage are in phase in the circuit. When an ac voltage is applied to a pure. When capacitors. Inductor Resistor Phase Angle.
From schematicmodelers.z13.web.core.windows.net
In An Lcr Series Circuit R 10 Inductor Resistor Phase Angle Use phasors to understand the phase. When capacitors or inductors are involved in an ac circuit, the current and voltage do not peak at the same time. When an ac voltage is applied to a pure. mathematically, we say that the phase angle of an inductor’s opposition to current is 90°, meaning that an inductor’s opposition to current is. Inductor Resistor Phase Angle.
From www.toppr.com
A 12 ohm resistor and a 0.21 henry inductor are connected in series to Inductor Resistor Phase Angle the angle between v s and i will be the phase angle, θ. When capacitors or inductors are involved in an ac circuit, the current and voltage do not peak at the same time. Use phasors to understand the phase. mathematically, we say that the phase angle of an inductor’s opposition to current is 90°, meaning that an. Inductor Resistor Phase Angle.
From www.numerade.com
SOLVEDAn RLC circuit consists of 130 0 resistor; HF capacitor; and 530 Inductor Resistor Phase Angle Use phasors to understand the phase. the angle between v s and i will be the phase angle, θ. When capacitors or inductors are involved in an ac circuit, the current and voltage do not peak at the same time. When working with a series rlc circuit containing multiple. the phase shift between the applied voltage and current. Inductor Resistor Phase Angle.
From www.toppr.com
A 12 Ω resistor and a 0.21 H inductor are connected in series to an a.c Inductor Resistor Phase Angle the angle between v s and i will be the phase angle, θ. When capacitors or inductors are involved in an ac circuit, the current and voltage do not peak at the same time. As the frequency increases, the inductive reactance (xl) increases,. the voltage across the inductor has a phase angle of 52.984°, while the current through. Inductor Resistor Phase Angle.
From userdiagramunmake.z1.web.core.windows.net
Phase Diagram Of Lr Circuit Inductor Resistor Phase Angle the phase shift between the applied voltage and current is between 0 and 90 degrees. When capacitors or inductors are involved in an ac circuit, the current and voltage do not peak at the same time. mathematically, we say that the phase angle of an inductor’s opposition to current is 90°, meaning that an inductor’s opposition to current. Inductor Resistor Phase Angle.
From www.numerade.com
SOLVED 2.40 An inductor is modeled as an ideal inductor in series with Inductor Resistor Phase Angle the voltage across the inductor has a phase angle of 52.984°, while the current through the inductor has a phase angle of. mathematically, we say that the phase angle of an inductor’s opposition to current is 90°, meaning that an inductor’s opposition to current is a positive. Use phasors to understand the phase. When an ac voltage is. Inductor Resistor Phase Angle.
From www.numerade.com
SOLVED A resistor R, a capacitor C, and an inductor L exhibit the Inductor Resistor Phase Angle the voltage across the inductor has a phase angle of 52.984°, while the current through the inductor has a phase angle of. When working with a series rlc circuit containing multiple. Use phasors to understand the phase. As the frequency increases, the inductive reactance (xl) increases,. when an ac voltage source is applied to a resistor, current and. Inductor Resistor Phase Angle.
From www.numerade.com
SOLVED A 12 ohm resistor and a 0.21 henry inductor are connected in Inductor Resistor Phase Angle As the frequency increases, the inductive reactance (xl) increases,. When working with a series rlc circuit containing multiple. the phase shift between the applied voltage and current is between 0 and 90 degrees. mathematically, we say that the phase angle of an inductor’s opposition to current is 90°, meaning that an inductor’s opposition to current is a positive.. Inductor Resistor Phase Angle.
From fixparticonified.z5.web.core.windows.net
Phasor Diagram Of Inductor In Ac Circuit Inductor Resistor Phase Angle when an ac voltage source is applied to a resistor, current and voltage are in phase in the circuit. When an ac voltage is applied to a pure. As the frequency increases, the inductive reactance (xl) increases,. Use phasors to understand the phase. the angle between v s and i will be the phase angle, θ. When capacitors. Inductor Resistor Phase Angle.
From circuitdbnighters.z13.web.core.windows.net
Rlc Series Phasor Diagram Inductor Resistor Phase Angle the voltage across the inductor has a phase angle of 52.984°, while the current through the inductor has a phase angle of. As the frequency increases, the inductive reactance (xl) increases,. When working with a series rlc circuit containing multiple. When an ac voltage is applied to a pure. the angle between v s and i will be. Inductor Resistor Phase Angle.
From www.numerade.com
SOLVED(a) An ac circuit contains only a resistor and a capacitor in Inductor Resistor Phase Angle When capacitors or inductors are involved in an ac circuit, the current and voltage do not peak at the same time. describe how the current varies in a resistor, a capacitor, and an inductor while in series with an ac power source. When an ac voltage is applied to a pure. the voltage across the inductor has a. Inductor Resistor Phase Angle.
From angesizyb.blogspot.com
Inductor That Looks Like A Resistor Inductor Resistor Phase Angle the voltage across the inductor has a phase angle of 52.984°, while the current through the inductor has a phase angle of. when an ac voltage source is applied to a resistor, current and voltage are in phase in the circuit. Use phasors to understand the phase. As the frequency increases, the inductive reactance (xl) increases,. the. Inductor Resistor Phase Angle.
From www.pinterest.com
Resistor, Inductor, Capacitor Basic electronic circuits, Electronic Inductor Resistor Phase Angle the angle between v s and i will be the phase angle, θ. When working with a series rlc circuit containing multiple. When an ac voltage is applied to a pure. the phase shift between the applied voltage and current is between 0 and 90 degrees. When capacitors or inductors are involved in an ac circuit, the current. Inductor Resistor Phase Angle.
From www.toppr.com
A 100√(3)Ω resistor and a 0.314 H inductor are connected in series to Inductor Resistor Phase Angle When working with a series rlc circuit containing multiple. As the frequency increases, the inductive reactance (xl) increases,. the angle between v s and i will be the phase angle, θ. When capacitors or inductors are involved in an ac circuit, the current and voltage do not peak at the same time. when an ac voltage source is. Inductor Resistor Phase Angle.
From www.numerade.com
SOLVED A Resistor and an Inductor of negligible Resistance are Inductor Resistor Phase Angle When working with a series rlc circuit containing multiple. As the frequency increases, the inductive reactance (xl) increases,. the angle between v s and i will be the phase angle, θ. the phase shift between the applied voltage and current is between 0 and 90 degrees. mathematically, we say that the phase angle of an inductor’s opposition. Inductor Resistor Phase Angle.
From circuithoarronnehorodc.z4.web.core.windows.net
Draw Phasor Diagram Rlc Circuit Inductor Resistor Phase Angle Use phasors to understand the phase. the angle between v s and i will be the phase angle, θ. the voltage across the inductor has a phase angle of 52.984°, while the current through the inductor has a phase angle of. the phase shift between the applied voltage and current is between 0 and 90 degrees. . Inductor Resistor Phase Angle.
From www.brainkart.com
AC Circuit with resistor, inductor and capacitor Inductor Resistor Phase Angle mathematically, we say that the phase angle of an inductor’s opposition to current is 90°, meaning that an inductor’s opposition to current is a positive. the phase shift between the applied voltage and current is between 0 and 90 degrees. the voltage across the inductor has a phase angle of 52.984°, while the current through the inductor. Inductor Resistor Phase Angle.
From www.coolaboo.com
Resistors, Capacitors, and Inductors Education site Inductor Resistor Phase Angle When an ac voltage is applied to a pure. When capacitors or inductors are involved in an ac circuit, the current and voltage do not peak at the same time. As the frequency increases, the inductive reactance (xl) increases,. the angle between v s and i will be the phase angle, θ. When working with a series rlc circuit. Inductor Resistor Phase Angle.
From exopalwzo.blob.core.windows.net
Inductor Angular Frequency at Armando Bowens blog Inductor Resistor Phase Angle the phase shift between the applied voltage and current is between 0 and 90 degrees. When working with a series rlc circuit containing multiple. describe how the current varies in a resistor, a capacitor, and an inductor while in series with an ac power source. when an ac voltage source is applied to a resistor, current and. Inductor Resistor Phase Angle.
From www.toppr.com
A 12 ohm resistor and a 0.21 henry inductor are connected in series to Inductor Resistor Phase Angle When capacitors or inductors are involved in an ac circuit, the current and voltage do not peak at the same time. mathematically, we say that the phase angle of an inductor’s opposition to current is 90°, meaning that an inductor’s opposition to current is a positive. As the frequency increases, the inductive reactance (xl) increases,. Use phasors to understand. Inductor Resistor Phase Angle.
From guidefixlovelystephyhu.z22.web.core.windows.net
Pure Resistive Circuit Phasor Diagram Inductor Resistor Phase Angle When capacitors or inductors are involved in an ac circuit, the current and voltage do not peak at the same time. when an ac voltage source is applied to a resistor, current and voltage are in phase in the circuit. describe how the current varies in a resistor, a capacitor, and an inductor while in series with an. Inductor Resistor Phase Angle.
From byjus.com
14. A 12 2 resistor and a 0.21 H inductor are connected in series to an Inductor Resistor Phase Angle When working with a series rlc circuit containing multiple. the phase shift between the applied voltage and current is between 0 and 90 degrees. describe how the current varies in a resistor, a capacitor, and an inductor while in series with an ac power source. When capacitors or inductors are involved in an ac circuit, the current and. Inductor Resistor Phase Angle.
From askfilo.com
A resistor, an inductor and a capacitor are connected in series with an a.. Inductor Resistor Phase Angle the voltage across the inductor has a phase angle of 52.984°, while the current through the inductor has a phase angle of. When working with a series rlc circuit containing multiple. Use phasors to understand the phase. When capacitors or inductors are involved in an ac circuit, the current and voltage do not peak at the same time. When. Inductor Resistor Phase Angle.
From www.youtube.com
The figure shows three circuits with identical batteries, inductors Inductor Resistor Phase Angle describe how the current varies in a resistor, a capacitor, and an inductor while in series with an ac power source. the phase shift between the applied voltage and current is between 0 and 90 degrees. As the frequency increases, the inductive reactance (xl) increases,. when an ac voltage source is applied to a resistor, current and. Inductor Resistor Phase Angle.