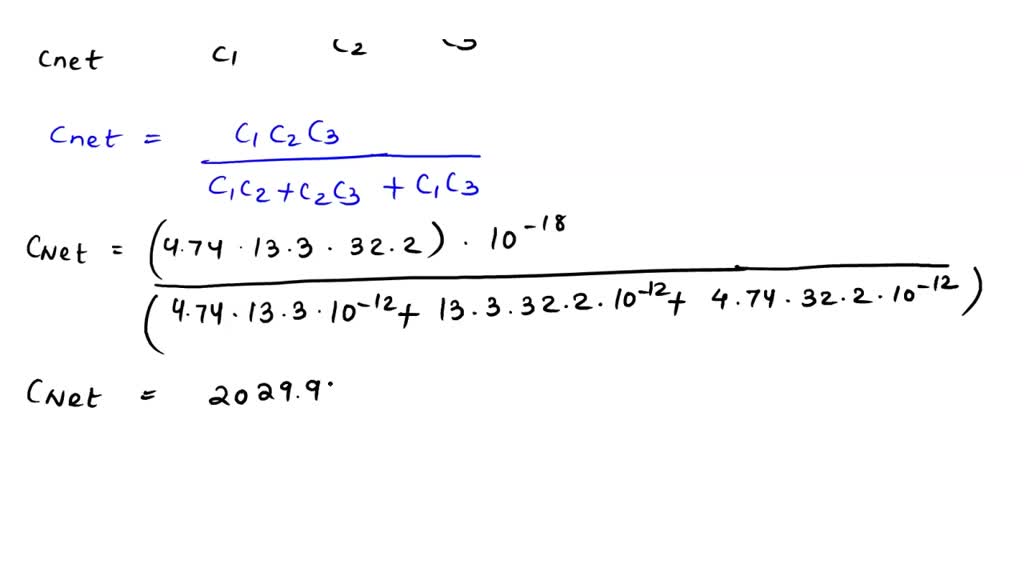
For Capacitors Connected In Series The Total Capacitance Is . Identify series and parallel parts in the combination of connection of capacitors. To find the total capacitance, we first identify which capacitors are in series and which are in parallel. Capacitors \(c_{1}\) and \(c_{2}\) are in series. When capacitors are connected in parallel, the total capacitance. What is the series capacitance? Derive expressions for total capacitance in series and in parallel. Their combination, labeled \(c_{\mathrm{s}}\) in the figure, is in parallel with \(c_{3}\). The formula for calculating the series total capacitance is the same form as for calculating parallel resistances: Identify series and parallel parts in the combination of connection of capacitors. Capacitors can be arranged in two simple and common types of connections, known as series and parallel, for which we can easily calculate. What is the total capacity of four capacitors in series, where the capacitance for each one is c₁ = 2 mf, c₂ = 5 µf, c₃ = 6 µf, c₄ = 200 nf? Find the total capacitance for three capacitors connected in series, given their individual capacitances are. Derive expressions for total capacitance in series and in parallel.
from philschatz.com
When capacitors are connected in parallel, the total capacitance. What is the total capacity of four capacitors in series, where the capacitance for each one is c₁ = 2 mf, c₂ = 5 µf, c₃ = 6 µf, c₄ = 200 nf? Find the total capacitance for three capacitors connected in series, given their individual capacitances are. Derive expressions for total capacitance in series and in parallel. Identify series and parallel parts in the combination of connection of capacitors. Identify series and parallel parts in the combination of connection of capacitors. Derive expressions for total capacitance in series and in parallel. Capacitors can be arranged in two simple and common types of connections, known as series and parallel, for which we can easily calculate. The formula for calculating the series total capacitance is the same form as for calculating parallel resistances: Their combination, labeled \(c_{\mathrm{s}}\) in the figure, is in parallel with \(c_{3}\).
Capacitors in Series and Parallel · Physics
For Capacitors Connected In Series The Total Capacitance Is Capacitors \(c_{1}\) and \(c_{2}\) are in series. The formula for calculating the series total capacitance is the same form as for calculating parallel resistances: Their combination, labeled \(c_{\mathrm{s}}\) in the figure, is in parallel with \(c_{3}\). Find the total capacitance for three capacitors connected in series, given their individual capacitances are. Capacitors can be arranged in two simple and common types of connections, known as series and parallel, for which we can easily calculate. Capacitors \(c_{1}\) and \(c_{2}\) are in series. Identify series and parallel parts in the combination of connection of capacitors. What is the series capacitance? When capacitors are connected in parallel, the total capacitance. Derive expressions for total capacitance in series and in parallel. What is the total capacity of four capacitors in series, where the capacitance for each one is c₁ = 2 mf, c₂ = 5 µf, c₃ = 6 µf, c₄ = 200 nf? To find the total capacitance, we first identify which capacitors are in series and which are in parallel. Derive expressions for total capacitance in series and in parallel. Identify series and parallel parts in the combination of connection of capacitors.
From www.numerade.com
SOLVED Three capacitors each of capacitance 9 pF are connected in For Capacitors Connected In Series The Total Capacitance Is Derive expressions for total capacitance in series and in parallel. Identify series and parallel parts in the combination of connection of capacitors. When capacitors are connected in parallel, the total capacitance. Their combination, labeled \(c_{\mathrm{s}}\) in the figure, is in parallel with \(c_{3}\). The formula for calculating the series total capacitance is the same form as for calculating parallel resistances:. For Capacitors Connected In Series The Total Capacitance Is.
From www.toppr.com
Four capacitors, C1, C2, C3 and C4 are connected as shown in figure For Capacitors Connected In Series The Total Capacitance Is Capacitors \(c_{1}\) and \(c_{2}\) are in series. To find the total capacitance, we first identify which capacitors are in series and which are in parallel. Derive expressions for total capacitance in series and in parallel. Their combination, labeled \(c_{\mathrm{s}}\) in the figure, is in parallel with \(c_{3}\). The formula for calculating the series total capacitance is the same form as. For Capacitors Connected In Series The Total Capacitance Is.
From www.coursehero.com
[Solved] The total capacitance of two 40mF seriesconnected capacitors For Capacitors Connected In Series The Total Capacitance Is Find the total capacitance for three capacitors connected in series, given their individual capacitances are. What is the total capacity of four capacitors in series, where the capacitance for each one is c₁ = 2 mf, c₂ = 5 µf, c₃ = 6 µf, c₄ = 200 nf? Derive expressions for total capacitance in series and in parallel. Their combination,. For Capacitors Connected In Series The Total Capacitance Is.
From nerdytechy.com
Capacitors in Series, Parallel and Mixed Explained NerdyTechy For Capacitors Connected In Series The Total Capacitance Is Capacitors can be arranged in two simple and common types of connections, known as series and parallel, for which we can easily calculate. Derive expressions for total capacitance in series and in parallel. The formula for calculating the series total capacitance is the same form as for calculating parallel resistances: What is the total capacity of four capacitors in series,. For Capacitors Connected In Series The Total Capacitance Is.
From www.numerade.com
SOLVED Five capacitors are connected in series and parallel, C1 = 2uF For Capacitors Connected In Series The Total Capacitance Is Derive expressions for total capacitance in series and in parallel. Derive expressions for total capacitance in series and in parallel. What is the total capacity of four capacitors in series, where the capacitance for each one is c₁ = 2 mf, c₂ = 5 µf, c₃ = 6 µf, c₄ = 200 nf? Capacitors \(c_{1}\) and \(c_{2}\) are in series.. For Capacitors Connected In Series The Total Capacitance Is.
From www.numerade.com
SOLVED 8 capacitors connected in series have capacitance of 20 pF each For Capacitors Connected In Series The Total Capacitance Is Derive expressions for total capacitance in series and in parallel. Their combination, labeled \(c_{\mathrm{s}}\) in the figure, is in parallel with \(c_{3}\). The formula for calculating the series total capacitance is the same form as for calculating parallel resistances: Derive expressions for total capacitance in series and in parallel. Identify series and parallel parts in the combination of connection of. For Capacitors Connected In Series The Total Capacitance Is.
From askfilo.com
Three identical capacitors are connected in series. The capacitance of co.. For Capacitors Connected In Series The Total Capacitance Is Derive expressions for total capacitance in series and in parallel. Capacitors can be arranged in two simple and common types of connections, known as series and parallel, for which we can easily calculate. When capacitors are connected in parallel, the total capacitance. Derive expressions for total capacitance in series and in parallel. Identify series and parallel parts in the combination. For Capacitors Connected In Series The Total Capacitance Is.
From www.solutionspile.com
[Solved] Find the total capacitance of the combination of For Capacitors Connected In Series The Total Capacitance Is What is the total capacity of four capacitors in series, where the capacitance for each one is c₁ = 2 mf, c₂ = 5 µf, c₃ = 6 µf, c₄ = 200 nf? Derive expressions for total capacitance in series and in parallel. Derive expressions for total capacitance in series and in parallel. Identify series and parallel parts in the. For Capacitors Connected In Series The Total Capacitance Is.
From www.numerade.com
SOLVED Four capacitors are connected to the battery shown. a For Capacitors Connected In Series The Total Capacitance Is When capacitors are connected in parallel, the total capacitance. The formula for calculating the series total capacitance is the same form as for calculating parallel resistances: Their combination, labeled \(c_{\mathrm{s}}\) in the figure, is in parallel with \(c_{3}\). What is the total capacity of four capacitors in series, where the capacitance for each one is c₁ = 2 mf, c₂. For Capacitors Connected In Series The Total Capacitance Is.
From www.youtube.com
Capacitors (8 of 11) in Series, Calculating Equivalent Capacitance For Capacitors Connected In Series The Total Capacitance Is Identify series and parallel parts in the combination of connection of capacitors. When capacitors are connected in parallel, the total capacitance. The formula for calculating the series total capacitance is the same form as for calculating parallel resistances: Derive expressions for total capacitance in series and in parallel. What is the series capacitance? Identify series and parallel parts in the. For Capacitors Connected In Series The Total Capacitance Is.
From www.slideserve.com
PPT Capacitors in Series & Parallel PowerPoint Presentation, free For Capacitors Connected In Series The Total Capacitance Is Capacitors \(c_{1}\) and \(c_{2}\) are in series. To find the total capacitance, we first identify which capacitors are in series and which are in parallel. Find the total capacitance for three capacitors connected in series, given their individual capacitances are. Their combination, labeled \(c_{\mathrm{s}}\) in the figure, is in parallel with \(c_{3}\). What is the series capacitance? Identify series and. For Capacitors Connected In Series The Total Capacitance Is.
From www.doubtnut.com
Derive an expression for the effective capacitance of three capacitors For Capacitors Connected In Series The Total Capacitance Is Capacitors \(c_{1}\) and \(c_{2}\) are in series. What is the series capacitance? The formula for calculating the series total capacitance is the same form as for calculating parallel resistances: When capacitors are connected in parallel, the total capacitance. Find the total capacitance for three capacitors connected in series, given their individual capacitances are. Derive expressions for total capacitance in series. For Capacitors Connected In Series The Total Capacitance Is.
From socratic.org
Combination Capacitor Circuits Physics Socratic For Capacitors Connected In Series The Total Capacitance Is What is the series capacitance? Their combination, labeled \(c_{\mathrm{s}}\) in the figure, is in parallel with \(c_{3}\). Find the total capacitance for three capacitors connected in series, given their individual capacitances are. Capacitors can be arranged in two simple and common types of connections, known as series and parallel, for which we can easily calculate. What is the total capacity. For Capacitors Connected In Series The Total Capacitance Is.
From askfilo.com
For capacitors connected in series, the total capacitance is Filo For Capacitors Connected In Series The Total Capacitance Is Capacitors \(c_{1}\) and \(c_{2}\) are in series. Derive expressions for total capacitance in series and in parallel. The formula for calculating the series total capacitance is the same form as for calculating parallel resistances: Their combination, labeled \(c_{\mathrm{s}}\) in the figure, is in parallel with \(c_{3}\). Identify series and parallel parts in the combination of connection of capacitors. To find. For Capacitors Connected In Series The Total Capacitance Is.
From philschatz.com
Capacitors in Series and Parallel · Physics For Capacitors Connected In Series The Total Capacitance Is What is the series capacitance? Derive expressions for total capacitance in series and in parallel. Their combination, labeled \(c_{\mathrm{s}}\) in the figure, is in parallel with \(c_{3}\). When capacitors are connected in parallel, the total capacitance. What is the total capacity of four capacitors in series, where the capacitance for each one is c₁ = 2 mf, c₂ = 5. For Capacitors Connected In Series The Total Capacitance Is.
From courses.lumenlearning.com
Capacitors in Series and Parallel Physics For Capacitors Connected In Series The Total Capacitance Is Find the total capacitance for three capacitors connected in series, given their individual capacitances are. What is the series capacitance? The formula for calculating the series total capacitance is the same form as for calculating parallel resistances: Their combination, labeled \(c_{\mathrm{s}}\) in the figure, is in parallel with \(c_{3}\). Identify series and parallel parts in the combination of connection of. For Capacitors Connected In Series The Total Capacitance Is.
From mungfali.com
How To Add Capacitors In Series For Capacitors Connected In Series The Total Capacitance Is When capacitors are connected in parallel, the total capacitance. What is the series capacitance? Identify series and parallel parts in the combination of connection of capacitors. Find the total capacitance for three capacitors connected in series, given their individual capacitances are. The formula for calculating the series total capacitance is the same form as for calculating parallel resistances: Capacitors \(c_{1}\). For Capacitors Connected In Series The Total Capacitance Is.
From www.toppr.com
Three capacitors each of capacitance 9 pF are connected in series.(a For Capacitors Connected In Series The Total Capacitance Is Capacitors \(c_{1}\) and \(c_{2}\) are in series. Find the total capacitance for three capacitors connected in series, given their individual capacitances are. Capacitors can be arranged in two simple and common types of connections, known as series and parallel, for which we can easily calculate. To find the total capacitance, we first identify which capacitors are in series and which. For Capacitors Connected In Series The Total Capacitance Is.
From www.embibe.com
Derive an expression for effective capacitanceof three parallel plate For Capacitors Connected In Series The Total Capacitance Is To find the total capacitance, we first identify which capacitors are in series and which are in parallel. Their combination, labeled \(c_{\mathrm{s}}\) in the figure, is in parallel with \(c_{3}\). Identify series and parallel parts in the combination of connection of capacitors. Derive expressions for total capacitance in series and in parallel. Capacitors \(c_{1}\) and \(c_{2}\) are in series. When. For Capacitors Connected In Series The Total Capacitance Is.
From www.nagwa.com
Question Video Calculating Total Capacitance in a Parallel Circuit Nagwa For Capacitors Connected In Series The Total Capacitance Is What is the total capacity of four capacitors in series, where the capacitance for each one is c₁ = 2 mf, c₂ = 5 µf, c₃ = 6 µf, c₄ = 200 nf? Capacitors can be arranged in two simple and common types of connections, known as series and parallel, for which we can easily calculate. When capacitors are connected. For Capacitors Connected In Series The Total Capacitance Is.
From www.numerade.com
SOLVED Three capacitors with individual capacitances of 2 μF, 5 μF For Capacitors Connected In Series The Total Capacitance Is Identify series and parallel parts in the combination of connection of capacitors. Derive expressions for total capacitance in series and in parallel. Their combination, labeled \(c_{\mathrm{s}}\) in the figure, is in parallel with \(c_{3}\). What is the series capacitance? Identify series and parallel parts in the combination of connection of capacitors. What is the total capacity of four capacitors in. For Capacitors Connected In Series The Total Capacitance Is.
From www.toppr.com
Two capacitors of capacitance of 6 uF and 12 uF are connected in series For Capacitors Connected In Series The Total Capacitance Is Capacitors can be arranged in two simple and common types of connections, known as series and parallel, for which we can easily calculate. Capacitors \(c_{1}\) and \(c_{2}\) are in series. Derive expressions for total capacitance in series and in parallel. To find the total capacitance, we first identify which capacitors are in series and which are in parallel. Derive expressions. For Capacitors Connected In Series The Total Capacitance Is.
From diagramdatasoftball.z14.web.core.windows.net
Capacitors In Series Diagram For Capacitors Connected In Series The Total Capacitance Is Identify series and parallel parts in the combination of connection of capacitors. Derive expressions for total capacitance in series and in parallel. Their combination, labeled \(c_{\mathrm{s}}\) in the figure, is in parallel with \(c_{3}\). Derive expressions for total capacitance in series and in parallel. The formula for calculating the series total capacitance is the same form as for calculating parallel. For Capacitors Connected In Series The Total Capacitance Is.
From philschatz.com
Capacitors in Series and Parallel · Physics For Capacitors Connected In Series The Total Capacitance Is What is the series capacitance? Derive expressions for total capacitance in series and in parallel. To find the total capacitance, we first identify which capacitors are in series and which are in parallel. Find the total capacitance for three capacitors connected in series, given their individual capacitances are. Identify series and parallel parts in the combination of connection of capacitors.. For Capacitors Connected In Series The Total Capacitance Is.
From www.numerade.com
SOLVED A. Capacitors in series Series connection of nnumber of For Capacitors Connected In Series The Total Capacitance Is When capacitors are connected in parallel, the total capacitance. What is the series capacitance? Their combination, labeled \(c_{\mathrm{s}}\) in the figure, is in parallel with \(c_{3}\). Identify series and parallel parts in the combination of connection of capacitors. The formula for calculating the series total capacitance is the same form as for calculating parallel resistances: Find the total capacitance for. For Capacitors Connected In Series The Total Capacitance Is.
From www.youtube.com
Physics 6.3.2.3 Determining total voltage and voltage drop across For Capacitors Connected In Series The Total Capacitance Is Capacitors \(c_{1}\) and \(c_{2}\) are in series. What is the series capacitance? Identify series and parallel parts in the combination of connection of capacitors. To find the total capacitance, we first identify which capacitors are in series and which are in parallel. The formula for calculating the series total capacitance is the same form as for calculating parallel resistances: When. For Capacitors Connected In Series The Total Capacitance Is.
From www.coursehero.com
[Solved] The total capacitance of two 40mF seriesconnected capacitors For Capacitors Connected In Series The Total Capacitance Is Capacitors can be arranged in two simple and common types of connections, known as series and parallel, for which we can easily calculate. The formula for calculating the series total capacitance is the same form as for calculating parallel resistances: What is the total capacity of four capacitors in series, where the capacitance for each one is c₁ = 2. For Capacitors Connected In Series The Total Capacitance Is.
From www.youtube.com
Three identical capacitors are connected in series. The total For Capacitors Connected In Series The Total Capacitance Is Capacitors can be arranged in two simple and common types of connections, known as series and parallel, for which we can easily calculate. Identify series and parallel parts in the combination of connection of capacitors. Identify series and parallel parts in the combination of connection of capacitors. To find the total capacitance, we first identify which capacitors are in series. For Capacitors Connected In Series The Total Capacitance Is.
From app.jove.com
Capacitors in Series and Parallel Concept Physics JoVe For Capacitors Connected In Series The Total Capacitance Is The formula for calculating the series total capacitance is the same form as for calculating parallel resistances: To find the total capacitance, we first identify which capacitors are in series and which are in parallel. Derive expressions for total capacitance in series and in parallel. Identify series and parallel parts in the combination of connection of capacitors. When capacitors are. For Capacitors Connected In Series The Total Capacitance Is.
From electronics-tutorial.net
Capacitors in Series Combination Electronics Tutorial For Capacitors Connected In Series The Total Capacitance Is Capacitors \(c_{1}\) and \(c_{2}\) are in series. What is the total capacity of four capacitors in series, where the capacitance for each one is c₁ = 2 mf, c₂ = 5 µf, c₃ = 6 µf, c₄ = 200 nf? When capacitors are connected in parallel, the total capacitance. Find the total capacitance for three capacitors connected in series, given. For Capacitors Connected In Series The Total Capacitance Is.
From www.doubtnut.com
In the figure, three capacitors each of capacitance 6 pF are connected For Capacitors Connected In Series The Total Capacitance Is Capacitors can be arranged in two simple and common types of connections, known as series and parallel, for which we can easily calculate. What is the series capacitance? When capacitors are connected in parallel, the total capacitance. Their combination, labeled \(c_{\mathrm{s}}\) in the figure, is in parallel with \(c_{3}\). Capacitors \(c_{1}\) and \(c_{2}\) are in series. To find the total. For Capacitors Connected In Series The Total Capacitance Is.
From aibas3i.blogspot.com
How To Find Capacitance Of Capacitor For Capacitors Connected In Series The Total Capacitance Is What is the total capacity of four capacitors in series, where the capacitance for each one is c₁ = 2 mf, c₂ = 5 µf, c₃ = 6 µf, c₄ = 200 nf? Identify series and parallel parts in the combination of connection of capacitors. Derive expressions for total capacitance in series and in parallel. Their combination, labeled \(c_{\mathrm{s}}\) in. For Capacitors Connected In Series The Total Capacitance Is.
From www.coursehero.com
[Solved] The total capacitance of two 40mF seriesconnected capacitors For Capacitors Connected In Series The Total Capacitance Is The formula for calculating the series total capacitance is the same form as for calculating parallel resistances: Identify series and parallel parts in the combination of connection of capacitors. Derive expressions for total capacitance in series and in parallel. Capacitors can be arranged in two simple and common types of connections, known as series and parallel, for which we can. For Capacitors Connected In Series The Total Capacitance Is.
From www.youtube.com
Find the equivalent capacitance between points a and b for the group of For Capacitors Connected In Series The Total Capacitance Is Their combination, labeled \(c_{\mathrm{s}}\) in the figure, is in parallel with \(c_{3}\). When capacitors are connected in parallel, the total capacitance. Identify series and parallel parts in the combination of connection of capacitors. To find the total capacitance, we first identify which capacitors are in series and which are in parallel. The formula for calculating the series total capacitance is. For Capacitors Connected In Series The Total Capacitance Is.
From www.numerade.com
SOLVED Three capacitors connected in series have capacitance of 9pF For Capacitors Connected In Series The Total Capacitance Is Derive expressions for total capacitance in series and in parallel. Their combination, labeled \(c_{\mathrm{s}}\) in the figure, is in parallel with \(c_{3}\). Capacitors can be arranged in two simple and common types of connections, known as series and parallel, for which we can easily calculate. The formula for calculating the series total capacitance is the same form as for calculating. For Capacitors Connected In Series The Total Capacitance Is.