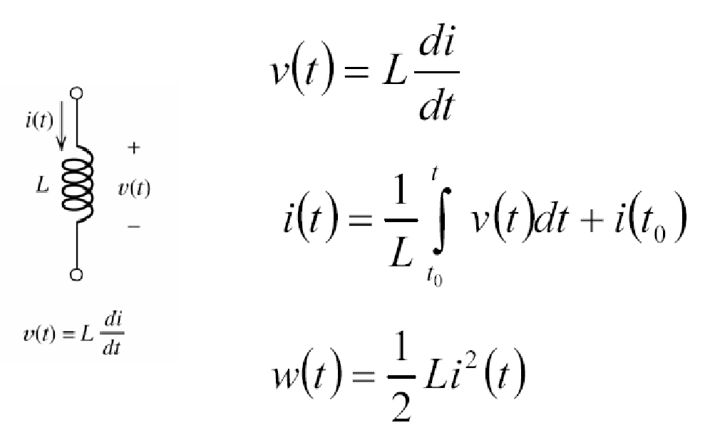
Inductor Equation Frequency . Inductor voltage and current relationship. In practical applications, calculations of inductors are basedon calculation of the quality factor (q), inductor's reactance, inductance, and the self. The inductance formula calculates the inductance of the inductor. The instantaneous voltage drop across an inductor is directly proportional to the rate of change of the current passing through the inductor. This article describes the inductance formula and how to calculate inductance. When electric current flows through. Ohm’s law for an inductor is \[ i = \dfrac{v}{x_l},\] where \(v\) is the rms voltage across the inductor. \(x_l\) is defined to be the inductive reactance,.
from engineeringcheatsheet.com
In practical applications, calculations of inductors are basedon calculation of the quality factor (q), inductor's reactance, inductance, and the self. The inductance formula calculates the inductance of the inductor. Inductor voltage and current relationship. The instantaneous voltage drop across an inductor is directly proportional to the rate of change of the current passing through the inductor. When electric current flows through. Ohm’s law for an inductor is \[ i = \dfrac{v}{x_l},\] where \(v\) is the rms voltage across the inductor. \(x_l\) is defined to be the inductive reactance,. This article describes the inductance formula and how to calculate inductance.
Unlocking the Power of Inductors Engineering Cheat Sheet
Inductor Equation Frequency The inductance formula calculates the inductance of the inductor. Inductor voltage and current relationship. When electric current flows through. Ohm’s law for an inductor is \[ i = \dfrac{v}{x_l},\] where \(v\) is the rms voltage across the inductor. The instantaneous voltage drop across an inductor is directly proportional to the rate of change of the current passing through the inductor. \(x_l\) is defined to be the inductive reactance,. This article describes the inductance formula and how to calculate inductance. The inductance formula calculates the inductance of the inductor. In practical applications, calculations of inductors are basedon calculation of the quality factor (q), inductor's reactance, inductance, and the self.
From loekuumqx.blob.core.windows.net
Inductor With Frequency at Delores Schuster blog Inductor Equation Frequency When electric current flows through. The inductance formula calculates the inductance of the inductor. \(x_l\) is defined to be the inductive reactance,. This article describes the inductance formula and how to calculate inductance. Inductor voltage and current relationship. The instantaneous voltage drop across an inductor is directly proportional to the rate of change of the current passing through the inductor.. Inductor Equation Frequency.
From marcitoisopor.blogspot.com
Voltage Across An Inductor Formula Inductor Equation Frequency Inductor voltage and current relationship. Ohm’s law for an inductor is \[ i = \dfrac{v}{x_l},\] where \(v\) is the rms voltage across the inductor. The instantaneous voltage drop across an inductor is directly proportional to the rate of change of the current passing through the inductor. \(x_l\) is defined to be the inductive reactance,. The inductance formula calculates the inductance. Inductor Equation Frequency.
From www.slideserve.com
PPT Inductors and Inductance SelfInductance RL Circuits Current Inductor Equation Frequency The instantaneous voltage drop across an inductor is directly proportional to the rate of change of the current passing through the inductor. This article describes the inductance formula and how to calculate inductance. Inductor voltage and current relationship. Ohm’s law for an inductor is \[ i = \dfrac{v}{x_l},\] where \(v\) is the rms voltage across the inductor. The inductance formula. Inductor Equation Frequency.
From www.slideserve.com
PPT Inductors and Inductance PowerPoint Presentation, free download Inductor Equation Frequency The instantaneous voltage drop across an inductor is directly proportional to the rate of change of the current passing through the inductor. This article describes the inductance formula and how to calculate inductance. The inductance formula calculates the inductance of the inductor. Ohm’s law for an inductor is \[ i = \dfrac{v}{x_l},\] where \(v\) is the rms voltage across the. Inductor Equation Frequency.
From copyprogramming.com
Inductor Real inductor equivalent circuit Inductor Equation Frequency In practical applications, calculations of inductors are basedon calculation of the quality factor (q), inductor's reactance, inductance, and the self. This article describes the inductance formula and how to calculate inductance. \(x_l\) is defined to be the inductive reactance,. When electric current flows through. Inductor voltage and current relationship. The instantaneous voltage drop across an inductor is directly proportional to. Inductor Equation Frequency.
From angesizyb.blogspot.com
Inductor Equation V L Didt Inductor Equation Frequency The inductance formula calculates the inductance of the inductor. The instantaneous voltage drop across an inductor is directly proportional to the rate of change of the current passing through the inductor. \(x_l\) is defined to be the inductive reactance,. This article describes the inductance formula and how to calculate inductance. Ohm’s law for an inductor is \[ i = \dfrac{v}{x_l},\]. Inductor Equation Frequency.
From iammumblog.blogspot.com
Voltage Inductance Formula Inductor Equation Frequency When electric current flows through. Ohm’s law for an inductor is \[ i = \dfrac{v}{x_l},\] where \(v\) is the rms voltage across the inductor. This article describes the inductance formula and how to calculate inductance. Inductor voltage and current relationship. The instantaneous voltage drop across an inductor is directly proportional to the rate of change of the current passing through. Inductor Equation Frequency.
From exygwtvwe.blob.core.windows.net
Coil Inductance Vs Frequency at Elaine Jarrett blog Inductor Equation Frequency The instantaneous voltage drop across an inductor is directly proportional to the rate of change of the current passing through the inductor. When electric current flows through. Ohm’s law for an inductor is \[ i = \dfrac{v}{x_l},\] where \(v\) is the rms voltage across the inductor. \(x_l\) is defined to be the inductive reactance,. In practical applications, calculations of inductors. Inductor Equation Frequency.
From www.slideshare.net
5.4.2 Inductance Equations Inductor Equation Frequency Inductor voltage and current relationship. \(x_l\) is defined to be the inductive reactance,. When electric current flows through. The instantaneous voltage drop across an inductor is directly proportional to the rate of change of the current passing through the inductor. Ohm’s law for an inductor is \[ i = \dfrac{v}{x_l},\] where \(v\) is the rms voltage across the inductor. The. Inductor Equation Frequency.
From fyolsxthv.blob.core.windows.net
What Is Inductor In Electrical Engineering at Luis b blog Inductor Equation Frequency In practical applications, calculations of inductors are basedon calculation of the quality factor (q), inductor's reactance, inductance, and the self. The instantaneous voltage drop across an inductor is directly proportional to the rate of change of the current passing through the inductor. This article describes the inductance formula and how to calculate inductance. When electric current flows through. The inductance. Inductor Equation Frequency.
From www.allaboutcircuits.com
Factors Affecting Inductance Inductors Electronics Textbook Inductor Equation Frequency In practical applications, calculations of inductors are basedon calculation of the quality factor (q), inductor's reactance, inductance, and the self. Ohm’s law for an inductor is \[ i = \dfrac{v}{x_l},\] where \(v\) is the rms voltage across the inductor. The instantaneous voltage drop across an inductor is directly proportional to the rate of change of the current passing through the. Inductor Equation Frequency.
From www.scienceabc.com
All You Need To Know About The Inductors And Induction Inductor Equation Frequency Inductor voltage and current relationship. When electric current flows through. \(x_l\) is defined to be the inductive reactance,. In practical applications, calculations of inductors are basedon calculation of the quality factor (q), inductor's reactance, inductance, and the self. This article describes the inductance formula and how to calculate inductance. The inductance formula calculates the inductance of the inductor. The instantaneous. Inductor Equation Frequency.
From www.electricity-magnetism.org
What is the reactance of an inductor? Inductor Equation Frequency The instantaneous voltage drop across an inductor is directly proportional to the rate of change of the current passing through the inductor. Inductor voltage and current relationship. This article describes the inductance formula and how to calculate inductance. The inductance formula calculates the inductance of the inductor. When electric current flows through. In practical applications, calculations of inductors are basedon. Inductor Equation Frequency.
From yourorchestrapictures.blogspot.com
Mutual Induction What is Inductor and Inductance Theory of Inductor Inductor Equation Frequency This article describes the inductance formula and how to calculate inductance. The inductance formula calculates the inductance of the inductor. Ohm’s law for an inductor is \[ i = \dfrac{v}{x_l},\] where \(v\) is the rms voltage across the inductor. The instantaneous voltage drop across an inductor is directly proportional to the rate of change of the current passing through the. Inductor Equation Frequency.
From www.researchgate.net
Measured inductor parameters as a function of frequency (a) inductance Inductor Equation Frequency Inductor voltage and current relationship. In practical applications, calculations of inductors are basedon calculation of the quality factor (q), inductor's reactance, inductance, and the self. The instantaneous voltage drop across an inductor is directly proportional to the rate of change of the current passing through the inductor. This article describes the inductance formula and how to calculate inductance. The inductance. Inductor Equation Frequency.
From angesizyb.blogspot.com
Inductor Equation V L Didt Inductor Equation Frequency This article describes the inductance formula and how to calculate inductance. The instantaneous voltage drop across an inductor is directly proportional to the rate of change of the current passing through the inductor. \(x_l\) is defined to be the inductive reactance,. Inductor voltage and current relationship. Ohm’s law for an inductor is \[ i = \dfrac{v}{x_l},\] where \(v\) is the. Inductor Equation Frequency.
From angeljiemala.blogspot.com
Inductor Impedance Vs Frequency Calculator Inductor Equation Frequency Inductor voltage and current relationship. When electric current flows through. In practical applications, calculations of inductors are basedon calculation of the quality factor (q), inductor's reactance, inductance, and the self. The inductance formula calculates the inductance of the inductor. Ohm’s law for an inductor is \[ i = \dfrac{v}{x_l},\] where \(v\) is the rms voltage across the inductor. \(x_l\) is. Inductor Equation Frequency.
From www.slideserve.com
PPT Chapter 31B Transient Currents and Inductance PowerPoint Inductor Equation Frequency \(x_l\) is defined to be the inductive reactance,. The inductance formula calculates the inductance of the inductor. Ohm’s law for an inductor is \[ i = \dfrac{v}{x_l},\] where \(v\) is the rms voltage across the inductor. The instantaneous voltage drop across an inductor is directly proportional to the rate of change of the current passing through the inductor. Inductor voltage. Inductor Equation Frequency.
From www.slideserve.com
PPT Inductance PowerPoint Presentation, free download ID2204865 Inductor Equation Frequency When electric current flows through. In practical applications, calculations of inductors are basedon calculation of the quality factor (q), inductor's reactance, inductance, and the self. Ohm’s law for an inductor is \[ i = \dfrac{v}{x_l},\] where \(v\) is the rms voltage across the inductor. The instantaneous voltage drop across an inductor is directly proportional to the rate of change of. Inductor Equation Frequency.
From www.youtube.com
Problems and Solutions Frequency Domain Analysis (AC Analysis) of RLC Inductor Equation Frequency The inductance formula calculates the inductance of the inductor. In practical applications, calculations of inductors are basedon calculation of the quality factor (q), inductor's reactance, inductance, and the self. \(x_l\) is defined to be the inductive reactance,. Inductor voltage and current relationship. The instantaneous voltage drop across an inductor is directly proportional to the rate of change of the current. Inductor Equation Frequency.
From angiefat.blogspot.com
Inductor At High Frequency Inductor Equation Frequency Ohm’s law for an inductor is \[ i = \dfrac{v}{x_l},\] where \(v\) is the rms voltage across the inductor. Inductor voltage and current relationship. In practical applications, calculations of inductors are basedon calculation of the quality factor (q), inductor's reactance, inductance, and the self. The inductance formula calculates the inductance of the inductor. This article describes the inductance formula and. Inductor Equation Frequency.
From www.slideserve.com
PPT Inductance PowerPoint Presentation, free download ID2204865 Inductor Equation Frequency \(x_l\) is defined to be the inductive reactance,. The instantaneous voltage drop across an inductor is directly proportional to the rate of change of the current passing through the inductor. The inductance formula calculates the inductance of the inductor. This article describes the inductance formula and how to calculate inductance. Ohm’s law for an inductor is \[ i = \dfrac{v}{x_l},\]. Inductor Equation Frequency.
From altruisticsoul90.blogspot.com
Formula For Inductors In Series And Parallel Inductor Equation Frequency Ohm’s law for an inductor is \[ i = \dfrac{v}{x_l},\] where \(v\) is the rms voltage across the inductor. \(x_l\) is defined to be the inductive reactance,. This article describes the inductance formula and how to calculate inductance. In practical applications, calculations of inductors are basedon calculation of the quality factor (q), inductor's reactance, inductance, and the self. The instantaneous. Inductor Equation Frequency.
From www.brainkart.com
AC Circuit with resistor, inductor and capacitor Inductor Equation Frequency The inductance formula calculates the inductance of the inductor. \(x_l\) is defined to be the inductive reactance,. Inductor voltage and current relationship. When electric current flows through. Ohm’s law for an inductor is \[ i = \dfrac{v}{x_l},\] where \(v\) is the rms voltage across the inductor. This article describes the inductance formula and how to calculate inductance. In practical applications,. Inductor Equation Frequency.
From engineeringcheatsheet.com
Unlocking the Power of Inductors Engineering Cheat Sheet Inductor Equation Frequency In practical applications, calculations of inductors are basedon calculation of the quality factor (q), inductor's reactance, inductance, and the self. When electric current flows through. The inductance formula calculates the inductance of the inductor. This article describes the inductance formula and how to calculate inductance. Ohm’s law for an inductor is \[ i = \dfrac{v}{x_l},\] where \(v\) is the rms. Inductor Equation Frequency.
From shishirameng.com
Inductance Induction Inductor Frequency Inductive Reactance Inductor Equation Frequency The instantaneous voltage drop across an inductor is directly proportional to the rate of change of the current passing through the inductor. The inductance formula calculates the inductance of the inductor. \(x_l\) is defined to be the inductive reactance,. Ohm’s law for an inductor is \[ i = \dfrac{v}{x_l},\] where \(v\) is the rms voltage across the inductor. In practical. Inductor Equation Frequency.
From www.youtube.com
Time Domain and Frequency Domain Voltage & Current Relationship in Inductor Equation Frequency Ohm’s law for an inductor is \[ i = \dfrac{v}{x_l},\] where \(v\) is the rms voltage across the inductor. \(x_l\) is defined to be the inductive reactance,. In practical applications, calculations of inductors are basedon calculation of the quality factor (q), inductor's reactance, inductance, and the self. The instantaneous voltage drop across an inductor is directly proportional to the rate. Inductor Equation Frequency.
From www.slideshare.net
5.4.2 Inductance Equations Inductor Equation Frequency \(x_l\) is defined to be the inductive reactance,. The instantaneous voltage drop across an inductor is directly proportional to the rate of change of the current passing through the inductor. This article describes the inductance formula and how to calculate inductance. When electric current flows through. Ohm’s law for an inductor is \[ i = \dfrac{v}{x_l},\] where \(v\) is the. Inductor Equation Frequency.
From klasrjcri.blob.core.windows.net
Inductor Impedance Plot at Shane Brock blog Inductor Equation Frequency When electric current flows through. Ohm’s law for an inductor is \[ i = \dfrac{v}{x_l},\] where \(v\) is the rms voltage across the inductor. The instantaneous voltage drop across an inductor is directly proportional to the rate of change of the current passing through the inductor. The inductance formula calculates the inductance of the inductor. \(x_l\) is defined to be. Inductor Equation Frequency.
From cekmeyhf.blob.core.windows.net
Formula Inductor Paralelo at Joshua Fulton blog Inductor Equation Frequency When electric current flows through. The instantaneous voltage drop across an inductor is directly proportional to the rate of change of the current passing through the inductor. \(x_l\) is defined to be the inductive reactance,. The inductance formula calculates the inductance of the inductor. Ohm’s law for an inductor is \[ i = \dfrac{v}{x_l},\] where \(v\) is the rms voltage. Inductor Equation Frequency.
From dxogxqlfa.blob.core.windows.net
Inductor In L at Ruth Juarez blog Inductor Equation Frequency This article describes the inductance formula and how to calculate inductance. The inductance formula calculates the inductance of the inductor. In practical applications, calculations of inductors are basedon calculation of the quality factor (q), inductor's reactance, inductance, and the self. \(x_l\) is defined to be the inductive reactance,. When electric current flows through. Inductor voltage and current relationship. The instantaneous. Inductor Equation Frequency.
From www.allaboutcircuits.com
Inductor Sizing Equation Useful Equations And Conversion Factors Inductor Equation Frequency Inductor voltage and current relationship. Ohm’s law for an inductor is \[ i = \dfrac{v}{x_l},\] where \(v\) is the rms voltage across the inductor. When electric current flows through. In practical applications, calculations of inductors are basedon calculation of the quality factor (q), inductor's reactance, inductance, and the self. The inductance formula calculates the inductance of the inductor. \(x_l\) is. Inductor Equation Frequency.
From klaieamzm.blob.core.windows.net
Inductor Impedance At Frequency at William Bryant blog Inductor Equation Frequency When electric current flows through. Inductor voltage and current relationship. The inductance formula calculates the inductance of the inductor. The instantaneous voltage drop across an inductor is directly proportional to the rate of change of the current passing through the inductor. This article describes the inductance formula and how to calculate inductance. In practical applications, calculations of inductors are basedon. Inductor Equation Frequency.
From loefopsvc.blob.core.windows.net
Flux Inductor Formula at Darrell Green blog Inductor Equation Frequency In practical applications, calculations of inductors are basedon calculation of the quality factor (q), inductor's reactance, inductance, and the self. When electric current flows through. Ohm’s law for an inductor is \[ i = \dfrac{v}{x_l},\] where \(v\) is the rms voltage across the inductor. Inductor voltage and current relationship. \(x_l\) is defined to be the inductive reactance,. This article describes. Inductor Equation Frequency.
From www.slideserve.com
PPT Inductance PowerPoint Presentation, free download ID2204865 Inductor Equation Frequency The inductance formula calculates the inductance of the inductor. When electric current flows through. Inductor voltage and current relationship. Ohm’s law for an inductor is \[ i = \dfrac{v}{x_l},\] where \(v\) is the rms voltage across the inductor. \(x_l\) is defined to be the inductive reactance,. The instantaneous voltage drop across an inductor is directly proportional to the rate of. Inductor Equation Frequency.