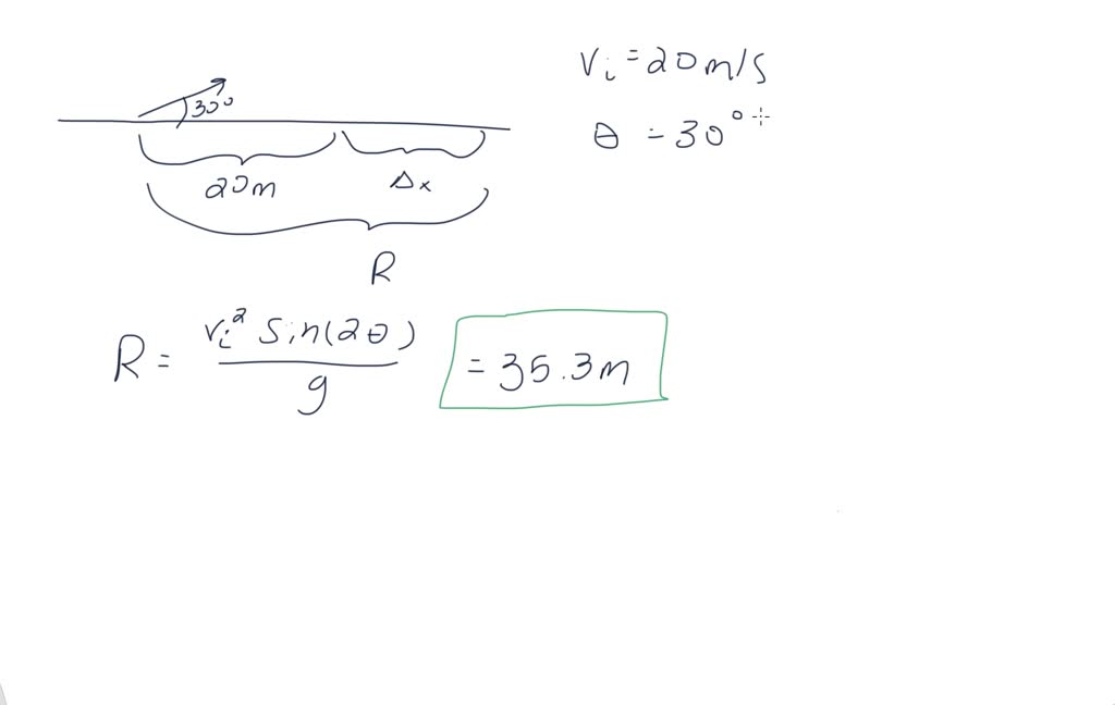
A Quarterback Throws A Football Toward A Receiver With An Initial Speed Of 20 M/S . A) the receiver should run in the same direction as the football is thrown. A quarterback throws a football toward a receiver with an initial speed of 20 m/s at an angle of 30 degrees above the. a quarterback throws a football toward a receiver with an initial speed of 20.5 m/s at an angle of 30 degrees above the. A quarterback throws a football toward a receiver with an initial speed of 20 m/s, at an angle of 34∘ above the horizontal. a quarterback throws a football toward a receiver with an initial speed of 20.5 m/s at an angle of 30 degrees above the. new england patriots quarterback tom brady throws a football straight toward a receiver with an initial. First, we need to find out how far the football is going to go. a quarterback throws a football toward a receiver with an. At that instant, the receiver is 18.
from www.chegg.com
At that instant, the receiver is 18. a quarterback throws a football toward a receiver with an. A quarterback throws a football toward a receiver with an initial speed of 20 m/s at an angle of 30 degrees above the. A) the receiver should run in the same direction as the football is thrown. First, we need to find out how far the football is going to go. a quarterback throws a football toward a receiver with an initial speed of 20.5 m/s at an angle of 30 degrees above the. new england patriots quarterback tom brady throws a football straight toward a receiver with an initial. a quarterback throws a football toward a receiver with an initial speed of 20.5 m/s at an angle of 30 degrees above the. A quarterback throws a football toward a receiver with an initial speed of 20 m/s, at an angle of 34∘ above the horizontal.
Solved A football quarterback is moving straight backward at
A Quarterback Throws A Football Toward A Receiver With An Initial Speed Of 20 M/S new england patriots quarterback tom brady throws a football straight toward a receiver with an initial. First, we need to find out how far the football is going to go. A) the receiver should run in the same direction as the football is thrown. A quarterback throws a football toward a receiver with an initial speed of 20 m/s, at an angle of 34∘ above the horizontal. new england patriots quarterback tom brady throws a football straight toward a receiver with an initial. A quarterback throws a football toward a receiver with an initial speed of 20 m/s at an angle of 30 degrees above the. a quarterback throws a football toward a receiver with an initial speed of 20.5 m/s at an angle of 30 degrees above the. a quarterback throws a football toward a receiver with an. At that instant, the receiver is 18. a quarterback throws a football toward a receiver with an initial speed of 20.5 m/s at an angle of 30 degrees above the.
From www.chegg.com
Solved A quarterback throws a football, giving it an initial A Quarterback Throws A Football Toward A Receiver With An Initial Speed Of 20 M/S A) the receiver should run in the same direction as the football is thrown. a quarterback throws a football toward a receiver with an initial speed of 20.5 m/s at an angle of 30 degrees above the. new england patriots quarterback tom brady throws a football straight toward a receiver with an initial. A quarterback throws a football. A Quarterback Throws A Football Toward A Receiver With An Initial Speed Of 20 M/S.
From www.youtube.com
A quarterback throws a football toward a receiver YouTube A Quarterback Throws A Football Toward A Receiver With An Initial Speed Of 20 M/S A quarterback throws a football toward a receiver with an initial speed of 20 m/s, at an angle of 34∘ above the horizontal. a quarterback throws a football toward a receiver with an initial speed of 20.5 m/s at an angle of 30 degrees above the. A quarterback throws a football toward a receiver with an initial speed of. A Quarterback Throws A Football Toward A Receiver With An Initial Speed Of 20 M/S.
From www.chegg.com
Solved Problem 7 A Quarterback Throws A Football With An... A Quarterback Throws A Football Toward A Receiver With An Initial Speed Of 20 M/S A) the receiver should run in the same direction as the football is thrown. a quarterback throws a football toward a receiver with an. a quarterback throws a football toward a receiver with an initial speed of 20.5 m/s at an angle of 30 degrees above the. At that instant, the receiver is 18. First, we need to. A Quarterback Throws A Football Toward A Receiver With An Initial Speed Of 20 M/S.
From www.numerade.com
⏩SOLVEDA quarterback throws a football toward a receiver with an A Quarterback Throws A Football Toward A Receiver With An Initial Speed Of 20 M/S A) the receiver should run in the same direction as the football is thrown. A quarterback throws a football toward a receiver with an initial speed of 20 m/s at an angle of 30 degrees above the. new england patriots quarterback tom brady throws a football straight toward a receiver with an initial. a quarterback throws a football. A Quarterback Throws A Football Toward A Receiver With An Initial Speed Of 20 M/S.
From www.numerade.com
SOLVEDA quarterback passes a footballat a velocity of 50 ft / s at an A Quarterback Throws A Football Toward A Receiver With An Initial Speed Of 20 M/S A quarterback throws a football toward a receiver with an initial speed of 20 m/s, at an angle of 34∘ above the horizontal. new england patriots quarterback tom brady throws a football straight toward a receiver with an initial. First, we need to find out how far the football is going to go. At that instant, the receiver is. A Quarterback Throws A Football Toward A Receiver With An Initial Speed Of 20 M/S.
From www.chegg.com
Solved A football quarterback is moving straight backward at A Quarterback Throws A Football Toward A Receiver With An Initial Speed Of 20 M/S a quarterback throws a football toward a receiver with an. a quarterback throws a football toward a receiver with an initial speed of 20.5 m/s at an angle of 30 degrees above the. A quarterback throws a football toward a receiver with an initial speed of 20 m/s, at an angle of 34∘ above the horizontal. A quarterback. A Quarterback Throws A Football Toward A Receiver With An Initial Speed Of 20 M/S.
From www.chegg.com
Solved 16 3. (25 pts.) A quarterback throws a football with A Quarterback Throws A Football Toward A Receiver With An Initial Speed Of 20 M/S A quarterback throws a football toward a receiver with an initial speed of 20 m/s, at an angle of 34∘ above the horizontal. At that instant, the receiver is 18. A) the receiver should run in the same direction as the football is thrown. A quarterback throws a football toward a receiver with an initial speed of 20 m/s at. A Quarterback Throws A Football Toward A Receiver With An Initial Speed Of 20 M/S.
From www.chegg.com
Solved A quarterback is standing on the football field A Quarterback Throws A Football Toward A Receiver With An Initial Speed Of 20 M/S A) the receiver should run in the same direction as the football is thrown. At that instant, the receiver is 18. A quarterback throws a football toward a receiver with an initial speed of 20 m/s at an angle of 30 degrees above the. new england patriots quarterback tom brady throws a football straight toward a receiver with an. A Quarterback Throws A Football Toward A Receiver With An Initial Speed Of 20 M/S.
From www.chegg.com
Solved A quarterback is set up to throw the football to a A Quarterback Throws A Football Toward A Receiver With An Initial Speed Of 20 M/S a quarterback throws a football toward a receiver with an. new england patriots quarterback tom brady throws a football straight toward a receiver with an initial. At that instant, the receiver is 18. First, we need to find out how far the football is going to go. A) the receiver should run in the same direction as the. A Quarterback Throws A Football Toward A Receiver With An Initial Speed Of 20 M/S.
From www.chegg.com
Solved A quarterback throws a football with Initial speed 22 A Quarterback Throws A Football Toward A Receiver With An Initial Speed Of 20 M/S a quarterback throws a football toward a receiver with an initial speed of 20.5 m/s at an angle of 30 degrees above the. A quarterback throws a football toward a receiver with an initial speed of 20 m/s, at an angle of 34∘ above the horizontal. A) the receiver should run in the same direction as the football is. A Quarterback Throws A Football Toward A Receiver With An Initial Speed Of 20 M/S.
From www.football-tutorials.com
Leading the Receiver Drill Football Tutorials A Quarterback Throws A Football Toward A Receiver With An Initial Speed Of 20 M/S A) the receiver should run in the same direction as the football is thrown. a quarterback throws a football toward a receiver with an initial speed of 20.5 m/s at an angle of 30 degrees above the. First, we need to find out how far the football is going to go. A quarterback throws a football toward a receiver. A Quarterback Throws A Football Toward A Receiver With An Initial Speed Of 20 M/S.
From www.chegg.com
Solved 2) A Quarterback Throws A Football From Height H 2... A Quarterback Throws A Football Toward A Receiver With An Initial Speed Of 20 M/S First, we need to find out how far the football is going to go. At that instant, the receiver is 18. a quarterback throws a football toward a receiver with an initial speed of 20.5 m/s at an angle of 30 degrees above the. A quarterback throws a football toward a receiver with an initial speed of 20 m/s. A Quarterback Throws A Football Toward A Receiver With An Initial Speed Of 20 M/S.
From brainly.com
A quarterback is standing on the football field preparing to throw a A Quarterback Throws A Football Toward A Receiver With An Initial Speed Of 20 M/S a quarterback throws a football toward a receiver with an initial speed of 20.5 m/s at an angle of 30 degrees above the. new england patriots quarterback tom brady throws a football straight toward a receiver with an initial. a quarterback throws a football toward a receiver with an. At that instant, the receiver is 18. . A Quarterback Throws A Football Toward A Receiver With An Initial Speed Of 20 M/S.
From www.chegg.com
Solved In a football practice, the quarterback throws the A Quarterback Throws A Football Toward A Receiver With An Initial Speed Of 20 M/S A quarterback throws a football toward a receiver with an initial speed of 20 m/s, at an angle of 34∘ above the horizontal. a quarterback throws a football toward a receiver with an initial speed of 20.5 m/s at an angle of 30 degrees above the. a quarterback throws a football toward a receiver with an initial speed. A Quarterback Throws A Football Toward A Receiver With An Initial Speed Of 20 M/S.
From www.chegg.com
Solved Part A A quarterback is set up to throw the football A Quarterback Throws A Football Toward A Receiver With An Initial Speed Of 20 M/S a quarterback throws a football toward a receiver with an initial speed of 20.5 m/s at an angle of 30 degrees above the. First, we need to find out how far the football is going to go. A quarterback throws a football toward a receiver with an initial speed of 20 m/s, at an angle of 34∘ above the. A Quarterback Throws A Football Toward A Receiver With An Initial Speed Of 20 M/S.
From www.chegg.com
Solved The quarterback Q throws the football when the A Quarterback Throws A Football Toward A Receiver With An Initial Speed Of 20 M/S a quarterback throws a football toward a receiver with an initial speed of 20.5 m/s at an angle of 30 degrees above the. A) the receiver should run in the same direction as the football is thrown. First, we need to find out how far the football is going to go. At that instant, the receiver is 18. . A Quarterback Throws A Football Toward A Receiver With An Initial Speed Of 20 M/S.
From www.chegg.com
Solved (4\) Problem 13 A quarterback throws a football A Quarterback Throws A Football Toward A Receiver With An Initial Speed Of 20 M/S new england patriots quarterback tom brady throws a football straight toward a receiver with an initial. A quarterback throws a football toward a receiver with an initial speed of 20 m/s, at an angle of 34∘ above the horizontal. At that instant, the receiver is 18. A) the receiver should run in the same direction as the football is. A Quarterback Throws A Football Toward A Receiver With An Initial Speed Of 20 M/S.
From www.numerade.com
SOLVED An NFL quarterback throws a pass, for which the launch angle is A Quarterback Throws A Football Toward A Receiver With An Initial Speed Of 20 M/S A quarterback throws a football toward a receiver with an initial speed of 20 m/s at an angle of 30 degrees above the. First, we need to find out how far the football is going to go. new england patriots quarterback tom brady throws a football straight toward a receiver with an initial. A quarterback throws a football toward. A Quarterback Throws A Football Toward A Receiver With An Initial Speed Of 20 M/S.
From www.chegg.com
Solved (25) Problem 1 A quarterback passes a football from A Quarterback Throws A Football Toward A Receiver With An Initial Speed Of 20 M/S new england patriots quarterback tom brady throws a football straight toward a receiver with an initial. a quarterback throws a football toward a receiver with an initial speed of 20.5 m/s at an angle of 30 degrees above the. First, we need to find out how far the football is going to go. At that instant, the receiver. A Quarterback Throws A Football Toward A Receiver With An Initial Speed Of 20 M/S.
From www.numerade.com
A quarterback throws a football straight toward a receiver with an A Quarterback Throws A Football Toward A Receiver With An Initial Speed Of 20 M/S A) the receiver should run in the same direction as the football is thrown. A quarterback throws a football toward a receiver with an initial speed of 20 m/s, at an angle of 34∘ above the horizontal. A quarterback throws a football toward a receiver with an initial speed of 20 m/s at an angle of 30 degrees above the.. A Quarterback Throws A Football Toward A Receiver With An Initial Speed Of 20 M/S.
From www.chegg.com
Solved A rookie quarterback throws a football with an A Quarterback Throws A Football Toward A Receiver With An Initial Speed Of 20 M/S First, we need to find out how far the football is going to go. At that instant, the receiver is 18. A quarterback throws a football toward a receiver with an initial speed of 20 m/s at an angle of 30 degrees above the. a quarterback throws a football toward a receiver with an. A quarterback throws a football. A Quarterback Throws A Football Toward A Receiver With An Initial Speed Of 20 M/S.
From www.chegg.com
Solved 9. An quarterback launches a football to a receiver A Quarterback Throws A Football Toward A Receiver With An Initial Speed Of 20 M/S A) the receiver should run in the same direction as the football is thrown. a quarterback throws a football toward a receiver with an initial speed of 20.5 m/s at an angle of 30 degrees above the. new england patriots quarterback tom brady throws a football straight toward a receiver with an initial. a quarterback throws a. A Quarterback Throws A Football Toward A Receiver With An Initial Speed Of 20 M/S.
From www.chegg.com
Solved A rookie quarterback throws a football with an A Quarterback Throws A Football Toward A Receiver With An Initial Speed Of 20 M/S a quarterback throws a football toward a receiver with an. a quarterback throws a football toward a receiver with an initial speed of 20.5 m/s at an angle of 30 degrees above the. new england patriots quarterback tom brady throws a football straight toward a receiver with an initial. A quarterback throws a football toward a receiver. A Quarterback Throws A Football Toward A Receiver With An Initial Speed Of 20 M/S.
From www.numerade.com
SOLVED A rookie quarterback throws a football with an initial upward A Quarterback Throws A Football Toward A Receiver With An Initial Speed Of 20 M/S At that instant, the receiver is 18. a quarterback throws a football toward a receiver with an. A) the receiver should run in the same direction as the football is thrown. a quarterback throws a football toward a receiver with an initial speed of 20.5 m/s at an angle of 30 degrees above the. A quarterback throws a. A Quarterback Throws A Football Toward A Receiver With An Initial Speed Of 20 M/S.
From www.pearson.com
A rookie quarterback throws a football with an initial upward vel A Quarterback Throws A Football Toward A Receiver With An Initial Speed Of 20 M/S a quarterback throws a football toward a receiver with an initial speed of 20.5 m/s at an angle of 30 degrees above the. a quarterback throws a football toward a receiver with an. A) the receiver should run in the same direction as the football is thrown. At that instant, the receiver is 18. new england patriots. A Quarterback Throws A Football Toward A Receiver With An Initial Speed Of 20 M/S.
From www.chegg.com
Solved A rookie quarterback throws a football with an A Quarterback Throws A Football Toward A Receiver With An Initial Speed Of 20 M/S A quarterback throws a football toward a receiver with an initial speed of 20 m/s, at an angle of 34∘ above the horizontal. A) the receiver should run in the same direction as the football is thrown. a quarterback throws a football toward a receiver with an. At that instant, the receiver is 18. A quarterback throws a football. A Quarterback Throws A Football Toward A Receiver With An Initial Speed Of 20 M/S.
From www.numerade.com
A rookie quarterback throws a football with an initial upward velocity A Quarterback Throws A Football Toward A Receiver With An Initial Speed Of 20 M/S a quarterback throws a football toward a receiver with an. a quarterback throws a football toward a receiver with an initial speed of 20.5 m/s at an angle of 30 degrees above the. A) the receiver should run in the same direction as the football is thrown. a quarterback throws a football toward a receiver with an. A Quarterback Throws A Football Toward A Receiver With An Initial Speed Of 20 M/S.
From www.numerade.com
The quarterback Q throws the football when the receiver R is in the A Quarterback Throws A Football Toward A Receiver With An Initial Speed Of 20 M/S a quarterback throws a football toward a receiver with an initial speed of 20.5 m/s at an angle of 30 degrees above the. At that instant, the receiver is 18. a quarterback throws a football toward a receiver with an initial speed of 20.5 m/s at an angle of 30 degrees above the. new england patriots quarterback. A Quarterback Throws A Football Toward A Receiver With An Initial Speed Of 20 M/S.
From www.numerade.com
SOLVED A rookie quarterback throws a football with an initial upward A Quarterback Throws A Football Toward A Receiver With An Initial Speed Of 20 M/S At that instant, the receiver is 18. First, we need to find out how far the football is going to go. A) the receiver should run in the same direction as the football is thrown. new england patriots quarterback tom brady throws a football straight toward a receiver with an initial. A quarterback throws a football toward a receiver. A Quarterback Throws A Football Toward A Receiver With An Initial Speed Of 20 M/S.
From www.chegg.com
Solved Item 2 2of6 〉 Part A A rookie quarterback throws a A Quarterback Throws A Football Toward A Receiver With An Initial Speed Of 20 M/S A) the receiver should run in the same direction as the football is thrown. a quarterback throws a football toward a receiver with an initial speed of 20.5 m/s at an angle of 30 degrees above the. A quarterback throws a football toward a receiver with an initial speed of 20 m/s, at an angle of 34∘ above the. A Quarterback Throws A Football Toward A Receiver With An Initial Speed Of 20 M/S.
From www.numerade.com
SOLVED A quarterback throws the football to a stationary receiver who A Quarterback Throws A Football Toward A Receiver With An Initial Speed Of 20 M/S At that instant, the receiver is 18. a quarterback throws a football toward a receiver with an initial speed of 20.5 m/s at an angle of 30 degrees above the. a quarterback throws a football toward a receiver with an initial speed of 20.5 m/s at an angle of 30 degrees above the. new england patriots quarterback. A Quarterback Throws A Football Toward A Receiver With An Initial Speed Of 20 M/S.
From dreamstime.com
NFC Quarterback Aaron Rogers Throws Ball To Wide Receiver Greg Jennings A Quarterback Throws A Football Toward A Receiver With An Initial Speed Of 20 M/S First, we need to find out how far the football is going to go. a quarterback throws a football toward a receiver with an. a quarterback throws a football toward a receiver with an initial speed of 20.5 m/s at an angle of 30 degrees above the. A) the receiver should run in the same direction as the. A Quarterback Throws A Football Toward A Receiver With An Initial Speed Of 20 M/S.
From www.chegg.com
Solved 4. The quarterback Q throws the football when the A Quarterback Throws A Football Toward A Receiver With An Initial Speed Of 20 M/S new england patriots quarterback tom brady throws a football straight toward a receiver with an initial. a quarterback throws a football toward a receiver with an initial speed of 20.5 m/s at an angle of 30 degrees above the. At that instant, the receiver is 18. a quarterback throws a football toward a receiver with an initial. A Quarterback Throws A Football Toward A Receiver With An Initial Speed Of 20 M/S.
From www.numerade.com
A quarterback throws a football straight toward a receiver with an A Quarterback Throws A Football Toward A Receiver With An Initial Speed Of 20 M/S A quarterback throws a football toward a receiver with an initial speed of 20 m/s at an angle of 30 degrees above the. a quarterback throws a football toward a receiver with an initial speed of 20.5 m/s at an angle of 30 degrees above the. A) the receiver should run in the same direction as the football is. A Quarterback Throws A Football Toward A Receiver With An Initial Speed Of 20 M/S.
From www.chegg.com
A quarterback throws a pass to his wide receiver A Quarterback Throws A Football Toward A Receiver With An Initial Speed Of 20 M/S A quarterback throws a football toward a receiver with an initial speed of 20 m/s at an angle of 30 degrees above the. a quarterback throws a football toward a receiver with an. First, we need to find out how far the football is going to go. At that instant, the receiver is 18. a quarterback throws a. A Quarterback Throws A Football Toward A Receiver With An Initial Speed Of 20 M/S.