What Services Are Taxable In Maine . Some common taxable items for a business are office supplies and equipment, janitorial supplies, computer hardware, software and supplies,. Taxable services subject to sales tax include: Are services taxable in maine? To learn more, see a. This page describes the taxability of services in maine, including janitorial services and transportation services. Business services impacted by taxation: Maine has both a service provider tax and sales tax. Taxable services in maine include some services to. Sales, fuel & special tax division. Here’s what merchants need to know about taxing services in the state of maine, which has a state sales tax rate of 5.5%. Business guide to sales, use, and service provider tax. The main tax that businesses must pay in maine is the 5.5 percent sales and use tax on sales of goods and some services. The rental of living quarters in a hotel, rooming house or tourist or trailer camp;
from mehracpa.com
To learn more, see a. Taxable services subject to sales tax include: Business services impacted by taxation: Taxable services in maine include some services to. Sales, fuel & special tax division. Business guide to sales, use, and service provider tax. This page describes the taxability of services in maine, including janitorial services and transportation services. Here’s what merchants need to know about taxing services in the state of maine, which has a state sales tax rate of 5.5%. The rental of living quarters in a hotel, rooming house or tourist or trailer camp; Some common taxable items for a business are office supplies and equipment, janitorial supplies, computer hardware, software and supplies,.
What are the Goods and Services Are Taxable in British Columbia?
What Services Are Taxable In Maine To learn more, see a. The main tax that businesses must pay in maine is the 5.5 percent sales and use tax on sales of goods and some services. The rental of living quarters in a hotel, rooming house or tourist or trailer camp; Taxable services in maine include some services to. Business guide to sales, use, and service provider tax. To learn more, see a. Taxable services subject to sales tax include: Some common taxable items for a business are office supplies and equipment, janitorial supplies, computer hardware, software and supplies,. Here’s what merchants need to know about taxing services in the state of maine, which has a state sales tax rate of 5.5%. Are services taxable in maine? Sales, fuel & special tax division. Maine has both a service provider tax and sales tax. Business services impacted by taxation: This page describes the taxability of services in maine, including janitorial services and transportation services.
From www.templateroller.com
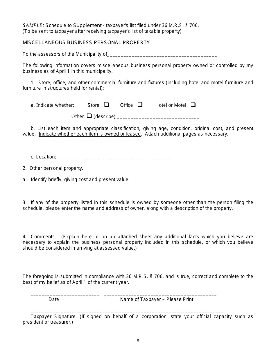
Maine Sample Request for List of Taxable Property Fill Out, Sign What Services Are Taxable In Maine Some common taxable items for a business are office supplies and equipment, janitorial supplies, computer hardware, software and supplies,. Here’s what merchants need to know about taxing services in the state of maine, which has a state sales tax rate of 5.5%. Are services taxable in maine? The rental of living quarters in a hotel, rooming house or tourist or. What Services Are Taxable In Maine.
From opuscg.com
Are PPP Loans Taxable in Maine? Management Consulting Opus What Services Are Taxable In Maine Business guide to sales, use, and service provider tax. Taxable services subject to sales tax include: Taxable services in maine include some services to. The main tax that businesses must pay in maine is the 5.5 percent sales and use tax on sales of goods and some services. Are services taxable in maine? Some common taxable items for a business. What Services Are Taxable In Maine.
From www.slideteam.net
Social Security Taxable Maine In Powerpoint And Google Slides Cpb What Services Are Taxable In Maine The main tax that businesses must pay in maine is the 5.5 percent sales and use tax on sales of goods and some services. To learn more, see a. Business guide to sales, use, and service provider tax. Some common taxable items for a business are office supplies and equipment, janitorial supplies, computer hardware, software and supplies,. Business services impacted. What Services Are Taxable In Maine.
From www.templateroller.com
Maine Special Fuel Suppliers Schedule of Disbursements Schedule 5 What Services Are Taxable In Maine Taxable services subject to sales tax include: The rental of living quarters in a hotel, rooming house or tourist or trailer camp; Maine has both a service provider tax and sales tax. Here’s what merchants need to know about taxing services in the state of maine, which has a state sales tax rate of 5.5%. This page describes the taxability. What Services Are Taxable In Maine.
From www.templateroller.com
Form 941ME Download Fillable PDF or Fill Online Employer's Return of What Services Are Taxable In Maine Business guide to sales, use, and service provider tax. Some common taxable items for a business are office supplies and equipment, janitorial supplies, computer hardware, software and supplies,. Business services impacted by taxation: Maine has both a service provider tax and sales tax. Sales, fuel & special tax division. To learn more, see a. Taxable services in maine include some. What Services Are Taxable In Maine.
From www.templateroller.com
Maine Sample Request for List of Taxable Property Fill Out, Sign What Services Are Taxable In Maine This page describes the taxability of services in maine, including janitorial services and transportation services. Some common taxable items for a business are office supplies and equipment, janitorial supplies, computer hardware, software and supplies,. Sales, fuel & special tax division. Are services taxable in maine? Here’s what merchants need to know about taxing services in the state of maine, which. What Services Are Taxable In Maine.
From wcyy.com
Are All Groceries Taxable in Maine? What Services Are Taxable In Maine Some common taxable items for a business are office supplies and equipment, janitorial supplies, computer hardware, software and supplies,. Taxable services in maine include some services to. Business services impacted by taxation: Sales, fuel & special tax division. The main tax that businesses must pay in maine is the 5.5 percent sales and use tax on sales of goods and. What Services Are Taxable In Maine.
From us.icalculator.info
Maine Sales Tax Rates US iCalculator™ What Services Are Taxable In Maine Taxable services in maine include some services to. Business guide to sales, use, and service provider tax. Business services impacted by taxation: Taxable services subject to sales tax include: Here’s what merchants need to know about taxing services in the state of maine, which has a state sales tax rate of 5.5%. The rental of living quarters in a hotel,. What Services Are Taxable In Maine.
From studylib.net
5200A MSWord Maine Legislature What Services Are Taxable In Maine Business guide to sales, use, and service provider tax. Maine has both a service provider tax and sales tax. The rental of living quarters in a hotel, rooming house or tourist or trailer camp; Taxable services subject to sales tax include: Taxable services in maine include some services to. This page describes the taxability of services in maine, including janitorial. What Services Are Taxable In Maine.
From www.papertrails.com
Are expense reimbursements taxable? Paper Trails HR & Payroll What Services Are Taxable In Maine This page describes the taxability of services in maine, including janitorial services and transportation services. Business services impacted by taxation: Taxable services subject to sales tax include: The main tax that businesses must pay in maine is the 5.5 percent sales and use tax on sales of goods and some services. Here’s what merchants need to know about taxing services. What Services Are Taxable In Maine.
From www.webstaurantstore.com
All You Need to Know About Reporting Cash Tips for Taxes What Services Are Taxable In Maine Taxable services subject to sales tax include: Here’s what merchants need to know about taxing services in the state of maine, which has a state sales tax rate of 5.5%. Are services taxable in maine? Some common taxable items for a business are office supplies and equipment, janitorial supplies, computer hardware, software and supplies,. Business services impacted by taxation: To. What Services Are Taxable In Maine.
From www.formsbank.com
Form 1120xMe Maine Amended Corporate Tax Return 2010 What Services Are Taxable In Maine The rental of living quarters in a hotel, rooming house or tourist or trailer camp; This page describes the taxability of services in maine, including janitorial services and transportation services. Taxable services subject to sales tax include: Sales, fuel & special tax division. Business services impacted by taxation: The main tax that businesses must pay in maine is the 5.5. What Services Are Taxable In Maine.
From www.pressherald.com
Maine’s taxable sales surge to record as economy stays on a roll What Services Are Taxable In Maine Some common taxable items for a business are office supplies and equipment, janitorial supplies, computer hardware, software and supplies,. Here’s what merchants need to know about taxing services in the state of maine, which has a state sales tax rate of 5.5%. Business services impacted by taxation: Sales, fuel & special tax division. Maine has both a service provider tax. What Services Are Taxable In Maine.
From www.metaxaide.com
FedState Differences What Services Are Taxable In Maine The main tax that businesses must pay in maine is the 5.5 percent sales and use tax on sales of goods and some services. To learn more, see a. Maine has both a service provider tax and sales tax. Here’s what merchants need to know about taxing services in the state of maine, which has a state sales tax rate. What Services Are Taxable In Maine.
From www.cityofbathmaine.gov
City of Bath, Maine Official site Bath Valuations and What Services Are Taxable In Maine Some common taxable items for a business are office supplies and equipment, janitorial supplies, computer hardware, software and supplies,. The rental of living quarters in a hotel, rooming house or tourist or trailer camp; Here’s what merchants need to know about taxing services in the state of maine, which has a state sales tax rate of 5.5%. Business services impacted. What Services Are Taxable In Maine.
From www.templateroller.com
Maine Sample Request for List of Taxable Property Fill Out, Sign What Services Are Taxable In Maine The rental of living quarters in a hotel, rooming house or tourist or trailer camp; Taxable services in maine include some services to. Business guide to sales, use, and service provider tax. Are services taxable in maine? This page describes the taxability of services in maine, including janitorial services and transportation services. Taxable services subject to sales tax include: Business. What Services Are Taxable In Maine.
From www.metaxaide.com
FedState Differences What Services Are Taxable In Maine Taxable services in maine include some services to. The main tax that businesses must pay in maine is the 5.5 percent sales and use tax on sales of goods and some services. Business guide to sales, use, and service provider tax. Sales, fuel & special tax division. Are services taxable in maine? Business services impacted by taxation: This page describes. What Services Are Taxable In Maine.
From www.tax-preparation-service.net
What Services are Taxable? A Comprehensive Guide What Services Are Taxable In Maine Taxable services in maine include some services to. The rental of living quarters in a hotel, rooming house or tourist or trailer camp; Sales, fuel & special tax division. Maine has both a service provider tax and sales tax. Taxable services subject to sales tax include: The main tax that businesses must pay in maine is the 5.5 percent sales. What Services Are Taxable In Maine.
From www.templateroller.com
Maine Sample Request for List of Taxable Property Fill Out, Sign What Services Are Taxable In Maine Maine has both a service provider tax and sales tax. Taxable services in maine include some services to. Are services taxable in maine? Here’s what merchants need to know about taxing services in the state of maine, which has a state sales tax rate of 5.5%. Taxable services subject to sales tax include: The rental of living quarters in a. What Services Are Taxable In Maine.
From www.pinterest.co.uk
Maine Revenue Services Tax Guidance Documents Sales What Services Are Taxable In Maine Some common taxable items for a business are office supplies and equipment, janitorial supplies, computer hardware, software and supplies,. This page describes the taxability of services in maine, including janitorial services and transportation services. Taxable services subject to sales tax include: The main tax that businesses must pay in maine is the 5.5 percent sales and use tax on sales. What Services Are Taxable In Maine.
From www.youtube.com
How Maine Taxes Retirees (Quite Favorably!) YouTube What Services Are Taxable In Maine Sales, fuel & special tax division. Taxable services in maine include some services to. Here’s what merchants need to know about taxing services in the state of maine, which has a state sales tax rate of 5.5%. This page describes the taxability of services in maine, including janitorial services and transportation services. Business guide to sales, use, and service provider. What Services Are Taxable In Maine.
From mehracpa.com
What are the Goods and Services Are Taxable in British Columbia? What Services Are Taxable In Maine Sales, fuel & special tax division. Some common taxable items for a business are office supplies and equipment, janitorial supplies, computer hardware, software and supplies,. The rental of living quarters in a hotel, rooming house or tourist or trailer camp; Here’s what merchants need to know about taxing services in the state of maine, which has a state sales tax. What Services Are Taxable In Maine.
From www.templateroller.com
Maine Sample Request for List of Taxable Property Fill Out, Sign What Services Are Taxable In Maine Business guide to sales, use, and service provider tax. Taxable services in maine include some services to. Maine has both a service provider tax and sales tax. Sales, fuel & special tax division. Business services impacted by taxation: Some common taxable items for a business are office supplies and equipment, janitorial supplies, computer hardware, software and supplies,. This page describes. What Services Are Taxable In Maine.
From www.formsbank.com
Form Spt1 7/05 Maine Revenue Services Service Provider Tax What Services Are Taxable In Maine Here’s what merchants need to know about taxing services in the state of maine, which has a state sales tax rate of 5.5%. Taxable services subject to sales tax include: To learn more, see a. Maine has both a service provider tax and sales tax. Taxable services in maine include some services to. This page describes the taxability of services. What Services Are Taxable In Maine.
From www.yumpu.com
Original Registration of Vehicles Taxable/Exempt Maine.gov What Services Are Taxable In Maine Some common taxable items for a business are office supplies and equipment, janitorial supplies, computer hardware, software and supplies,. Here’s what merchants need to know about taxing services in the state of maine, which has a state sales tax rate of 5.5%. The rental of living quarters in a hotel, rooming house or tourist or trailer camp; Taxable services subject. What Services Are Taxable In Maine.
From www.simplyinsurance.com
Is Life Insurance Taxable in December 2023? // Simply Insurance® What Services Are Taxable In Maine Here’s what merchants need to know about taxing services in the state of maine, which has a state sales tax rate of 5.5%. To learn more, see a. Sales, fuel & special tax division. Some common taxable items for a business are office supplies and equipment, janitorial supplies, computer hardware, software and supplies,. Are services taxable in maine? Taxable services. What Services Are Taxable In Maine.
From slideplayer.com
IOWA SALES / USE TAX BASICS PART 1 ppt download What Services Are Taxable In Maine Taxable services subject to sales tax include: The main tax that businesses must pay in maine is the 5.5 percent sales and use tax on sales of goods and some services. To learn more, see a. This page describes the taxability of services in maine, including janitorial services and transportation services. Here’s what merchants need to know about taxing services. What Services Are Taxable In Maine.
From exotikyfa.blob.core.windows.net
Are Employment Services Taxable In Texas at Barbara Vega blog What Services Are Taxable In Maine This page describes the taxability of services in maine, including janitorial services and transportation services. Taxable services in maine include some services to. Business services impacted by taxation: The rental of living quarters in a hotel, rooming house or tourist or trailer camp; Are services taxable in maine? Taxable services subject to sales tax include: Business guide to sales, use,. What Services Are Taxable In Maine.
From www.taxjar.com
Is Shipping Taxable in Maine? TaxJar What Services Are Taxable In Maine Some common taxable items for a business are office supplies and equipment, janitorial supplies, computer hardware, software and supplies,. Taxable services in maine include some services to. Business guide to sales, use, and service provider tax. Here’s what merchants need to know about taxing services in the state of maine, which has a state sales tax rate of 5.5%. The. What Services Are Taxable In Maine.
From www.templateroller.com
Maine Special Fuel Suppliers Schedule of Disbursements Schedule 5 What Services Are Taxable In Maine Sales, fuel & special tax division. Maine has both a service provider tax and sales tax. Business services impacted by taxation: Taxable services in maine include some services to. Here’s what merchants need to know about taxing services in the state of maine, which has a state sales tax rate of 5.5%. Business guide to sales, use, and service provider. What Services Are Taxable In Maine.
From opuscg.com
Are PPP Loans Taxable in Maine? Opus Consulting What Services Are Taxable In Maine Some common taxable items for a business are office supplies and equipment, janitorial supplies, computer hardware, software and supplies,. This page describes the taxability of services in maine, including janitorial services and transportation services. Business guide to sales, use, and service provider tax. To learn more, see a. Here’s what merchants need to know about taxing services in the state. What Services Are Taxable In Maine.
From www.centralmaine.com
Maine sees economic growth in second year of pandemic but ‘a lot of What Services Are Taxable In Maine To learn more, see a. Here’s what merchants need to know about taxing services in the state of maine, which has a state sales tax rate of 5.5%. Taxable services in maine include some services to. The rental of living quarters in a hotel, rooming house or tourist or trailer camp; Some common taxable items for a business are office. What Services Are Taxable In Maine.
From cowderytax.com
What you Need to Know about Service Taxes in the U.S. Cowdery Tax What Services Are Taxable In Maine Taxable services in maine include some services to. Some common taxable items for a business are office supplies and equipment, janitorial supplies, computer hardware, software and supplies,. Here’s what merchants need to know about taxing services in the state of maine, which has a state sales tax rate of 5.5%. Taxable services subject to sales tax include: To learn more,. What Services Are Taxable In Maine.
From www.templateroller.com
Form 1120WME Download Printable PDF or Fill Online Corporate What Services Are Taxable In Maine Here’s what merchants need to know about taxing services in the state of maine, which has a state sales tax rate of 5.5%. Maine has both a service provider tax and sales tax. The rental of living quarters in a hotel, rooming house or tourist or trailer camp; This page describes the taxability of services in maine, including janitorial services. What Services Are Taxable In Maine.
From www.templateroller.com
Maine Sample Request for List of Taxable Property Fill Out, Sign What Services Are Taxable In Maine The main tax that businesses must pay in maine is the 5.5 percent sales and use tax on sales of goods and some services. This page describes the taxability of services in maine, including janitorial services and transportation services. Are services taxable in maine? Business guide to sales, use, and service provider tax. Taxable services in maine include some services. What Services Are Taxable In Maine.