Coefficients Cv.glmnet . S for specifiying the value (s) of λ λ at which to. Extract coefficients from a glmnet object. Similar to other predict methods, this functions predicts fitted values, logits, coefficients and more from a fitted glmnet. Glmnet and plot, predict, and coef methods for cv.glmnet and cv.relaxed objects. Extract coefficient information from models. Coef(cv, s=cv$lambda.1se) which returns the coefficients for each variable for each habitat class for the lambda that is 1 se larger. Two commonly used arguments are: I would like to extract the glmnet generated model coefficients and create a sql query from them. # s3 method for cv.glmnet. Similar to other predict methods, this functions predicts fitted values, logits, coefficients and more from. We can extract the coefficients and make predictions for a glmnet object at certain values of λ λ.
from stackoverflow.com
Extract coefficient information from models. Similar to other predict methods, this functions predicts fitted values, logits, coefficients and more from. I would like to extract the glmnet generated model coefficients and create a sql query from them. Two commonly used arguments are: We can extract the coefficients and make predictions for a glmnet object at certain values of λ λ. # s3 method for cv.glmnet. Coef(cv, s=cv$lambda.1se) which returns the coefficients for each variable for each habitat class for the lambda that is 1 se larger. Glmnet and plot, predict, and coef methods for cv.glmnet and cv.relaxed objects. S for specifiying the value (s) of λ λ at which to. Similar to other predict methods, this functions predicts fitted values, logits, coefficients and more from a fitted glmnet.
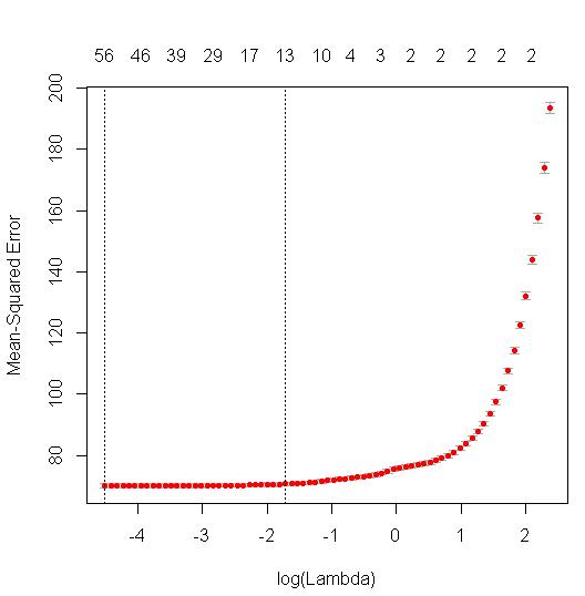
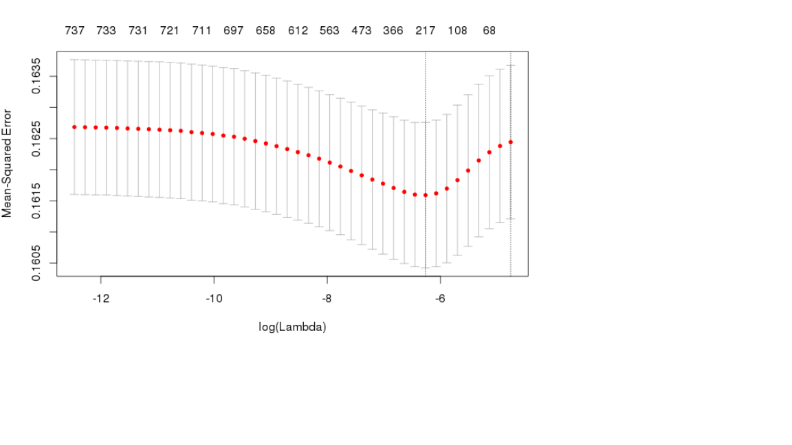
r different results based on type.measure argument in
Coefficients Cv.glmnet Glmnet and plot, predict, and coef methods for cv.glmnet and cv.relaxed objects. We can extract the coefficients and make predictions for a glmnet object at certain values of λ λ. # s3 method for cv.glmnet. Extract coefficient information from models. Similar to other predict methods, this functions predicts fitted values, logits, coefficients and more from a fitted glmnet. Two commonly used arguments are: S for specifiying the value (s) of λ λ at which to. Similar to other predict methods, this functions predicts fitted values, logits, coefficients and more from. Coef(cv, s=cv$lambda.1se) which returns the coefficients for each variable for each habitat class for the lambda that is 1 se larger. I would like to extract the glmnet generated model coefficients and create a sql query from them. Extract coefficients from a glmnet object. Glmnet and plot, predict, and coef methods for cv.glmnet and cv.relaxed objects.
From blog.csdn.net
lasso 回归教程 glnmet包_error in if (nulldev == 0) stop("y is constant; ga Coefficients Cv.glmnet I would like to extract the glmnet generated model coefficients and create a sql query from them. Extract coefficients from a glmnet object. Similar to other predict methods, this functions predicts fitted values, logits, coefficients and more from a fitted glmnet. Two commonly used arguments are: Coef(cv, s=cv$lambda.1se) which returns the coefficients for each variable for each habitat class for. Coefficients Cv.glmnet.
From stats.stackexchange.com
regression Difference between trace plot and Cross Validated Coefficients Cv.glmnet We can extract the coefficients and make predictions for a glmnet object at certain values of λ λ. Similar to other predict methods, this functions predicts fitted values, logits, coefficients and more from. Coef(cv, s=cv$lambda.1se) which returns the coefficients for each variable for each habitat class for the lambda that is 1 se larger. Extract coefficient information from models. S. Coefficients Cv.glmnet.
From qastack.mx
¿Cómo interpretar el diagrama ()? Coefficients Cv.glmnet Glmnet and plot, predict, and coef methods for cv.glmnet and cv.relaxed objects. S for specifiying the value (s) of λ λ at which to. Extract coefficient information from models. Two commonly used arguments are: Extract coefficients from a glmnet object. Coef(cv, s=cv$lambda.1se) which returns the coefficients for each variable for each habitat class for the lambda that is 1 se. Coefficients Cv.glmnet.
From esl.hohoweiya.xyz
for Linear Regression Coefficients Cv.glmnet Similar to other predict methods, this functions predicts fitted values, logits, coefficients and more from. Extract coefficient information from models. S for specifiying the value (s) of λ λ at which to. # s3 method for cv.glmnet. Two commonly used arguments are: Similar to other predict methods, this functions predicts fitted values, logits, coefficients and more from a fitted glmnet.. Coefficients Cv.glmnet.
From econ21130.lamadon.com
Linear model with many regressors Coefficients Cv.glmnet Extract coefficients from a glmnet object. Extract coefficient information from models. Coef(cv, s=cv$lambda.1se) which returns the coefficients for each variable for each habitat class for the lambda that is 1 se larger. Two commonly used arguments are: # s3 method for cv.glmnet. S for specifiying the value (s) of λ λ at which to. Similar to other predict methods, this. Coefficients Cv.glmnet.
From glmnet.stanford.edu
plot coefficients from a object — • Coefficients Cv.glmnet We can extract the coefficients and make predictions for a glmnet object at certain values of λ λ. Glmnet and plot, predict, and coef methods for cv.glmnet and cv.relaxed objects. Similar to other predict methods, this functions predicts fitted values, logits, coefficients and more from. # s3 method for cv.glmnet. S for specifiying the value (s) of λ λ at. Coefficients Cv.glmnet.
From blog.csdn.net
lasso 回归教程 glnmet包_error in if (nulldev == 0) stop("y is constant; ga Coefficients Cv.glmnet Similar to other predict methods, this functions predicts fitted values, logits, coefficients and more from a fitted glmnet. Extract coefficients from a glmnet object. Two commonly used arguments are: Coef(cv, s=cv$lambda.1se) which returns the coefficients for each variable for each habitat class for the lambda that is 1 se larger. Glmnet and plot, predict, and coef methods for cv.glmnet and. Coefficients Cv.glmnet.
From stackoverflow.com
r Getting coefficients at 'best' lambda Stack Overflow Coefficients Cv.glmnet Two commonly used arguments are: # s3 method for cv.glmnet. We can extract the coefficients and make predictions for a glmnet object at certain values of λ λ. S for specifiying the value (s) of λ λ at which to. Glmnet and plot, predict, and coef methods for cv.glmnet and cv.relaxed objects. Similar to other predict methods, this functions predicts. Coefficients Cv.glmnet.
From statomics.github.io
Lab 4 Sparse PCA and LDA Coefficients Cv.glmnet S for specifiying the value (s) of λ λ at which to. # s3 method for cv.glmnet. Two commonly used arguments are: Coef(cv, s=cv$lambda.1se) which returns the coefficients for each variable for each habitat class for the lambda that is 1 se larger. I would like to extract the glmnet generated model coefficients and create a sql query from them.. Coefficients Cv.glmnet.
From 9to5answer.com
[Solved] Difference between and in 9to5Answer Coefficients Cv.glmnet Two commonly used arguments are: Similar to other predict methods, this functions predicts fitted values, logits, coefficients and more from a fitted glmnet. Coef(cv, s=cv$lambda.1se) which returns the coefficients for each variable for each habitat class for the lambda that is 1 se larger. We can extract the coefficients and make predictions for a glmnet object at certain values of. Coefficients Cv.glmnet.
From stackoverflow.com
regression Plotting in R Stack Overflow Coefficients Cv.glmnet Similar to other predict methods, this functions predicts fitted values, logits, coefficients and more from. Two commonly used arguments are: We can extract the coefficients and make predictions for a glmnet object at certain values of λ λ. Extract coefficients from a glmnet object. # s3 method for cv.glmnet. S for specifiying the value (s) of λ λ at which. Coefficients Cv.glmnet.
From garthtarr.github.io
Lab 3 Regularization procedures with Coefficients Cv.glmnet Extract coefficients from a glmnet object. Similar to other predict methods, this functions predicts fitted values, logits, coefficients and more from. Coef(cv, s=cv$lambda.1se) which returns the coefficients for each variable for each habitat class for the lambda that is 1 se larger. Glmnet and plot, predict, and coef methods for cv.glmnet and cv.relaxed objects. # s3 method for cv.glmnet. S. Coefficients Cv.glmnet.
From www.sthda.com
Penalized Logistic Regression Essentials in R Ridge, Lasso and Elastic Coefficients Cv.glmnet Two commonly used arguments are: Glmnet and plot, predict, and coef methods for cv.glmnet and cv.relaxed objects. Coef(cv, s=cv$lambda.1se) which returns the coefficients for each variable for each habitat class for the lambda that is 1 se larger. I would like to extract the glmnet generated model coefficients and create a sql query from them. # s3 method for cv.glmnet.. Coefficients Cv.glmnet.
From stackoverflow.com
r How do I wrap this into a function? Stack Overflow Coefficients Cv.glmnet Two commonly used arguments are: We can extract the coefficients and make predictions for a glmnet object at certain values of λ λ. Similar to other predict methods, this functions predicts fitted values, logits, coefficients and more from a fitted glmnet. # s3 method for cv.glmnet. Coef(cv, s=cv$lambda.1se) which returns the coefficients for each variable for each habitat class for. Coefficients Cv.glmnet.
From stackoverflow.com
r different results based on type.measure argument in Coefficients Cv.glmnet Glmnet and plot, predict, and coef methods for cv.glmnet and cv.relaxed objects. I would like to extract the glmnet generated model coefficients and create a sql query from them. Coef(cv, s=cv$lambda.1se) which returns the coefficients for each variable for each habitat class for the lambda that is 1 se larger. Similar to other predict methods, this functions predicts fitted values,. Coefficients Cv.glmnet.
From www.researchgate.net
Velocity coefficient (Cv) and flow discharge coefficient (Cd) vs Coefficients Cv.glmnet # s3 method for cv.glmnet. Glmnet and plot, predict, and coef methods for cv.glmnet and cv.relaxed objects. Extract coefficient information from models. We can extract the coefficients and make predictions for a glmnet object at certain values of λ λ. Similar to other predict methods, this functions predicts fitted values, logits, coefficients and more from. I would like to extract. Coefficients Cv.glmnet.
From stephens999.github.io
simple simulation for Coefficients Cv.glmnet Coef(cv, s=cv$lambda.1se) which returns the coefficients for each variable for each habitat class for the lambda that is 1 se larger. Extract coefficient information from models. Extract coefficients from a glmnet object. Glmnet and plot, predict, and coef methods for cv.glmnet and cv.relaxed objects. We can extract the coefficients and make predictions for a glmnet object at certain values of. Coefficients Cv.glmnet.
From stackoverflow.com
r Do the default variable trace plots of use standardized Coefficients Cv.glmnet S for specifiying the value (s) of λ λ at which to. Similar to other predict methods, this functions predicts fitted values, logits, coefficients and more from a fitted glmnet. Extract coefficients from a glmnet object. # s3 method for cv.glmnet. Similar to other predict methods, this functions predicts fitted values, logits, coefficients and more from. We can extract the. Coefficients Cv.glmnet.
From econ21130.lamadon.com
Linear model with many regressors Coefficients Cv.glmnet Coef(cv, s=cv$lambda.1se) which returns the coefficients for each variable for each habitat class for the lambda that is 1 se larger. Similar to other predict methods, this functions predicts fitted values, logits, coefficients and more from a fitted glmnet. S for specifiying the value (s) of λ λ at which to. Similar to other predict methods, this functions predicts fitted. Coefficients Cv.glmnet.
From www.youtube.com
R Order of variables changes estimated coefficients in YouTube Coefficients Cv.glmnet S for specifiying the value (s) of λ λ at which to. We can extract the coefficients and make predictions for a glmnet object at certain values of λ λ. Extract coefficients from a glmnet object. Similar to other predict methods, this functions predicts fitted values, logits, coefficients and more from. Two commonly used arguments are: # s3 method for. Coefficients Cv.glmnet.
From alanocallaghan.github.io
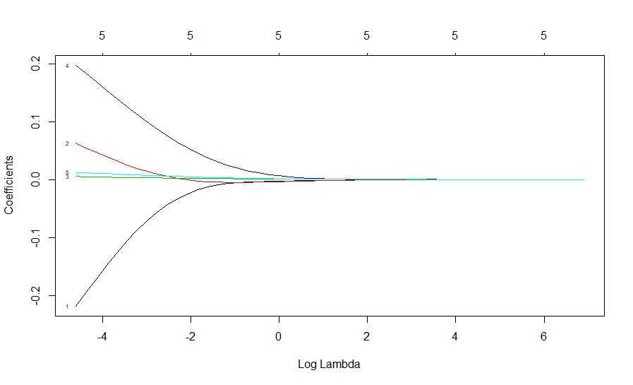
Using heatmaply for visualizing coefficient path • heatmaplyExamples Coefficients Cv.glmnet S for specifiying the value (s) of λ λ at which to. Coef(cv, s=cv$lambda.1se) which returns the coefficients for each variable for each habitat class for the lambda that is 1 se larger. Extract coefficients from a glmnet object. Similar to other predict methods, this functions predicts fitted values, logits, coefficients and more from a fitted glmnet. # s3 method. Coefficients Cv.glmnet.
From broom.tidymodels.org
Glance at a(n) object — • broom Coefficients Cv.glmnet Two commonly used arguments are: We can extract the coefficients and make predictions for a glmnet object at certain values of λ λ. S for specifiying the value (s) of λ λ at which to. # s3 method for cv.glmnet. Glmnet and plot, predict, and coef methods for cv.glmnet and cv.relaxed objects. Coef(cv, s=cv$lambda.1se) which returns the coefficients for each. Coefficients Cv.glmnet.
From stats.stackexchange.com
finance Elastic Net How to get more sparsity than "lambda.1se" in R Coefficients Cv.glmnet Extract coefficients from a glmnet object. I would like to extract the glmnet generated model coefficients and create a sql query from them. Extract coefficient information from models. Coef(cv, s=cv$lambda.1se) which returns the coefficients for each variable for each habitat class for the lambda that is 1 se larger. S for specifiying the value (s) of λ λ at which. Coefficients Cv.glmnet.
From stats.stackexchange.com
lasso How to get odds ratio using Cross Validated Coefficients Cv.glmnet Similar to other predict methods, this functions predicts fitted values, logits, coefficients and more from. S for specifiying the value (s) of λ λ at which to. Coef(cv, s=cv$lambda.1se) which returns the coefficients for each variable for each habitat class for the lambda that is 1 se larger. Two commonly used arguments are: Similar to other predict methods, this functions. Coefficients Cv.glmnet.
From stackoverflow.com
r Ridge regression with gives different coefficients than Coefficients Cv.glmnet I would like to extract the glmnet generated model coefficients and create a sql query from them. Coef(cv, s=cv$lambda.1se) which returns the coefficients for each variable for each habitat class for the lambda that is 1 se larger. Similar to other predict methods, this functions predicts fitted values, logits, coefficients and more from. S for specifiying the value (s) of. Coefficients Cv.glmnet.
From www.youtube.com
R same lambda but different coefficients for & cv Coefficients Cv.glmnet S for specifiying the value (s) of λ λ at which to. Two commonly used arguments are: Similar to other predict methods, this functions predicts fitted values, logits, coefficients and more from a fitted glmnet. Similar to other predict methods, this functions predicts fitted values, logits, coefficients and more from. Extract coefficients from a glmnet object. # s3 method for. Coefficients Cv.glmnet.
From ceirzcus.blob.core.windows.net
Valve Cv Explained at Douglas Hall blog Coefficients Cv.glmnet S for specifiying the value (s) of λ λ at which to. Coef(cv, s=cv$lambda.1se) which returns the coefficients for each variable for each habitat class for the lambda that is 1 se larger. Two commonly used arguments are: I would like to extract the glmnet generated model coefficients and create a sql query from them. Glmnet and plot, predict, and. Coefficients Cv.glmnet.
From www.youtube.com
Control Valve Flow Coefficient Cv Basic Concept YouTube Coefficients Cv.glmnet Glmnet and plot, predict, and coef methods for cv.glmnet and cv.relaxed objects. Extract coefficients from a glmnet object. Similar to other predict methods, this functions predicts fitted values, logits, coefficients and more from. We can extract the coefficients and make predictions for a glmnet object at certain values of λ λ. Similar to other predict methods, this functions predicts fitted. Coefficients Cv.glmnet.
From alexandriadentaljournal.com
R Predict Curriculum Vitae Template Coefficients Cv.glmnet We can extract the coefficients and make predictions for a glmnet object at certain values of λ λ. # s3 method for cv.glmnet. Extract coefficient information from models. I would like to extract the glmnet generated model coefficients and create a sql query from them. Similar to other predict methods, this functions predicts fitted values, logits, coefficients and more from. Coefficients Cv.glmnet.
From www.researchgate.net
package filter variables. Download Scientific Diagram Coefficients Cv.glmnet We can extract the coefficients and make predictions for a glmnet object at certain values of λ λ. Coef(cv, s=cv$lambda.1se) which returns the coefficients for each variable for each habitat class for the lambda that is 1 se larger. Two commonly used arguments are: Similar to other predict methods, this functions predicts fitted values, logits, coefficients and more from a. Coefficients Cv.glmnet.
From gedeck.github.io
Chapter 21 Regularized Generalized linear models DS6030 Coefficients Cv.glmnet S for specifiying the value (s) of λ λ at which to. Similar to other predict methods, this functions predicts fitted values, logits, coefficients and more from. We can extract the coefficients and make predictions for a glmnet object at certain values of λ λ. Coef(cv, s=cv$lambda.1se) which returns the coefficients for each variable for each habitat class for the. Coefficients Cv.glmnet.
From stats.stackexchange.com
predictive models How to report RMSE of Lasso using in R Coefficients Cv.glmnet Coef(cv, s=cv$lambda.1se) which returns the coefficients for each variable for each habitat class for the lambda that is 1 se larger. S for specifiying the value (s) of λ λ at which to. Similar to other predict methods, this functions predicts fitted values, logits, coefficients and more from. Two commonly used arguments are: Similar to other predict methods, this functions. Coefficients Cv.glmnet.
From stats.stackexchange.com
cross validation Amount of error with Cross Validated Coefficients Cv.glmnet I would like to extract the glmnet generated model coefficients and create a sql query from them. Extract coefficients from a glmnet object. Extract coefficient information from models. Glmnet and plot, predict, and coef methods for cv.glmnet and cv.relaxed objects. S for specifiying the value (s) of λ λ at which to. Coef(cv, s=cv$lambda.1se) which returns the coefficients for each. Coefficients Cv.glmnet.
From sonsungman.github.io
Son's Predictive modelling WEEK_7 Report Coefficients Cv.glmnet Similar to other predict methods, this functions predicts fitted values, logits, coefficients and more from. Two commonly used arguments are: Extract coefficient information from models. # s3 method for cv.glmnet. Coef(cv, s=cv$lambda.1se) which returns the coefficients for each variable for each habitat class for the lambda that is 1 se larger. Extract coefficients from a glmnet object. S for specifiying. Coefficients Cv.glmnet.
From github.com
at master · Abdelrahman Coefficients Cv.glmnet I would like to extract the glmnet generated model coefficients and create a sql query from them. Similar to other predict methods, this functions predicts fitted values, logits, coefficients and more from a fitted glmnet. Extract coefficient information from models. Extract coefficients from a glmnet object. S for specifiying the value (s) of λ λ at which to. # s3. Coefficients Cv.glmnet.