Child Name Change New Mexico . In order to get a court order changing your name or a child’s name, you must file a petition in the district court in the county where you live. One copy is for your records. If the child has a parent or guardian who. Petition for change of name for a child under the age of fourteen years comes now, the petitioner, _____, pursuant to nmsa 1978, § 40. If you are “14 years old or older,” you can file for a name change on your own. Make two copies of your completed and signed petition for name change. First, the person or the child must be a resident of new mexico. Information guide on the who, what, when, where, how, and why in regards to name change…. The judicial branch of new mexico consists of the supreme court, court of. Prepare the petition for change of name, interpreter form, and request for hearing.
from eforms.com
The judicial branch of new mexico consists of the supreme court, court of. First, the person or the child must be a resident of new mexico. In order to get a court order changing your name or a child’s name, you must file a petition in the district court in the county where you live. If the child has a parent or guardian who. If you are “14 years old or older,” you can file for a name change on your own. Prepare the petition for change of name, interpreter form, and request for hearing. Petition for change of name for a child under the age of fourteen years comes now, the petitioner, _____, pursuant to nmsa 1978, § 40. One copy is for your records. Information guide on the who, what, when, where, how, and why in regards to name change…. Make two copies of your completed and signed petition for name change.
Free New Mexico Name Change Forms PDF eForms
Child Name Change New Mexico The judicial branch of new mexico consists of the supreme court, court of. Petition for change of name for a child under the age of fourteen years comes now, the petitioner, _____, pursuant to nmsa 1978, § 40. Make two copies of your completed and signed petition for name change. In order to get a court order changing your name or a child’s name, you must file a petition in the district court in the county where you live. The judicial branch of new mexico consists of the supreme court, court of. Prepare the petition for change of name, interpreter form, and request for hearing. First, the person or the child must be a resident of new mexico. Information guide on the who, what, when, where, how, and why in regards to name change…. One copy is for your records. If you are “14 years old or older,” you can file for a name change on your own. If the child has a parent or guardian who.
From www.pdffiller.com
Fillable Online NameChangeBirthCertificateCorrectionMinor Child Name Change New Mexico Information guide on the who, what, when, where, how, and why in regards to name change…. Petition for change of name for a child under the age of fourteen years comes now, the petitioner, _____, pursuant to nmsa 1978, § 40. In order to get a court order changing your name or a child’s name, you must file a petition. Child Name Change New Mexico.
From www.templateroller.com
Form NCMCI2004.4 Fill Out, Sign Online and Download Fillable PDF Child Name Change New Mexico In order to get a court order changing your name or a child’s name, you must file a petition in the district court in the county where you live. If the child has a parent or guardian who. Make two copies of your completed and signed petition for name change. If you are “14 years old or older,” you can. Child Name Change New Mexico.
From www.pdffiller.com
Fillable Online PETITION FOR CHILD NAME CHANGE Fax Email Print pdfFiller Child Name Change New Mexico Petition for change of name for a child under the age of fourteen years comes now, the petitioner, _____, pursuant to nmsa 1978, § 40. The judicial branch of new mexico consists of the supreme court, court of. First, the person or the child must be a resident of new mexico. Information guide on the who, what, when, where, how,. Child Name Change New Mexico.
From www.uslegalforms.com
Petition For Child Name Change In Texas US Legal Forms Child Name Change New Mexico Prepare the petition for change of name, interpreter form, and request for hearing. First, the person or the child must be a resident of new mexico. One copy is for your records. The judicial branch of new mexico consists of the supreme court, court of. Make two copies of your completed and signed petition for name change. If you are. Child Name Change New Mexico.
From www.law-thinker.com
15 Valid Reasons for Child Name Change Explained Child Name Change New Mexico Prepare the petition for change of name, interpreter form, and request for hearing. If you are “14 years old or older,” you can file for a name change on your own. The judicial branch of new mexico consists of the supreme court, court of. One copy is for your records. Petition for change of name for a child under the. Child Name Change New Mexico.
From www.bryanfagan.com
How Do I Change My Child’s Name in Texas? Child Name Change New Mexico Make two copies of your completed and signed petition for name change. In order to get a court order changing your name or a child’s name, you must file a petition in the district court in the county where you live. First, the person or the child must be a resident of new mexico. One copy is for your records.. Child Name Change New Mexico.
From www.pdffiller.com
Fillable Online Fillable Online Child's Consent to Name Change (Filed Child Name Change New Mexico One copy is for your records. Information guide on the who, what, when, where, how, and why in regards to name change…. In order to get a court order changing your name or a child’s name, you must file a petition in the district court in the county where you live. Petition for change of name for a child under. Child Name Change New Mexico.
From www.signnow.com
Order for Name Change Minor Children Fill Out and Sign Printable PDF Child Name Change New Mexico Prepare the petition for change of name, interpreter form, and request for hearing. If you are “14 years old or older,” you can file for a name change on your own. First, the person or the child must be a resident of new mexico. Petition for change of name for a child under the age of fourteen years comes now,. Child Name Change New Mexico.
From www.templateroller.com
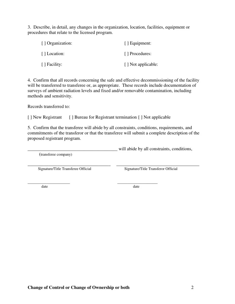
New Mexico Form Required for Change of Control or Change of Ownership Child Name Change New Mexico One copy is for your records. Petition for change of name for a child under the age of fourteen years comes now, the petitioner, _____, pursuant to nmsa 1978, § 40. Make two copies of your completed and signed petition for name change. If the child has a parent or guardian who. Prepare the petition for change of name, interpreter. Child Name Change New Mexico.
From www.bfdlawyers.com
Name Change in New Mexico BFD Lawyers Albuquerque Attorneys Child Name Change New Mexico Make two copies of your completed and signed petition for name change. Prepare the petition for change of name, interpreter form, and request for hearing. Petition for change of name for a child under the age of fourteen years comes now, the petitioner, _____, pursuant to nmsa 1978, § 40. In order to get a court order changing your name. Child Name Change New Mexico.
From www.pdffiller.com
Fillable Online Child Name Change, One Parent HowTo Guide Fax Email Child Name Change New Mexico In order to get a court order changing your name or a child’s name, you must file a petition in the district court in the county where you live. Prepare the petition for change of name, interpreter form, and request for hearing. Petition for change of name for a child under the age of fourteen years comes now, the petitioner,. Child Name Change New Mexico.
From www.forbes.com
How To Change A Child’s Last Name Legally In 2024 Forbes Advisor Child Name Change New Mexico If the child has a parent or guardian who. Petition for change of name for a child under the age of fourteen years comes now, the petitioner, _____, pursuant to nmsa 1978, § 40. First, the person or the child must be a resident of new mexico. If you are “14 years old or older,” you can file for a. Child Name Change New Mexico.
From www.changeform.net
Bexar County Name Change Form For Child Child Name Change New Mexico First, the person or the child must be a resident of new mexico. If you are “14 years old or older,” you can file for a name change on your own. Make two copies of your completed and signed petition for name change. Information guide on the who, what, when, where, how, and why in regards to name change…. Prepare. Child Name Change New Mexico.
From medium.com
Minor/Child Name Change Legally Name Change Medium Child Name Change New Mexico First, the person or the child must be a resident of new mexico. In order to get a court order changing your name or a child’s name, you must file a petition in the district court in the county where you live. Information guide on the who, what, when, where, how, and why in regards to name change…. If the. Child Name Change New Mexico.
From www.dochub.com
Name change new mexico Fill out & sign online DocHub Child Name Change New Mexico The judicial branch of new mexico consists of the supreme court, court of. If you are “14 years old or older,” you can file for a name change on your own. If the child has a parent or guardian who. Petition for change of name for a child under the age of fourteen years comes now, the petitioner, _____, pursuant. Child Name Change New Mexico.
From www.airslate.com
Export Proof Of Publication For Name Change New Mexico Google Drive Child Name Change New Mexico One copy is for your records. First, the person or the child must be a resident of new mexico. Prepare the petition for change of name, interpreter form, and request for hearing. In order to get a court order changing your name or a child’s name, you must file a petition in the district court in the county where you. Child Name Change New Mexico.
From www.templateroller.com
New Mexico Petition to Change Name (Of Person Under 14 Years of Age Child Name Change New Mexico First, the person or the child must be a resident of new mexico. Prepare the petition for change of name, interpreter form, and request for hearing. Petition for change of name for a child under the age of fourteen years comes now, the petitioner, _____, pursuant to nmsa 1978, § 40. Make two copies of your completed and signed petition. Child Name Change New Mexico.
From www.signnow.com
Child Name Change Orange County, NY Form Fill Out and Sign Printable Child Name Change New Mexico The judicial branch of new mexico consists of the supreme court, court of. Petition for change of name for a child under the age of fourteen years comes now, the petitioner, _____, pursuant to nmsa 1978, § 40. Make two copies of your completed and signed petition for name change. If you are “14 years old or older,” you can. Child Name Change New Mexico.
From medium.com
Minor/Child Name Change Legally Name Change Medium Child Name Change New Mexico Petition for change of name for a child under the age of fourteen years comes now, the petitioner, _____, pursuant to nmsa 1978, § 40. If the child has a parent or guardian who. In order to get a court order changing your name or a child’s name, you must file a petition in the district court in the county. Child Name Change New Mexico.
From www.pdffiller.com
Fillable Online REQUEST FOR NAME CHANGE New Mexico Public Education Child Name Change New Mexico Make two copies of your completed and signed petition for name change. Prepare the petition for change of name, interpreter form, and request for hearing. If you are “14 years old or older,” you can file for a name change on your own. If the child has a parent or guardian who. Information guide on the who, what, when, where,. Child Name Change New Mexico.
From www.edrafter.in
PREVIEW FOR AFFIDAVIT FOR NAME CHANGE MINOR CHILD1 eDrafter Child Name Change New Mexico Prepare the petition for change of name, interpreter form, and request for hearing. First, the person or the child must be a resident of new mexico. Information guide on the who, what, when, where, how, and why in regards to name change…. One copy is for your records. If the child has a parent or guardian who. In order to. Child Name Change New Mexico.
From www.signnow.com
Proof of Publication for Name Change New Mexico Form Fill Out and Child Name Change New Mexico Prepare the petition for change of name, interpreter form, and request for hearing. Make two copies of your completed and signed petition for name change. If you are “14 years old or older,” you can file for a name change on your own. Petition for change of name for a child under the age of fourteen years comes now, the. Child Name Change New Mexico.
From www.uslegalforms.com
North Carolina Order and Certificate of Name Change for Minor Name Child Name Change New Mexico Petition for change of name for a child under the age of fourteen years comes now, the petitioner, _____, pursuant to nmsa 1978, § 40. In order to get a court order changing your name or a child’s name, you must file a petition in the district court in the county where you live. Information guide on the who, what,. Child Name Change New Mexico.
From www.uslegalforms.com
AL Petition and Declaration for Change of Name of Minor Child 2015 Child Name Change New Mexico Prepare the petition for change of name, interpreter form, and request for hearing. The judicial branch of new mexico consists of the supreme court, court of. Information guide on the who, what, when, where, how, and why in regards to name change…. If the child has a parent or guardian who. In order to get a court order changing your. Child Name Change New Mexico.
From medium.com
Changing the Child’s Last Name. How can we legally change a child’s Child Name Change New Mexico Petition for change of name for a child under the age of fourteen years comes now, the petitioner, _____, pursuant to nmsa 1978, § 40. First, the person or the child must be a resident of new mexico. One copy is for your records. If you are “14 years old or older,” you can file for a name change on. Child Name Change New Mexico.
From eforms.com
Free New Mexico Name Change Forms PDF eForms Child Name Change New Mexico Petition for change of name for a child under the age of fourteen years comes now, the petitioner, _____, pursuant to nmsa 1978, § 40. Information guide on the who, what, when, where, how, and why in regards to name change…. In order to get a court order changing your name or a child’s name, you must file a petition. Child Name Change New Mexico.
From www.uslegalforms.com
NY Consent To Minor’s Change Of Name 2020 Fill and Sign Printable Child Name Change New Mexico One copy is for your records. If you are “14 years old or older,” you can file for a name change on your own. First, the person or the child must be a resident of new mexico. Prepare the petition for change of name, interpreter form, and request for hearing. If the child has a parent or guardian who. Information. Child Name Change New Mexico.
From yourdoorstep.co
Child Name Correction In The Birth Certificate Your Door Step Child Name Change New Mexico If the child has a parent or guardian who. The judicial branch of new mexico consists of the supreme court, court of. Make two copies of your completed and signed petition for name change. Information guide on the who, what, when, where, how, and why in regards to name change…. Prepare the petition for change of name, interpreter form, and. Child Name Change New Mexico.
From www.harriscountylawlibrary.org
Child Name Change One Parent Served — Harris County Robert W Child Name Change New Mexico If the child has a parent or guardian who. In order to get a court order changing your name or a child’s name, you must file a petition in the district court in the county where you live. One copy is for your records. Information guide on the who, what, when, where, how, and why in regards to name change….. Child Name Change New Mexico.
From www.templateroller.com
New Mexico Petition to Change Name (Of Person Under 14 Years of Age Child Name Change New Mexico If the child has a parent or guardian who. Information guide on the who, what, when, where, how, and why in regards to name change…. First, the person or the child must be a resident of new mexico. Make two copies of your completed and signed petition for name change. In order to get a court order changing your name. Child Name Change New Mexico.
From www.uslegalforms.com
New Mexico Order of Name Change US Legal Forms Child Name Change New Mexico In order to get a court order changing your name or a child’s name, you must file a petition in the district court in the county where you live. If the child has a parent or guardian who. If you are “14 years old or older,” you can file for a name change on your own. Petition for change of. Child Name Change New Mexico.
From giolgubkv.blob.core.windows.net
How To Change My Last Name In New Mexico at Salvatore Valentine blog Child Name Change New Mexico Petition for change of name for a child under the age of fourteen years comes now, the petitioner, _____, pursuant to nmsa 1978, § 40. One copy is for your records. The judicial branch of new mexico consists of the supreme court, court of. In order to get a court order changing your name or a child’s name, you must. Child Name Change New Mexico.
From medium.com
Adult Name Change. It can be hard to change adult name… by Legally Child Name Change New Mexico Information guide on the who, what, when, where, how, and why in regards to name change…. One copy is for your records. In order to get a court order changing your name or a child’s name, you must file a petition in the district court in the county where you live. Make two copies of your completed and signed petition. Child Name Change New Mexico.
From www.youtube.com
Can I Change Child’s Name Without Consent of the Father? YouTube Child Name Change New Mexico In order to get a court order changing your name or a child’s name, you must file a petition in the district court in the county where you live. Petition for change of name for a child under the age of fourteen years comes now, the petitioner, _____, pursuant to nmsa 1978, § 40. Prepare the petition for change of. Child Name Change New Mexico.
From www.signnow.com
New Mexico Minor Name Change Minor Name Change Form Fill Out and Sign Child Name Change New Mexico Information guide on the who, what, when, where, how, and why in regards to name change…. The judicial branch of new mexico consists of the supreme court, court of. First, the person or the child must be a resident of new mexico. Make two copies of your completed and signed petition for name change. In order to get a court. Child Name Change New Mexico.