Expected Value Negative Binomial Distribution Proof . Let x x be a discrete random variable with the negative binomial distribution (first form) with parameters n n and p p. Although i can't find a concrete proof on. In probability theory and statistics, the negative binomial distribution is a discrete probability distribution that models the number of failures. I suggest totally probabilistic approach to problem. The distribution defined by the density function in (1) is known as the negative binomial distribution; Proof for the calculation of mean in negative binomial distribution. The moment generating function of a negative binomial random variable \(x\) is: In negative binomial distribution, the probability is: We know that the negative binomial distribution is actually sum of several. Let x be a discrete random variable with the binomial distribution with parameters n and p for some n ∈ n and 0 ≤ p ≤.
from www.youtube.com
The distribution defined by the density function in (1) is known as the negative binomial distribution; In probability theory and statistics, the negative binomial distribution is a discrete probability distribution that models the number of failures. I suggest totally probabilistic approach to problem. Let x be a discrete random variable with the binomial distribution with parameters n and p for some n ∈ n and 0 ≤ p ≤. Although i can't find a concrete proof on. We know that the negative binomial distribution is actually sum of several. In negative binomial distribution, the probability is: Let x x be a discrete random variable with the negative binomial distribution (first form) with parameters n n and p p. The moment generating function of a negative binomial random variable \(x\) is: Proof for the calculation of mean in negative binomial distribution.
The pgf of a negative binomial distribution YouTube
Expected Value Negative Binomial Distribution Proof Let x be a discrete random variable with the binomial distribution with parameters n and p for some n ∈ n and 0 ≤ p ≤. We know that the negative binomial distribution is actually sum of several. Let x be a discrete random variable with the binomial distribution with parameters n and p for some n ∈ n and 0 ≤ p ≤. In probability theory and statistics, the negative binomial distribution is a discrete probability distribution that models the number of failures. Proof for the calculation of mean in negative binomial distribution. Let x x be a discrete random variable with the negative binomial distribution (first form) with parameters n n and p p. In negative binomial distribution, the probability is: The moment generating function of a negative binomial random variable \(x\) is: The distribution defined by the density function in (1) is known as the negative binomial distribution; Although i can't find a concrete proof on. I suggest totally probabilistic approach to problem.
From mungfali.com
Expected Value Of Binomial Distribution Expected Value Negative Binomial Distribution Proof In negative binomial distribution, the probability is: Let x be a discrete random variable with the binomial distribution with parameters n and p for some n ∈ n and 0 ≤ p ≤. The moment generating function of a negative binomial random variable \(x\) is: Although i can't find a concrete proof on. In probability theory and statistics, the negative. Expected Value Negative Binomial Distribution Proof.
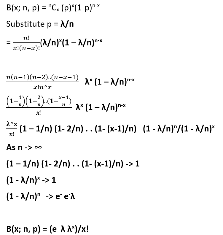
From learningmonkey.in
Proof Binomial to Poisson Distribution easy understanding 64 Expected Value Negative Binomial Distribution Proof In negative binomial distribution, the probability is: Let x be a discrete random variable with the binomial distribution with parameters n and p for some n ∈ n and 0 ≤ p ≤. In probability theory and statistics, the negative binomial distribution is a discrete probability distribution that models the number of failures. Proof for the calculation of mean in. Expected Value Negative Binomial Distribution Proof.
From www.youtube.com
Lesson 18 Negative Binomial distribution Part II YouTube Expected Value Negative Binomial Distribution Proof I suggest totally probabilistic approach to problem. We know that the negative binomial distribution is actually sum of several. Proof for the calculation of mean in negative binomial distribution. Let x be a discrete random variable with the binomial distribution with parameters n and p for some n ∈ n and 0 ≤ p ≤. Although i can't find a. Expected Value Negative Binomial Distribution Proof.
From www.youtube.com
Lesson 18 Negative Binomial Distribution Part 1 YouTube Expected Value Negative Binomial Distribution Proof We know that the negative binomial distribution is actually sum of several. Although i can't find a concrete proof on. Let x x be a discrete random variable with the negative binomial distribution (first form) with parameters n n and p p. Let x be a discrete random variable with the binomial distribution with parameters n and p for some. Expected Value Negative Binomial Distribution Proof.
From feevalue.com
how to find expected value of poisson distribution Negative binomial Expected Value Negative Binomial Distribution Proof Proof for the calculation of mean in negative binomial distribution. I suggest totally probabilistic approach to problem. In negative binomial distribution, the probability is: The moment generating function of a negative binomial random variable \(x\) is: We know that the negative binomial distribution is actually sum of several. Let x x be a discrete random variable with the negative binomial. Expected Value Negative Binomial Distribution Proof.
From mr-mathematics.com
Negative Binomial Distribution Mean and Variance Expected Value Negative Binomial Distribution Proof I suggest totally probabilistic approach to problem. We know that the negative binomial distribution is actually sum of several. In negative binomial distribution, the probability is: Let x x be a discrete random variable with the negative binomial distribution (first form) with parameters n n and p p. Let x be a discrete random variable with the binomial distribution with. Expected Value Negative Binomial Distribution Proof.
From www.youtube.com
Proof of the mean of Binomial distribution YouTube Expected Value Negative Binomial Distribution Proof Let x x be a discrete random variable with the negative binomial distribution (first form) with parameters n n and p p. Although i can't find a concrete proof on. The moment generating function of a negative binomial random variable \(x\) is: We know that the negative binomial distribution is actually sum of several. In negative binomial distribution, the probability. Expected Value Negative Binomial Distribution Proof.
From feevalue.com
how to find expected value of binomial distribution Example for Expected Value Negative Binomial Distribution Proof In negative binomial distribution, the probability is: The distribution defined by the density function in (1) is known as the negative binomial distribution; Let x x be a discrete random variable with the negative binomial distribution (first form) with parameters n n and p p. In probability theory and statistics, the negative binomial distribution is a discrete probability distribution that. Expected Value Negative Binomial Distribution Proof.
From slidetodoc.com
MOMENT GENERATING FUNCTION AND STATISTICAL DISTRIBUTIONS 1 MOMENT Expected Value Negative Binomial Distribution Proof We know that the negative binomial distribution is actually sum of several. Let x be a discrete random variable with the binomial distribution with parameters n and p for some n ∈ n and 0 ≤ p ≤. In probability theory and statistics, the negative binomial distribution is a discrete probability distribution that models the number of failures. The distribution. Expected Value Negative Binomial Distribution Proof.
From calcworkshop.com
Negative Binomial Distribution (w/ 7 Worked Examples!) Expected Value Negative Binomial Distribution Proof Although i can't find a concrete proof on. The moment generating function of a negative binomial random variable \(x\) is: In probability theory and statistics, the negative binomial distribution is a discrete probability distribution that models the number of failures. Let x x be a discrete random variable with the negative binomial distribution (first form) with parameters n n and. Expected Value Negative Binomial Distribution Proof.
From www.slideserve.com
PPT Lecture 2 PowerPoint Presentation, free download ID760008 Expected Value Negative Binomial Distribution Proof In probability theory and statistics, the negative binomial distribution is a discrete probability distribution that models the number of failures. I suggest totally probabilistic approach to problem. We know that the negative binomial distribution is actually sum of several. Let x be a discrete random variable with the binomial distribution with parameters n and p for some n ∈ n. Expected Value Negative Binomial Distribution Proof.
From www.slideserve.com
PPT The Negative Binomial Distribution PowerPoint Presentation, free Expected Value Negative Binomial Distribution Proof We know that the negative binomial distribution is actually sum of several. In negative binomial distribution, the probability is: Let x be a discrete random variable with the binomial distribution with parameters n and p for some n ∈ n and 0 ≤ p ≤. Proof for the calculation of mean in negative binomial distribution. I suggest totally probabilistic approach. Expected Value Negative Binomial Distribution Proof.
From fyoxualkq.blob.core.windows.net
How To Draw A Binomial Distribution Graph at Floyd Scott blog Expected Value Negative Binomial Distribution Proof I suggest totally probabilistic approach to problem. The moment generating function of a negative binomial random variable \(x\) is: Let x be a discrete random variable with the binomial distribution with parameters n and p for some n ∈ n and 0 ≤ p ≤. We know that the negative binomial distribution is actually sum of several. Although i can't. Expected Value Negative Binomial Distribution Proof.
From discretedistributions.blogspot.com
Negative binomial distribution Expected Value Negative Binomial Distribution Proof In probability theory and statistics, the negative binomial distribution is a discrete probability distribution that models the number of failures. We know that the negative binomial distribution is actually sum of several. Although i can't find a concrete proof on. The moment generating function of a negative binomial random variable \(x\) is: The distribution defined by the density function in. Expected Value Negative Binomial Distribution Proof.
From www.slideserve.com
PPT Negative Binomial Distribution PowerPoint Presentation, free Expected Value Negative Binomial Distribution Proof Proof for the calculation of mean in negative binomial distribution. Although i can't find a concrete proof on. In negative binomial distribution, the probability is: Let x be a discrete random variable with the binomial distribution with parameters n and p for some n ∈ n and 0 ≤ p ≤. I suggest totally probabilistic approach to problem. We know. Expected Value Negative Binomial Distribution Proof.
From calcworkshop.com
Binomial Distribution (Fully Explained w/ 11 Examples!) Expected Value Negative Binomial Distribution Proof The moment generating function of a negative binomial random variable \(x\) is: We know that the negative binomial distribution is actually sum of several. In probability theory and statistics, the negative binomial distribution is a discrete probability distribution that models the number of failures. Proof for the calculation of mean in negative binomial distribution. The distribution defined by the density. Expected Value Negative Binomial Distribution Proof.
From www.youtube.com
Expected Value and Variance of Binomial Distribution YouTube Expected Value Negative Binomial Distribution Proof Let x x be a discrete random variable with the negative binomial distribution (first form) with parameters n n and p p. Let x be a discrete random variable with the binomial distribution with parameters n and p for some n ∈ n and 0 ≤ p ≤. Proof for the calculation of mean in negative binomial distribution. In probability. Expected Value Negative Binomial Distribution Proof.
From www.slideserve.com
PPT Discrete Random Variables and Probability Distributions Expected Value Negative Binomial Distribution Proof In negative binomial distribution, the probability is: In probability theory and statistics, the negative binomial distribution is a discrete probability distribution that models the number of failures. Let x be a discrete random variable with the binomial distribution with parameters n and p for some n ∈ n and 0 ≤ p ≤. The distribution defined by the density function. Expected Value Negative Binomial Distribution Proof.
From www.youtube.com
Proof Summation of PMF of Negative Binomial Distribution is equal to 1 Expected Value Negative Binomial Distribution Proof The moment generating function of a negative binomial random variable \(x\) is: I suggest totally probabilistic approach to problem. Let x be a discrete random variable with the binomial distribution with parameters n and p for some n ∈ n and 0 ≤ p ≤. We know that the negative binomial distribution is actually sum of several. The distribution defined. Expected Value Negative Binomial Distribution Proof.
From www.youtube.com
The pgf of a negative binomial distribution YouTube Expected Value Negative Binomial Distribution Proof Proof for the calculation of mean in negative binomial distribution. Let x x be a discrete random variable with the negative binomial distribution (first form) with parameters n n and p p. The moment generating function of a negative binomial random variable \(x\) is: In negative binomial distribution, the probability is: We know that the negative binomial distribution is actually. Expected Value Negative Binomial Distribution Proof.
From calcworkshop.com
Negative Binomial Distribution (w/ 7 Worked Examples!) Expected Value Negative Binomial Distribution Proof The distribution defined by the density function in (1) is known as the negative binomial distribution; The moment generating function of a negative binomial random variable \(x\) is: I suggest totally probabilistic approach to problem. Although i can't find a concrete proof on. Let x x be a discrete random variable with the negative binomial distribution (first form) with parameters. Expected Value Negative Binomial Distribution Proof.
From www.youtube.com
Binomial Probability Distribution Expected Value Mean Variance Test Expected Value Negative Binomial Distribution Proof In negative binomial distribution, the probability is: Let x x be a discrete random variable with the negative binomial distribution (first form) with parameters n n and p p. The distribution defined by the density function in (1) is known as the negative binomial distribution; In probability theory and statistics, the negative binomial distribution is a discrete probability distribution that. Expected Value Negative Binomial Distribution Proof.
From www.slideserve.com
PPT Discrete Probability Distributions PowerPoint Presentation, free Expected Value Negative Binomial Distribution Proof In negative binomial distribution, the probability is: The moment generating function of a negative binomial random variable \(x\) is: In probability theory and statistics, the negative binomial distribution is a discrete probability distribution that models the number of failures. Let x be a discrete random variable with the binomial distribution with parameters n and p for some n ∈ n. Expected Value Negative Binomial Distribution Proof.
From calcworkshop.com
Negative Binomial Distribution (w/ 7 Worked Examples!) Expected Value Negative Binomial Distribution Proof Proof for the calculation of mean in negative binomial distribution. We know that the negative binomial distribution is actually sum of several. The moment generating function of a negative binomial random variable \(x\) is: Let x x be a discrete random variable with the negative binomial distribution (first form) with parameters n n and p p. Let x be a. Expected Value Negative Binomial Distribution Proof.
From www.youtube.com
HKDSE 2014 Maths M1 Q13 Poisson, Binomial, Negative Binomial Expected Value Negative Binomial Distribution Proof Proof for the calculation of mean in negative binomial distribution. The distribution defined by the density function in (1) is known as the negative binomial distribution; I suggest totally probabilistic approach to problem. Let x be a discrete random variable with the binomial distribution with parameters n and p for some n ∈ n and 0 ≤ p ≤. In. Expected Value Negative Binomial Distribution Proof.
From www.slideserve.com
PPT The Negative Binomial Distribution PowerPoint Presentation, free Expected Value Negative Binomial Distribution Proof Proof for the calculation of mean in negative binomial distribution. Let x x be a discrete random variable with the negative binomial distribution (first form) with parameters n n and p p. The moment generating function of a negative binomial random variable \(x\) is: I suggest totally probabilistic approach to problem. Let x be a discrete random variable with the. Expected Value Negative Binomial Distribution Proof.
From www.youtube.com
Introduction to the Negative Binomial Distribution YouTube Expected Value Negative Binomial Distribution Proof The moment generating function of a negative binomial random variable \(x\) is: I suggest totally probabilistic approach to problem. Let x be a discrete random variable with the binomial distribution with parameters n and p for some n ∈ n and 0 ≤ p ≤. In negative binomial distribution, the probability is: Proof for the calculation of mean in negative. Expected Value Negative Binomial Distribution Proof.
From www.researchgate.net
(PDF) Proof of Mean and variance for some of the Discrete Distribution Expected Value Negative Binomial Distribution Proof Let x be a discrete random variable with the binomial distribution with parameters n and p for some n ∈ n and 0 ≤ p ≤. In negative binomial distribution, the probability is: Proof for the calculation of mean in negative binomial distribution. We know that the negative binomial distribution is actually sum of several. The moment generating function of. Expected Value Negative Binomial Distribution Proof.
From www.statisticalaid.com
Negative Binomial Distribution definition, properties with applications Expected Value Negative Binomial Distribution Proof Although i can't find a concrete proof on. In probability theory and statistics, the negative binomial distribution is a discrete probability distribution that models the number of failures. Let x x be a discrete random variable with the negative binomial distribution (first form) with parameters n n and p p. The moment generating function of a negative binomial random variable. Expected Value Negative Binomial Distribution Proof.
From www.youtube.com
Mean and Variance Negative Binomial Distribution YouTube Expected Value Negative Binomial Distribution Proof Although i can't find a concrete proof on. Let x be a discrete random variable with the binomial distribution with parameters n and p for some n ∈ n and 0 ≤ p ≤. The distribution defined by the density function in (1) is known as the negative binomial distribution; I suggest totally probabilistic approach to problem. We know that. Expected Value Negative Binomial Distribution Proof.
From calcworkshop.com
Binomial Distribution (Fully Explained w/ 11 Examples!) Expected Value Negative Binomial Distribution Proof Let x be a discrete random variable with the binomial distribution with parameters n and p for some n ∈ n and 0 ≤ p ≤. Proof for the calculation of mean in negative binomial distribution. The moment generating function of a negative binomial random variable \(x\) is: Although i can't find a concrete proof on. The distribution defined by. Expected Value Negative Binomial Distribution Proof.
From www.solutionspile.com
[Solved] Formulas for Binomial Distribution's PMF, CDF Expected Value Negative Binomial Distribution Proof Let x be a discrete random variable with the binomial distribution with parameters n and p for some n ∈ n and 0 ≤ p ≤. The moment generating function of a negative binomial random variable \(x\) is: The distribution defined by the density function in (1) is known as the negative binomial distribution; I suggest totally probabilistic approach to. Expected Value Negative Binomial Distribution Proof.
From www.youtube.com
Proof Summation of PMF of Binomial Distribution = 1 (English) YouTube Expected Value Negative Binomial Distribution Proof Proof for the calculation of mean in negative binomial distribution. The moment generating function of a negative binomial random variable \(x\) is: I suggest totally probabilistic approach to problem. We know that the negative binomial distribution is actually sum of several. Although i can't find a concrete proof on. The distribution defined by the density function in (1) is known. Expected Value Negative Binomial Distribution Proof.
From www.youtube.com
Proof of Expected Value for the Binomial Distribution YouTube Expected Value Negative Binomial Distribution Proof Let x be a discrete random variable with the binomial distribution with parameters n and p for some n ∈ n and 0 ≤ p ≤. We know that the negative binomial distribution is actually sum of several. In probability theory and statistics, the negative binomial distribution is a discrete probability distribution that models the number of failures. Although i. Expected Value Negative Binomial Distribution Proof.
From youtube.com
The Binomial Distribution Mathematically Deriving the Mean and Expected Value Negative Binomial Distribution Proof The moment generating function of a negative binomial random variable \(x\) is: We know that the negative binomial distribution is actually sum of several. Proof for the calculation of mean in negative binomial distribution. In negative binomial distribution, the probability is: I suggest totally probabilistic approach to problem. Let x be a discrete random variable with the binomial distribution with. Expected Value Negative Binomial Distribution Proof.