Differential Integration Formula . If integrating a rational expression involving polynomials, dx, where the q(x) degree (largest. z p (x) partial fractions : First, consider the integral \[i(x, a)=\int e^{a x} d. thinking of an indefinite integral as the sum of all the infinitesimal “pieces” of a function—for the purpose of retrieving that. the basic formula for the differentiation and integration of a function f (x) at a point x = a is given by, differentiation: use differentiation under the integral sign to evaluate \(\int x e^{x} d x\). differentiation under the integral sign is an operation in calculus used to evaluate certain integrals.
from www.youtube.com
use differentiation under the integral sign to evaluate \(\int x e^{x} d x\). If integrating a rational expression involving polynomials, dx, where the q(x) degree (largest. the basic formula for the differentiation and integration of a function f (x) at a point x = a is given by, differentiation: z p (x) partial fractions : differentiation under the integral sign is an operation in calculus used to evaluate certain integrals. thinking of an indefinite integral as the sum of all the infinitesimal “pieces” of a function—for the purpose of retrieving that. First, consider the integral \[i(x, a)=\int e^{a x} d.
Integration (11) Differential Equations (C4 Maths ALevel) YouTube
Differential Integration Formula use differentiation under the integral sign to evaluate \(\int x e^{x} d x\). If integrating a rational expression involving polynomials, dx, where the q(x) degree (largest. differentiation under the integral sign is an operation in calculus used to evaluate certain integrals. z p (x) partial fractions : the basic formula for the differentiation and integration of a function f (x) at a point x = a is given by, differentiation: use differentiation under the integral sign to evaluate \(\int x e^{x} d x\). First, consider the integral \[i(x, a)=\int e^{a x} d. thinking of an indefinite integral as the sum of all the infinitesimal “pieces” of a function—for the purpose of retrieving that.
From www.scribd.com
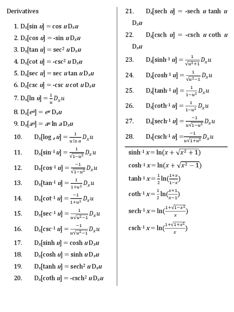
Differential & Integration Formulas PDF Differential Integration Formula If integrating a rational expression involving polynomials, dx, where the q(x) degree (largest. differentiation under the integral sign is an operation in calculus used to evaluate certain integrals. z p (x) partial fractions : use differentiation under the integral sign to evaluate \(\int x e^{x} d x\). First, consider the integral \[i(x, a)=\int e^{a x} d. . Differential Integration Formula.
From www.studypool.com
SOLUTION Integration differential formula Studypool Differential Integration Formula If integrating a rational expression involving polynomials, dx, where the q(x) degree (largest. use differentiation under the integral sign to evaluate \(\int x e^{x} d x\). the basic formula for the differentiation and integration of a function f (x) at a point x = a is given by, differentiation: differentiation under the integral sign is an operation. Differential Integration Formula.
From www.cuemath.com
All Integration Formulas Complete List of Integrals Cuemath Differential Integration Formula use differentiation under the integral sign to evaluate \(\int x e^{x} d x\). If integrating a rational expression involving polynomials, dx, where the q(x) degree (largest. the basic formula for the differentiation and integration of a function f (x) at a point x = a is given by, differentiation: First, consider the integral \[i(x, a)=\int e^{a x} d.. Differential Integration Formula.
From www.youtube.com
solve differential equation using integrating factor part 3 YouTube Differential Integration Formula If integrating a rational expression involving polynomials, dx, where the q(x) degree (largest. First, consider the integral \[i(x, a)=\int e^{a x} d. thinking of an indefinite integral as the sum of all the infinitesimal “pieces” of a function—for the purpose of retrieving that. differentiation under the integral sign is an operation in calculus used to evaluate certain integrals.. Differential Integration Formula.
From www.brainkart.com
Basic Rules or Formula of Integration Differential Integration Formula the basic formula for the differentiation and integration of a function f (x) at a point x = a is given by, differentiation: First, consider the integral \[i(x, a)=\int e^{a x} d. thinking of an indefinite integral as the sum of all the infinitesimal “pieces” of a function—for the purpose of retrieving that. use differentiation under the. Differential Integration Formula.
From trigidentities.net
Integration Formula For Trigonometry Function Differential Integration Formula the basic formula for the differentiation and integration of a function f (x) at a point x = a is given by, differentiation: First, consider the integral \[i(x, a)=\int e^{a x} d. z p (x) partial fractions : differentiation under the integral sign is an operation in calculus used to evaluate certain integrals. use differentiation under. Differential Integration Formula.
From www.teachoo.com
Differentiation Formulas & Rules Basic,Trig Full list Teachoo Differential Integration Formula use differentiation under the integral sign to evaluate \(\int x e^{x} d x\). If integrating a rational expression involving polynomials, dx, where the q(x) degree (largest. thinking of an indefinite integral as the sum of all the infinitesimal “pieces” of a function—for the purpose of retrieving that. First, consider the integral \[i(x, a)=\int e^{a x} d. z. Differential Integration Formula.
From www.studypool.com
SOLUTION Integration differential formula Studypool Differential Integration Formula thinking of an indefinite integral as the sum of all the infinitesimal “pieces” of a function—for the purpose of retrieving that. use differentiation under the integral sign to evaluate \(\int x e^{x} d x\). First, consider the integral \[i(x, a)=\int e^{a x} d. z p (x) partial fractions : differentiation under the integral sign is an. Differential Integration Formula.
From byjus.com
Differentiation and integration formulae. Differential Integration Formula thinking of an indefinite integral as the sum of all the infinitesimal “pieces” of a function—for the purpose of retrieving that. First, consider the integral \[i(x, a)=\int e^{a x} d. the basic formula for the differentiation and integration of a function f (x) at a point x = a is given by, differentiation: differentiation under the integral. Differential Integration Formula.
From dxocwgfkz.blob.core.windows.net
Engineering Calculus And Differential Equations at Mark Badgett blog Differential Integration Formula If integrating a rational expression involving polynomials, dx, where the q(x) degree (largest. the basic formula for the differentiation and integration of a function f (x) at a point x = a is given by, differentiation: thinking of an indefinite integral as the sum of all the infinitesimal “pieces” of a function—for the purpose of retrieving that. . Differential Integration Formula.
From nonstopengineering.blogspot.com
Complete Guide for Differentiation and Integration Formulas NonStop Differential Integration Formula First, consider the integral \[i(x, a)=\int e^{a x} d. differentiation under the integral sign is an operation in calculus used to evaluate certain integrals. If integrating a rational expression involving polynomials, dx, where the q(x) degree (largest. z p (x) partial fractions : thinking of an indefinite integral as the sum of all the infinitesimal “pieces” of. Differential Integration Formula.
From www.cuemath.com
Integration Formula Examples List of Integration Formulas Differential Integration Formula the basic formula for the differentiation and integration of a function f (x) at a point x = a is given by, differentiation: differentiation under the integral sign is an operation in calculus used to evaluate certain integrals. First, consider the integral \[i(x, a)=\int e^{a x} d. thinking of an indefinite integral as the sum of all. Differential Integration Formula.
From www.teachoo.com
Differentiation Formulas & Rules Basic,Trig Full list Teachoo Differential Integration Formula the basic formula for the differentiation and integration of a function f (x) at a point x = a is given by, differentiation: differentiation under the integral sign is an operation in calculus used to evaluate certain integrals. If integrating a rational expression involving polynomials, dx, where the q(x) degree (largest. First, consider the integral \[i(x, a)=\int e^{a. Differential Integration Formula.
From www.youtube.com
Linear Differential Equations (Integrating Factor) YouTube Differential Integration Formula If integrating a rational expression involving polynomials, dx, where the q(x) degree (largest. First, consider the integral \[i(x, a)=\int e^{a x} d. use differentiation under the integral sign to evaluate \(\int x e^{x} d x\). the basic formula for the differentiation and integration of a function f (x) at a point x = a is given by, differentiation:. Differential Integration Formula.
From www.cuemath.com
All Integration Formulas Complete List of Integrals Cuemath Differential Integration Formula differentiation under the integral sign is an operation in calculus used to evaluate certain integrals. First, consider the integral \[i(x, a)=\int e^{a x} d. z p (x) partial fractions : If integrating a rational expression involving polynomials, dx, where the q(x) degree (largest. use differentiation under the integral sign to evaluate \(\int x e^{x} d x\). . Differential Integration Formula.
From www.studypool.com
SOLUTION Integration differential formula Studypool Differential Integration Formula If integrating a rational expression involving polynomials, dx, where the q(x) degree (largest. differentiation under the integral sign is an operation in calculus used to evaluate certain integrals. use differentiation under the integral sign to evaluate \(\int x e^{x} d x\). z p (x) partial fractions : First, consider the integral \[i(x, a)=\int e^{a x} d. . Differential Integration Formula.
From trigidentities.net
Integration Formula For Trigonometry Function Differential Integration Formula If integrating a rational expression involving polynomials, dx, where the q(x) degree (largest. First, consider the integral \[i(x, a)=\int e^{a x} d. thinking of an indefinite integral as the sum of all the infinitesimal “pieces” of a function—for the purpose of retrieving that. use differentiation under the integral sign to evaluate \(\int x e^{x} d x\). differentiation. Differential Integration Formula.
From www.youtube.com
The Leibniz rule for integrals The Derivation YouTube Differential Integration Formula First, consider the integral \[i(x, a)=\int e^{a x} d. the basic formula for the differentiation and integration of a function f (x) at a point x = a is given by, differentiation: differentiation under the integral sign is an operation in calculus used to evaluate certain integrals. use differentiation under the integral sign to evaluate \(\int x. Differential Integration Formula.
From www.youtube.com
Integrating factor method for ordinary differential equations YouTube Differential Integration Formula z p (x) partial fractions : thinking of an indefinite integral as the sum of all the infinitesimal “pieces” of a function—for the purpose of retrieving that. If integrating a rational expression involving polynomials, dx, where the q(x) degree (largest. the basic formula for the differentiation and integration of a function f (x) at a point x. Differential Integration Formula.
From dxodbfmjh.blob.core.windows.net
Differential And Integral Method at Terence blog Differential Integration Formula use differentiation under the integral sign to evaluate \(\int x e^{x} d x\). First, consider the integral \[i(x, a)=\int e^{a x} d. differentiation under the integral sign is an operation in calculus used to evaluate certain integrals. If integrating a rational expression involving polynomials, dx, where the q(x) degree (largest. thinking of an indefinite integral as the. Differential Integration Formula.
From www.teachoo.com
Differentiation Formulas & Rules Basic,Trig Full list Teachoo Differential Integration Formula z p (x) partial fractions : the basic formula for the differentiation and integration of a function f (x) at a point x = a is given by, differentiation: First, consider the integral \[i(x, a)=\int e^{a x} d. thinking of an indefinite integral as the sum of all the infinitesimal “pieces” of a function—for the purpose of. Differential Integration Formula.
From www.tes.com
First order differential equations Teaching Resources Differential Integration Formula thinking of an indefinite integral as the sum of all the infinitesimal “pieces” of a function—for the purpose of retrieving that. First, consider the integral \[i(x, a)=\int e^{a x} d. differentiation under the integral sign is an operation in calculus used to evaluate certain integrals. z p (x) partial fractions : If integrating a rational expression involving. Differential Integration Formula.
From peachyfileson.cf
Differential equations by m d raisinghania Differential Integration Formula differentiation under the integral sign is an operation in calculus used to evaluate certain integrals. z p (x) partial fractions : use differentiation under the integral sign to evaluate \(\int x e^{x} d x\). thinking of an indefinite integral as the sum of all the infinitesimal “pieces” of a function—for the purpose of retrieving that. . Differential Integration Formula.
From www.studypool.com
SOLUTION Integration and differentiation formula sheet Studypool Differential Integration Formula the basic formula for the differentiation and integration of a function f (x) at a point x = a is given by, differentiation: use differentiation under the integral sign to evaluate \(\int x e^{x} d x\). If integrating a rational expression involving polynomials, dx, where the q(x) degree (largest. First, consider the integral \[i(x, a)=\int e^{a x} d.. Differential Integration Formula.
From www.youtube.com
Lecture 6 Integrating Factor Method Differential Equations YouTube Differential Integration Formula z p (x) partial fractions : If integrating a rational expression involving polynomials, dx, where the q(x) degree (largest. use differentiation under the integral sign to evaluate \(\int x e^{x} d x\). differentiation under the integral sign is an operation in calculus used to evaluate certain integrals. thinking of an indefinite integral as the sum of. Differential Integration Formula.
From www.slideserve.com
PPT Separable Differential Equations PowerPoint Presentation, free Differential Integration Formula the basic formula for the differentiation and integration of a function f (x) at a point x = a is given by, differentiation: thinking of an indefinite integral as the sum of all the infinitesimal “pieces” of a function—for the purpose of retrieving that. First, consider the integral \[i(x, a)=\int e^{a x} d. z p (x) partial. Differential Integration Formula.
From www.cuemath.com
Integration Rules, Properties, Formulas and Methods of Integration Differential Integration Formula First, consider the integral \[i(x, a)=\int e^{a x} d. the basic formula for the differentiation and integration of a function f (x) at a point x = a is given by, differentiation: z p (x) partial fractions : differentiation under the integral sign is an operation in calculus used to evaluate certain integrals. use differentiation under. Differential Integration Formula.
From physicswood.blogspot.com
Physics Wood BASIC DIFFERENTIATION & INTEGRATION FORMULA Differential Integration Formula z p (x) partial fractions : use differentiation under the integral sign to evaluate \(\int x e^{x} d x\). First, consider the integral \[i(x, a)=\int e^{a x} d. thinking of an indefinite integral as the sum of all the infinitesimal “pieces” of a function—for the purpose of retrieving that. differentiation under the integral sign is an. Differential Integration Formula.
From www.studypool.com
SOLUTION Differentiation and integration formula Studypool Differential Integration Formula use differentiation under the integral sign to evaluate \(\int x e^{x} d x\). If integrating a rational expression involving polynomials, dx, where the q(x) degree (largest. z p (x) partial fractions : thinking of an indefinite integral as the sum of all the infinitesimal “pieces” of a function—for the purpose of retrieving that. differentiation under the. Differential Integration Formula.
From www.cuemath.com
Examples On Exact Differential Equations What is Examples On Exact Differential Integration Formula First, consider the integral \[i(x, a)=\int e^{a x} d. use differentiation under the integral sign to evaluate \(\int x e^{x} d x\). thinking of an indefinite integral as the sum of all the infinitesimal “pieces” of a function—for the purpose of retrieving that. the basic formula for the differentiation and integration of a function f (x) at. Differential Integration Formula.
From giasutamtaiduc.com
Differentiation and Integration Formula ⭐️⭐️⭐️⭐️⭐ Differential Integration Formula differentiation under the integral sign is an operation in calculus used to evaluate certain integrals. the basic formula for the differentiation and integration of a function f (x) at a point x = a is given by, differentiation: z p (x) partial fractions : use differentiation under the integral sign to evaluate \(\int x e^{x} d. Differential Integration Formula.
From matterofmath.com
Integration by Parts Formula + How to Do it · Matter of Math Differential Integration Formula If integrating a rational expression involving polynomials, dx, where the q(x) degree (largest. thinking of an indefinite integral as the sum of all the infinitesimal “pieces” of a function—for the purpose of retrieving that. the basic formula for the differentiation and integration of a function f (x) at a point x = a is given by, differentiation: First,. Differential Integration Formula.
From www.youtube.com
Integration (11) Differential Equations (C4 Maths ALevel) YouTube Differential Integration Formula First, consider the integral \[i(x, a)=\int e^{a x} d. If integrating a rational expression involving polynomials, dx, where the q(x) degree (largest. the basic formula for the differentiation and integration of a function f (x) at a point x = a is given by, differentiation: z p (x) partial fractions : thinking of an indefinite integral as. Differential Integration Formula.
From www.teachoo.com
Ex 9.6, 19 The Integrating Factor of (1 y2) dx/dy + yx = ay Differential Integration Formula thinking of an indefinite integral as the sum of all the infinitesimal “pieces” of a function—for the purpose of retrieving that. If integrating a rational expression involving polynomials, dx, where the q(x) degree (largest. First, consider the integral \[i(x, a)=\int e^{a x} d. the basic formula for the differentiation and integration of a function f (x) at a. Differential Integration Formula.
From dxoqvwkkw.blob.core.windows.net
Differentiation Formula Igcse at Nita Milton blog Differential Integration Formula z p (x) partial fractions : If integrating a rational expression involving polynomials, dx, where the q(x) degree (largest. use differentiation under the integral sign to evaluate \(\int x e^{x} d x\). differentiation under the integral sign is an operation in calculus used to evaluate certain integrals. the basic formula for the differentiation and integration of. Differential Integration Formula.