Poisson Brackets Examples . angular momentum, \(l\), provides an example of the use of poisson brackets to elucidate which observables. The poisson bracket gives a convenient way to. the poisson bracket is an important binary operation in hamiltonian mechanics, playing a central role in hamilton's equations of. The poisson bracket of the quantities fand gis denoted [f;g]. poisson brackets are a powerful and sophisticated tool in the hamiltonian formalism of classical mechanics. examples of basic and advanced poisson brackets: A simple quantum mechanical system where q represents the position. the general definition of the poisson bracket for any two functions in an n degrees of freedom problem is : freely sharing knowledge with learners and educators around the world. Mit opencourseware is a web based. N ∂f ∂g ∂f ∂g [f, g ]. They also happen to provide a direct.
from www.slideserve.com
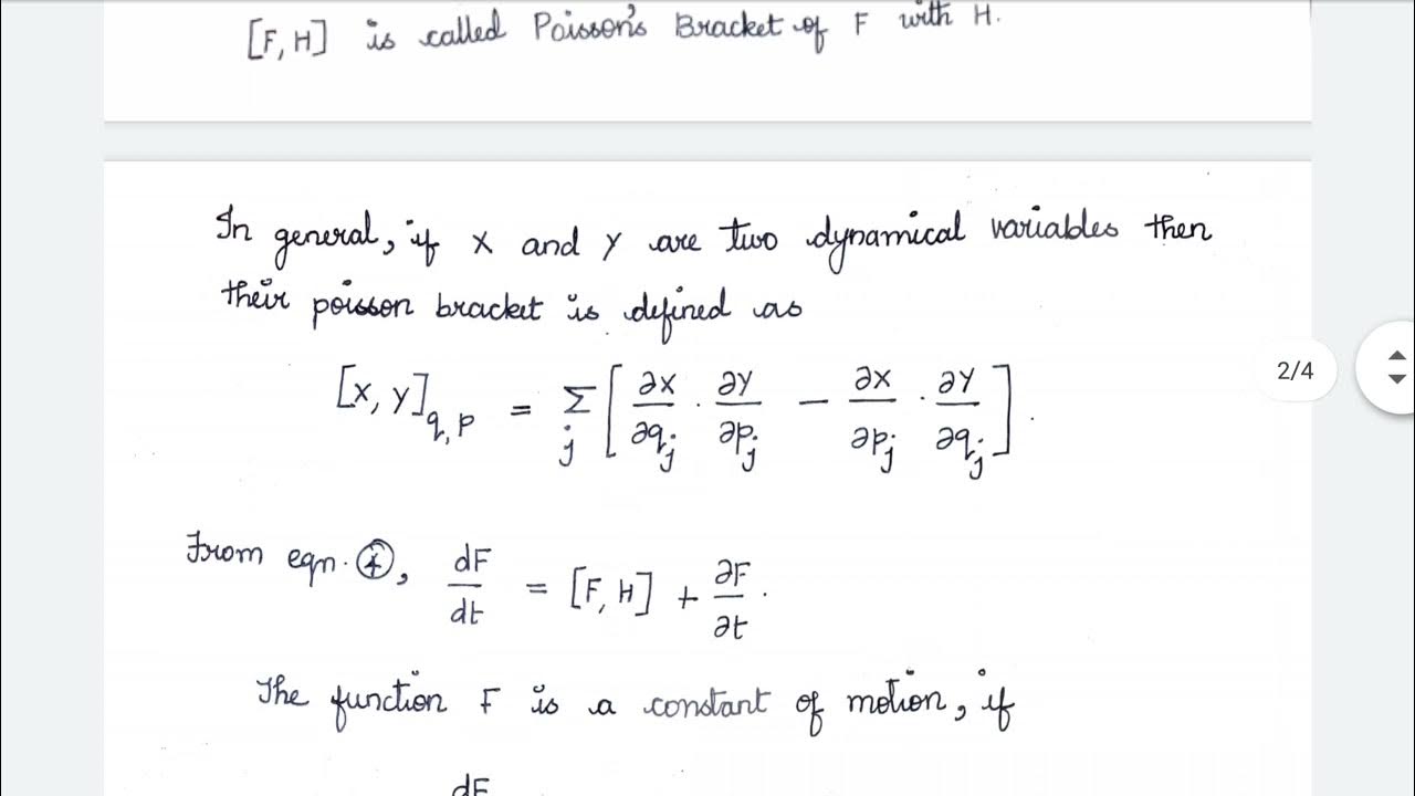
the general definition of the poisson bracket for any two functions in an n degrees of freedom problem is : the poisson bracket is an important binary operation in hamiltonian mechanics, playing a central role in hamilton's equations of. angular momentum, \(l\), provides an example of the use of poisson brackets to elucidate which observables. examples of basic and advanced poisson brackets: N ∂f ∂g ∂f ∂g [f, g ]. The poisson bracket of the quantities fand gis denoted [f;g]. poisson brackets are a powerful and sophisticated tool in the hamiltonian formalism of classical mechanics. Mit opencourseware is a web based. freely sharing knowledge with learners and educators around the world. The poisson bracket gives a convenient way to.
PPT Poisson Brackets PowerPoint Presentation, free download ID6600328
Poisson Brackets Examples the general definition of the poisson bracket for any two functions in an n degrees of freedom problem is : the poisson bracket is an important binary operation in hamiltonian mechanics, playing a central role in hamilton's equations of. Mit opencourseware is a web based. A simple quantum mechanical system where q represents the position. poisson brackets are a powerful and sophisticated tool in the hamiltonian formalism of classical mechanics. The poisson bracket gives a convenient way to. angular momentum, \(l\), provides an example of the use of poisson brackets to elucidate which observables. the general definition of the poisson bracket for any two functions in an n degrees of freedom problem is : The poisson bracket of the quantities fand gis denoted [f;g]. examples of basic and advanced poisson brackets: They also happen to provide a direct. N ∂f ∂g ∂f ∂g [f, g ]. freely sharing knowledge with learners and educators around the world.
From www.slideserve.com
PPT Poisson Brackets PowerPoint Presentation, free download ID6600328 Poisson Brackets Examples Mit opencourseware is a web based. The poisson bracket of the quantities fand gis denoted [f;g]. The poisson bracket gives a convenient way to. They also happen to provide a direct. N ∂f ∂g ∂f ∂g [f, g ]. poisson brackets are a powerful and sophisticated tool in the hamiltonian formalism of classical mechanics. the poisson bracket is. Poisson Brackets Examples.
From www.studypool.com
SOLUTION Poisson bracket, 8 properties of Poisson bracket with proofs Poisson Brackets Examples examples of basic and advanced poisson brackets: They also happen to provide a direct. The poisson bracket gives a convenient way to. the poisson bracket is an important binary operation in hamiltonian mechanics, playing a central role in hamilton's equations of. the general definition of the poisson bracket for any two functions in an n degrees of. Poisson Brackets Examples.
From www.studypool.com
SOLUTION Poisson bracket, 8 properties of Poisson bracket with proofs Poisson Brackets Examples the general definition of the poisson bracket for any two functions in an n degrees of freedom problem is : A simple quantum mechanical system where q represents the position. freely sharing knowledge with learners and educators around the world. The poisson bracket gives a convenient way to. The poisson bracket of the quantities fand gis denoted [f;g].. Poisson Brackets Examples.
From www.slideserve.com
PPT Poisson Brackets PowerPoint Presentation, free download ID6600328 Poisson Brackets Examples A simple quantum mechanical system where q represents the position. angular momentum, \(l\), provides an example of the use of poisson brackets to elucidate which observables. freely sharing knowledge with learners and educators around the world. the poisson bracket is an important binary operation in hamiltonian mechanics, playing a central role in hamilton's equations of. They also. Poisson Brackets Examples.
From www.youtube.com
Poisson bracket and its properties (Jacobian identity) YouTube Poisson Brackets Examples The poisson bracket gives a convenient way to. The poisson bracket of the quantities fand gis denoted [f;g]. Mit opencourseware is a web based. examples of basic and advanced poisson brackets: freely sharing knowledge with learners and educators around the world. poisson brackets are a powerful and sophisticated tool in the hamiltonian formalism of classical mechanics. . Poisson Brackets Examples.
From www.youtube.com
Poisson brackets L20 Classical mechanics YouTube Poisson Brackets Examples The poisson bracket of the quantities fand gis denoted [f;g]. Mit opencourseware is a web based. A simple quantum mechanical system where q represents the position. examples of basic and advanced poisson brackets: the general definition of the poisson bracket for any two functions in an n degrees of freedom problem is : freely sharing knowledge with. Poisson Brackets Examples.
From www.youtube.com
Poisson Brackets, NonCanonical Hamiltonian Systems and Euler's Rigid Poisson Brackets Examples the general definition of the poisson bracket for any two functions in an n degrees of freedom problem is : the poisson bracket is an important binary operation in hamiltonian mechanics, playing a central role in hamilton's equations of. freely sharing knowledge with learners and educators around the world. poisson brackets are a powerful and sophisticated. Poisson Brackets Examples.
From www.slideserve.com
PPT Poisson Brackets PowerPoint Presentation, free download ID6600328 Poisson Brackets Examples the general definition of the poisson bracket for any two functions in an n degrees of freedom problem is : Mit opencourseware is a web based. poisson brackets are a powerful and sophisticated tool in the hamiltonian formalism of classical mechanics. angular momentum, \(l\), provides an example of the use of poisson brackets to elucidate which observables.. Poisson Brackets Examples.
From www.youtube.com
Poisson BracketLecture 29Classical MechanicsCSIR NET, GATE, JEST Poisson Brackets Examples the general definition of the poisson bracket for any two functions in an n degrees of freedom problem is : poisson brackets are a powerful and sophisticated tool in the hamiltonian formalism of classical mechanics. They also happen to provide a direct. Mit opencourseware is a web based. N ∂f ∂g ∂f ∂g [f, g ]. examples. Poisson Brackets Examples.
From www.slideserve.com
PPT Poisson Brackets PowerPoint Presentation, free download ID1814023 Poisson Brackets Examples examples of basic and advanced poisson brackets: poisson brackets are a powerful and sophisticated tool in the hamiltonian formalism of classical mechanics. Mit opencourseware is a web based. N ∂f ∂g ∂f ∂g [f, g ]. A simple quantum mechanical system where q represents the position. They also happen to provide a direct. angular momentum, \(l\), provides. Poisson Brackets Examples.
From blog.sacademy.co.in
Angular momentum Poisson brackets Classical Mechanics Poisson Brackets Examples The poisson bracket of the quantities fand gis denoted [f;g]. poisson brackets are a powerful and sophisticated tool in the hamiltonian formalism of classical mechanics. examples of basic and advanced poisson brackets: N ∂f ∂g ∂f ∂g [f, g ]. They also happen to provide a direct. The poisson bracket gives a convenient way to. the general. Poisson Brackets Examples.
From dokumen.tips
(PDF) Examples of Poisson bracketsxtang/alan70talks/lu.pdfExamples of Poisson Brackets Examples examples of basic and advanced poisson brackets: the poisson bracket is an important binary operation in hamiltonian mechanics, playing a central role in hamilton's equations of. poisson brackets are a powerful and sophisticated tool in the hamiltonian formalism of classical mechanics. angular momentum, \(l\), provides an example of the use of poisson brackets to elucidate which. Poisson Brackets Examples.
From blog.sacademy.co.in
Invariance of Poisson bracket under canonical transformation Poisson Brackets Examples Mit opencourseware is a web based. The poisson bracket gives a convenient way to. the poisson bracket is an important binary operation in hamiltonian mechanics, playing a central role in hamilton's equations of. the general definition of the poisson bracket for any two functions in an n degrees of freedom problem is : The poisson bracket of the. Poisson Brackets Examples.
From www.youtube.com
Jacobi identity for Poisson bracket in classical mechanics YouTube Poisson Brackets Examples poisson brackets are a powerful and sophisticated tool in the hamiltonian formalism of classical mechanics. Mit opencourseware is a web based. angular momentum, \(l\), provides an example of the use of poisson brackets to elucidate which observables. The poisson bracket gives a convenient way to. the general definition of the poisson bracket for any two functions in. Poisson Brackets Examples.
From www.youtube.com
Lecture 16 Poisson brackets properties YouTube Poisson Brackets Examples the poisson bracket is an important binary operation in hamiltonian mechanics, playing a central role in hamilton's equations of. The poisson bracket of the quantities fand gis denoted [f;g]. freely sharing knowledge with learners and educators around the world. the general definition of the poisson bracket for any two functions in an n degrees of freedom problem. Poisson Brackets Examples.
From www.studypool.com
SOLUTION Poisson brackets and its properties Studypool Poisson Brackets Examples the general definition of the poisson bracket for any two functions in an n degrees of freedom problem is : The poisson bracket gives a convenient way to. A simple quantum mechanical system where q represents the position. angular momentum, \(l\), provides an example of the use of poisson brackets to elucidate which observables. They also happen to. Poisson Brackets Examples.
From www.slideserve.com
PPT Poisson Brackets PowerPoint Presentation, free download ID6600328 Poisson Brackets Examples The poisson bracket gives a convenient way to. N ∂f ∂g ∂f ∂g [f, g ]. poisson brackets are a powerful and sophisticated tool in the hamiltonian formalism of classical mechanics. Mit opencourseware is a web based. the general definition of the poisson bracket for any two functions in an n degrees of freedom problem is : . Poisson Brackets Examples.
From www.gfd-dennou.org
"Introduction to Hamiltonian Fluid Dynamics Eulerian variational Poisson Brackets Examples Mit opencourseware is a web based. angular momentum, \(l\), provides an example of the use of poisson brackets to elucidate which observables. freely sharing knowledge with learners and educators around the world. N ∂f ∂g ∂f ∂g [f, g ]. The poisson bracket gives a convenient way to. A simple quantum mechanical system where q represents the position.. Poisson Brackets Examples.
From www.youtube.com
PoissonBracket and Canonical Transformation YouTube Poisson Brackets Examples poisson brackets are a powerful and sophisticated tool in the hamiltonian formalism of classical mechanics. The poisson bracket gives a convenient way to. N ∂f ∂g ∂f ∂g [f, g ]. They also happen to provide a direct. Mit opencourseware is a web based. angular momentum, \(l\), provides an example of the use of poisson brackets to elucidate. Poisson Brackets Examples.
From www.youtube.com
Hamiltonian Mechanics Poisson Bracket YouTube Poisson Brackets Examples the general definition of the poisson bracket for any two functions in an n degrees of freedom problem is : Mit opencourseware is a web based. the poisson bracket is an important binary operation in hamiltonian mechanics, playing a central role in hamilton's equations of. freely sharing knowledge with learners and educators around the world. N ∂f. Poisson Brackets Examples.
From www.numerade.com
SOLVED Show that the Poisson brackets of the components of angular Poisson Brackets Examples The poisson bracket gives a convenient way to. freely sharing knowledge with learners and educators around the world. examples of basic and advanced poisson brackets: poisson brackets are a powerful and sophisticated tool in the hamiltonian formalism of classical mechanics. Mit opencourseware is a web based. the poisson bracket is an important binary operation in hamiltonian. Poisson Brackets Examples.
From www.youtube.com
Poisson's bracket Definition Properties of Poisson bracket Classical Poisson Brackets Examples the poisson bracket is an important binary operation in hamiltonian mechanics, playing a central role in hamilton's equations of. A simple quantum mechanical system where q represents the position. The poisson bracket of the quantities fand gis denoted [f;g]. They also happen to provide a direct. poisson brackets are a powerful and sophisticated tool in the hamiltonian formalism. Poisson Brackets Examples.
From www.slideshare.net
Poisson bracket (CLASSICAL MECHANICS ) Poisson Brackets Examples The poisson bracket of the quantities fand gis denoted [f;g]. They also happen to provide a direct. Mit opencourseware is a web based. N ∂f ∂g ∂f ∂g [f, g ]. the poisson bracket is an important binary operation in hamiltonian mechanics, playing a central role in hamilton's equations of. A simple quantum mechanical system where q represents the. Poisson Brackets Examples.
From www.studypool.com
SOLUTION Poisson bracket, 8 properties of Poisson bracket with proofs Poisson Brackets Examples the general definition of the poisson bracket for any two functions in an n degrees of freedom problem is : The poisson bracket of the quantities fand gis denoted [f;g]. The poisson bracket gives a convenient way to. N ∂f ∂g ∂f ∂g [f, g ]. the poisson bracket is an important binary operation in hamiltonian mechanics, playing. Poisson Brackets Examples.
From www.academia.edu
(PDF) Double quasiPoisson brackets fusion and new examples Maxime Poisson Brackets Examples The poisson bracket of the quantities fand gis denoted [f;g]. N ∂f ∂g ∂f ∂g [f, g ]. They also happen to provide a direct. the general definition of the poisson bracket for any two functions in an n degrees of freedom problem is : A simple quantum mechanical system where q represents the position. poisson brackets are. Poisson Brackets Examples.
From www.studypool.com
SOLUTION Poisson bracket, 8 properties of Poisson bracket with proofs Poisson Brackets Examples N ∂f ∂g ∂f ∂g [f, g ]. the poisson bracket is an important binary operation in hamiltonian mechanics, playing a central role in hamilton's equations of. examples of basic and advanced poisson brackets: A simple quantum mechanical system where q represents the position. The poisson bracket gives a convenient way to. freely sharing knowledge with learners. Poisson Brackets Examples.
From www.slideserve.com
PPT Poisson Brackets PowerPoint Presentation, free download ID6600328 Poisson Brackets Examples freely sharing knowledge with learners and educators around the world. The poisson bracket gives a convenient way to. the general definition of the poisson bracket for any two functions in an n degrees of freedom problem is : poisson brackets are a powerful and sophisticated tool in the hamiltonian formalism of classical mechanics. examples of basic. Poisson Brackets Examples.
From blog.sacademy.co.in
Poisson brackets Identities of Poisson brackets Classical Mechanics Poisson Brackets Examples the general definition of the poisson bracket for any two functions in an n degrees of freedom problem is : The poisson bracket of the quantities fand gis denoted [f;g]. the poisson bracket is an important binary operation in hamiltonian mechanics, playing a central role in hamilton's equations of. N ∂f ∂g ∂f ∂g [f, g ]. Mit. Poisson Brackets Examples.
From www.youtube.com
Classical Mechanics Canonical Transformation Poisson Bracket and Poisson Brackets Examples the general definition of the poisson bracket for any two functions in an n degrees of freedom problem is : examples of basic and advanced poisson brackets: poisson brackets are a powerful and sophisticated tool in the hamiltonian formalism of classical mechanics. Mit opencourseware is a web based. The poisson bracket of the quantities fand gis denoted. Poisson Brackets Examples.
From www.youtube.com
Classical Mechanics, Lecture 17 Hamiltonian Evolution. Poisson Poisson Brackets Examples Mit opencourseware is a web based. angular momentum, \(l\), provides an example of the use of poisson brackets to elucidate which observables. The poisson bracket gives a convenient way to. poisson brackets are a powerful and sophisticated tool in the hamiltonian formalism of classical mechanics. A simple quantum mechanical system where q represents the position. examples of. Poisson Brackets Examples.
From blog.sacademy.co.in
Poisson brackets Identities of Poisson brackets Classical Mechanics Poisson Brackets Examples The poisson bracket of the quantities fand gis denoted [f;g]. They also happen to provide a direct. Mit opencourseware is a web based. examples of basic and advanced poisson brackets: N ∂f ∂g ∂f ∂g [f, g ]. A simple quantum mechanical system where q represents the position. The poisson bracket gives a convenient way to. angular momentum,. Poisson Brackets Examples.
From blog.sacademy.co.in
Poisson brackets Identities of Poisson brackets Classical Mechanics Poisson Brackets Examples N ∂f ∂g ∂f ∂g [f, g ]. The poisson bracket of the quantities fand gis denoted [f;g]. They also happen to provide a direct. A simple quantum mechanical system where q represents the position. Mit opencourseware is a web based. the general definition of the poisson bracket for any two functions in an n degrees of freedom problem. Poisson Brackets Examples.
From www.slideserve.com
PPT 5. Applications in Physics PowerPoint Presentation, free download Poisson Brackets Examples A simple quantum mechanical system where q represents the position. The poisson bracket of the quantities fand gis denoted [f;g]. examples of basic and advanced poisson brackets: The poisson bracket gives a convenient way to. angular momentum, \(l\), provides an example of the use of poisson brackets to elucidate which observables. poisson brackets are a powerful and. Poisson Brackets Examples.
From www.youtube.com
Poisson Bracket Classical Mechanics YouTube Poisson Brackets Examples angular momentum, \(l\), provides an example of the use of poisson brackets to elucidate which observables. N ∂f ∂g ∂f ∂g [f, g ]. freely sharing knowledge with learners and educators around the world. They also happen to provide a direct. The poisson bracket of the quantities fand gis denoted [f;g]. the general definition of the poisson. Poisson Brackets Examples.
From www.youtube.com
POISSON BRACKET YouTube Poisson Brackets Examples The poisson bracket of the quantities fand gis denoted [f;g]. freely sharing knowledge with learners and educators around the world. the general definition of the poisson bracket for any two functions in an n degrees of freedom problem is : poisson brackets are a powerful and sophisticated tool in the hamiltonian formalism of classical mechanics. the. Poisson Brackets Examples.