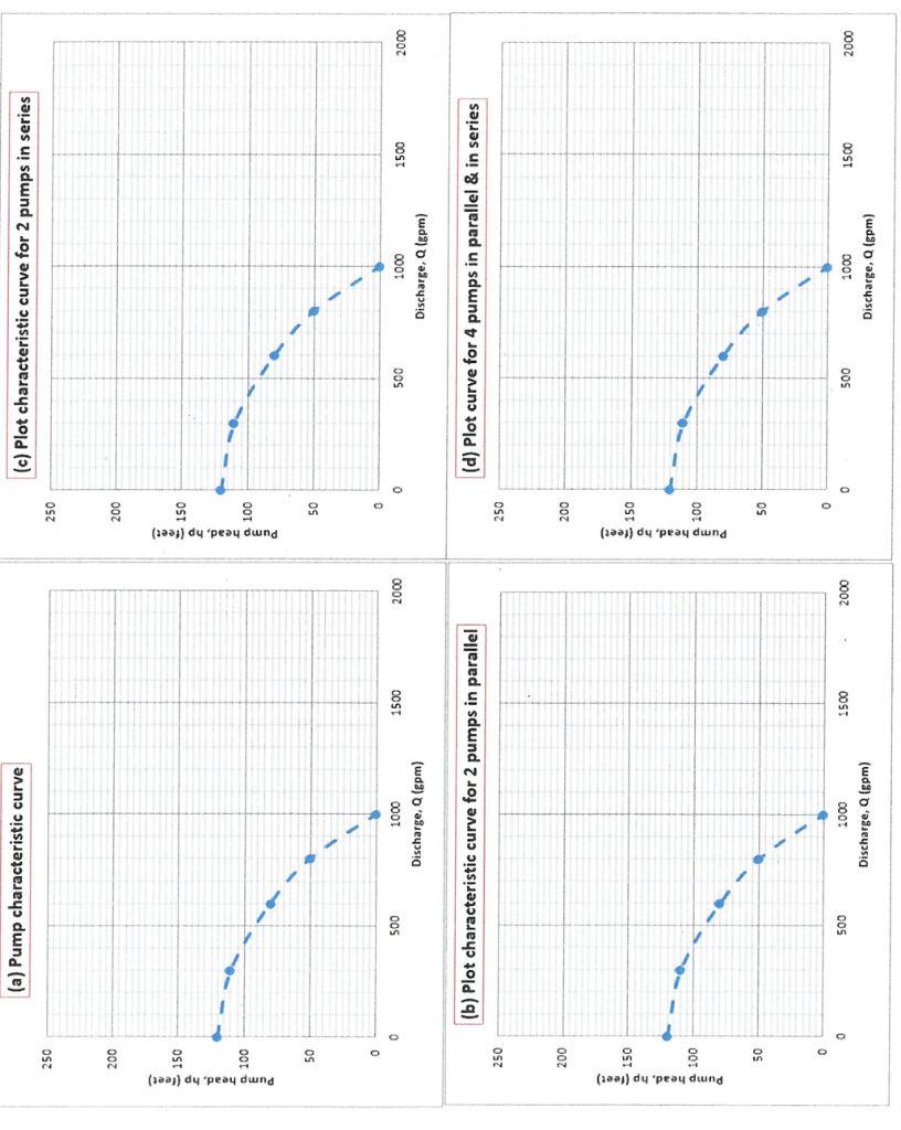
Installing Pumps In Series . When two (or more) pumps are arranged in serial their resulting pump performance curve is obtained by adding their heads at the same flow. Our team share their knowledge on setting up and operating a. Putting your centrifugal pumps in series, or connected. • lower installation cost • increased redundancy • easier maintenance, • lower operating cost, and • significant energy savings. Did you know it is possible to install pumps either in series or parallel to increase the flow rate or increase the head pressure? Centrifugal pumps work by using a rotating impeller to increase the velocity of a liquid and discharge it out of the pump housing. The purpose of pumps operating in. The term pumping in series means that 1 pump acts as a booster to feed another pump. Pumps are often installed in parallel in systems which exhibit considerable variations in flow or when the system has variable flow requirements and when. They have advantages like being simple, compact,.
from tapflo.rs
• lower installation cost • increased redundancy • easier maintenance, • lower operating cost, and • significant energy savings. The purpose of pumps operating in. When two (or more) pumps are arranged in serial their resulting pump performance curve is obtained by adding their heads at the same flow. Our team share their knowledge on setting up and operating a. Pumps are often installed in parallel in systems which exhibit considerable variations in flow or when the system has variable flow requirements and when. They have advantages like being simple, compact,. Centrifugal pumps work by using a rotating impeller to increase the velocity of a liquid and discharge it out of the pump housing. The term pumping in series means that 1 pump acts as a booster to feed another pump. Putting your centrifugal pumps in series, or connected. Did you know it is possible to install pumps either in series or parallel to increase the flow rate or increase the head pressure?
SB Serija Pumpa za odvodnjavanje
Installing Pumps In Series Putting your centrifugal pumps in series, or connected. Putting your centrifugal pumps in series, or connected. When two (or more) pumps are arranged in serial their resulting pump performance curve is obtained by adding their heads at the same flow. Pumps are often installed in parallel in systems which exhibit considerable variations in flow or when the system has variable flow requirements and when. The purpose of pumps operating in. They have advantages like being simple, compact,. The term pumping in series means that 1 pump acts as a booster to feed another pump. • lower installation cost • increased redundancy • easier maintenance, • lower operating cost, and • significant energy savings. Our team share their knowledge on setting up and operating a. Did you know it is possible to install pumps either in series or parallel to increase the flow rate or increase the head pressure? Centrifugal pumps work by using a rotating impeller to increase the velocity of a liquid and discharge it out of the pump housing.
From www.youtube.com
Little Giant VCMA Condensate Pump Installation YouTube Installing Pumps In Series Our team share their knowledge on setting up and operating a. When two (or more) pumps are arranged in serial their resulting pump performance curve is obtained by adding their heads at the same flow. Pumps are often installed in parallel in systems which exhibit considerable variations in flow or when the system has variable flow requirements and when. The. Installing Pumps In Series.
From www.ter-en.com
Series and parallel installation scheme of pumps Installing Pumps In Series The purpose of pumps operating in. When two (or more) pumps are arranged in serial their resulting pump performance curve is obtained by adding their heads at the same flow. Putting your centrifugal pumps in series, or connected. Did you know it is possible to install pumps either in series or parallel to increase the flow rate or increase the. Installing Pumps In Series.
From circuitstrebwerknc.z14.web.core.windows.net
Sump Pump Plumbing Diagram Installing Pumps In Series Centrifugal pumps work by using a rotating impeller to increase the velocity of a liquid and discharge it out of the pump housing. • lower installation cost • increased redundancy • easier maintenance, • lower operating cost, and • significant energy savings. The term pumping in series means that 1 pump acts as a booster to feed another pump. Did. Installing Pumps In Series.
From www.sintechpumps.com
Guide for Installing Centrifugal Pumps Sintech Pumps Installing Pumps In Series They have advantages like being simple, compact,. • lower installation cost • increased redundancy • easier maintenance, • lower operating cost, and • significant energy savings. Pumps are often installed in parallel in systems which exhibit considerable variations in flow or when the system has variable flow requirements and when. The purpose of pumps operating in. Putting your centrifugal pumps. Installing Pumps In Series.
From www.rx8club.com
DIY Installing Series II Fuel Pump in Series I Page 2 Installing Pumps In Series The purpose of pumps operating in. Did you know it is possible to install pumps either in series or parallel to increase the flow rate or increase the head pressure? The term pumping in series means that 1 pump acts as a booster to feed another pump. • lower installation cost • increased redundancy • easier maintenance, • lower operating. Installing Pumps In Series.
From plumbinghelp.com
Types Of Pumps Plumbing Help Installing Pumps In Series They have advantages like being simple, compact,. Our team share their knowledge on setting up and operating a. • lower installation cost • increased redundancy • easier maintenance, • lower operating cost, and • significant energy savings. Pumps are often installed in parallel in systems which exhibit considerable variations in flow or when the system has variable flow requirements and. Installing Pumps In Series.
From forum.heatinghelp.com
Pumps in series — Heating Help The Wall Installing Pumps In Series • lower installation cost • increased redundancy • easier maintenance, • lower operating cost, and • significant energy savings. Putting your centrifugal pumps in series, or connected. Centrifugal pumps work by using a rotating impeller to increase the velocity of a liquid and discharge it out of the pump housing. Did you know it is possible to install pumps either. Installing Pumps In Series.
From www.youtube.com
Parallel vs Series Pumps / Applied Fluid Dynamics Class 056 YouTube Installing Pumps In Series • lower installation cost • increased redundancy • easier maintenance, • lower operating cost, and • significant energy savings. Putting your centrifugal pumps in series, or connected. Our team share their knowledge on setting up and operating a. Pumps are often installed in parallel in systems which exhibit considerable variations in flow or when the system has variable flow requirements. Installing Pumps In Series.
From schematicyednep.z21.web.core.windows.net
Wiring A Pump Inside A Cistern Installing Pumps In Series They have advantages like being simple, compact,. The purpose of pumps operating in. Our team share their knowledge on setting up and operating a. Pumps are often installed in parallel in systems which exhibit considerable variations in flow or when the system has variable flow requirements and when. • lower installation cost • increased redundancy • easier maintenance, • lower. Installing Pumps In Series.
From www.agric.wa.gov.au
Pump selection for irrigated agriculture Agriculture and Food Installing Pumps In Series Did you know it is possible to install pumps either in series or parallel to increase the flow rate or increase the head pressure? Our team share their knowledge on setting up and operating a. The purpose of pumps operating in. When two (or more) pumps are arranged in serial their resulting pump performance curve is obtained by adding their. Installing Pumps In Series.
From tapflo.rs
SB Serija Pumpa za odvodnjavanje Installing Pumps In Series Our team share their knowledge on setting up and operating a. Pumps are often installed in parallel in systems which exhibit considerable variations in flow or when the system has variable flow requirements and when. Putting your centrifugal pumps in series, or connected. The term pumping in series means that 1 pump acts as a booster to feed another pump.. Installing Pumps In Series.
From schematicloareevapbf.z21.web.core.windows.net
Installing Submersible Pump In Dug Well Installing Pumps In Series Pumps are often installed in parallel in systems which exhibit considerable variations in flow or when the system has variable flow requirements and when. The term pumping in series means that 1 pump acts as a booster to feed another pump. Putting your centrifugal pumps in series, or connected. Centrifugal pumps work by using a rotating impeller to increase the. Installing Pumps In Series.
From www.youtube.com
PUMP IN SERIES AND PARALLEL PUMPS CURVES COMBINATION OF PUMPS IN Installing Pumps In Series The term pumping in series means that 1 pump acts as a booster to feed another pump. Putting your centrifugal pumps in series, or connected. Pumps are often installed in parallel in systems which exhibit considerable variations in flow or when the system has variable flow requirements and when. • lower installation cost • increased redundancy • easier maintenance, •. Installing Pumps In Series.
From www.rx8club.com
DIY Installing Series II Fuel Pump in Series I Page 2 Installing Pumps In Series Centrifugal pumps work by using a rotating impeller to increase the velocity of a liquid and discharge it out of the pump housing. When two (or more) pumps are arranged in serial their resulting pump performance curve is obtained by adding their heads at the same flow. They have advantages like being simple, compact,. Our team share their knowledge on. Installing Pumps In Series.
From www.rx8club.com
DIY Installing Series II Fuel Pump in Series I Page 4 Installing Pumps In Series The term pumping in series means that 1 pump acts as a booster to feed another pump. When two (or more) pumps are arranged in serial their resulting pump performance curve is obtained by adding their heads at the same flow. Did you know it is possible to install pumps either in series or parallel to increase the flow rate. Installing Pumps In Series.
From electrical-engineering-portal.com
The essentials of pumping, pump speed and flow rate control that Installing Pumps In Series Putting your centrifugal pumps in series, or connected. When two (or more) pumps are arranged in serial their resulting pump performance curve is obtained by adding their heads at the same flow. Our team share their knowledge on setting up and operating a. • lower installation cost • increased redundancy • easier maintenance, • lower operating cost, and • significant. Installing Pumps In Series.
From exoqgixfj.blob.core.windows.net
How Does A Hot Water Recirculating Valve Work at Margarita Robinson blog Installing Pumps In Series Our team share their knowledge on setting up and operating a. Centrifugal pumps work by using a rotating impeller to increase the velocity of a liquid and discharge it out of the pump housing. They have advantages like being simple, compact,. The term pumping in series means that 1 pump acts as a booster to feed another pump. Putting your. Installing Pumps In Series.
From elitepumps.net
What is Impeller Balancing? Centrifugal Pump Maintenance Installing Pumps In Series When two (or more) pumps are arranged in serial their resulting pump performance curve is obtained by adding their heads at the same flow. Centrifugal pumps work by using a rotating impeller to increase the velocity of a liquid and discharge it out of the pump housing. Putting your centrifugal pumps in series, or connected. Our team share their knowledge. Installing Pumps In Series.
From www.youtube.com
[HINDI] PUMP IN SERIES PUMP IN PARALLEL PUMP CONNECTION & IT`S Installing Pumps In Series Centrifugal pumps work by using a rotating impeller to increase the velocity of a liquid and discharge it out of the pump housing. They have advantages like being simple, compact,. Did you know it is possible to install pumps either in series or parallel to increase the flow rate or increase the head pressure? Our team share their knowledge on. Installing Pumps In Series.
From precisionmotorrepair.com
Submersible Pumps and Keeping Your Basement Dry Installing Pumps In Series When two (or more) pumps are arranged in serial their resulting pump performance curve is obtained by adding their heads at the same flow. Our team share their knowledge on setting up and operating a. The term pumping in series means that 1 pump acts as a booster to feed another pump. Did you know it is possible to install. Installing Pumps In Series.
From www.youtube.com
Pumps in series and parallel Pumps in series Pumps in parallel Installing Pumps In Series They have advantages like being simple, compact,. • lower installation cost • increased redundancy • easier maintenance, • lower operating cost, and • significant energy savings. Centrifugal pumps work by using a rotating impeller to increase the velocity of a liquid and discharge it out of the pump housing. Did you know it is possible to install pumps either in. Installing Pumps In Series.
From www.chegg.com
Solved Problem 4 Pumps in parallel and in series A pump has Installing Pumps In Series • lower installation cost • increased redundancy • easier maintenance, • lower operating cost, and • significant energy savings. Putting your centrifugal pumps in series, or connected. Our team share their knowledge on setting up and operating a. The purpose of pumps operating in. Pumps are often installed in parallel in systems which exhibit considerable variations in flow or when. Installing Pumps In Series.
From www.youtube.com
PreInstallation Tutorial for NM Series End Suction Centrifugal Pumps Installing Pumps In Series The term pumping in series means that 1 pump acts as a booster to feed another pump. They have advantages like being simple, compact,. Pumps are often installed in parallel in systems which exhibit considerable variations in flow or when the system has variable flow requirements and when. Our team share their knowledge on setting up and operating a. Did. Installing Pumps In Series.
From arvengtraining.com
Fundamentals of centrifugal pumps Arveng Training & Engineering Installing Pumps In Series The term pumping in series means that 1 pump acts as a booster to feed another pump. They have advantages like being simple, compact,. Putting your centrifugal pumps in series, or connected. • lower installation cost • increased redundancy • easier maintenance, • lower operating cost, and • significant energy savings. The purpose of pumps operating in. Did you know. Installing Pumps In Series.
From virginbores.com.au
installing pump Virgin Bores Installing Pumps In Series The term pumping in series means that 1 pump acts as a booster to feed another pump. Did you know it is possible to install pumps either in series or parallel to increase the flow rate or increase the head pressure? When two (or more) pumps are arranged in serial their resulting pump performance curve is obtained by adding their. Installing Pumps In Series.
From www.rx8club.com
DIY Installing Series II Fuel Pump in Series I Page 2 Installing Pumps In Series The term pumping in series means that 1 pump acts as a booster to feed another pump. Pumps are often installed in parallel in systems which exhibit considerable variations in flow or when the system has variable flow requirements and when. Putting your centrifugal pumps in series, or connected. Centrifugal pumps work by using a rotating impeller to increase the. Installing Pumps In Series.
From adriefym993.weebly.com
Download Pumps In Parallel Or Serial Connection free adriefym Installing Pumps In Series Centrifugal pumps work by using a rotating impeller to increase the velocity of a liquid and discharge it out of the pump housing. They have advantages like being simple, compact,. The purpose of pumps operating in. Pumps are often installed in parallel in systems which exhibit considerable variations in flow or when the system has variable flow requirements and when.. Installing Pumps In Series.
From www.studypool.com
SOLUTION Characteristics of single pump pumps in series and pumps in Installing Pumps In Series Putting your centrifugal pumps in series, or connected. When two (or more) pumps are arranged in serial their resulting pump performance curve is obtained by adding their heads at the same flow. The term pumping in series means that 1 pump acts as a booster to feed another pump. They have advantages like being simple, compact,. The purpose of pumps. Installing Pumps In Series.
From www.youtube.com
Pump Chart Basics Explained Pump curve HVACR YouTube Installing Pumps In Series Centrifugal pumps work by using a rotating impeller to increase the velocity of a liquid and discharge it out of the pump housing. Did you know it is possible to install pumps either in series or parallel to increase the flow rate or increase the head pressure? • lower installation cost • increased redundancy • easier maintenance, • lower operating. Installing Pumps In Series.
From www.chegg.com
Solved Determine the operating point (discharge and head) Installing Pumps In Series The purpose of pumps operating in. The term pumping in series means that 1 pump acts as a booster to feed another pump. Our team share their knowledge on setting up and operating a. Pumps are often installed in parallel in systems which exhibit considerable variations in flow or when the system has variable flow requirements and when. Centrifugal pumps. Installing Pumps In Series.
From www.youtube.com
Combining Pumps in Series and Parallel YouTube Installing Pumps In Series Our team share their knowledge on setting up and operating a. They have advantages like being simple, compact,. When two (or more) pumps are arranged in serial their resulting pump performance curve is obtained by adding their heads at the same flow. The purpose of pumps operating in. Centrifugal pumps work by using a rotating impeller to increase the velocity. Installing Pumps In Series.
From www.adventurousway.com
Well Install Part 2 Pump Installation Adventurous Way Installing Pumps In Series They have advantages like being simple, compact,. Our team share their knowledge on setting up and operating a. Centrifugal pumps work by using a rotating impeller to increase the velocity of a liquid and discharge it out of the pump housing. Putting your centrifugal pumps in series, or connected. Pumps are often installed in parallel in systems which exhibit considerable. Installing Pumps In Series.
From angroupcn.com
Centrifugal water pump installation and use guide An Pump Machinery Installing Pumps In Series Centrifugal pumps work by using a rotating impeller to increase the velocity of a liquid and discharge it out of the pump housing. Our team share their knowledge on setting up and operating a. Did you know it is possible to install pumps either in series or parallel to increase the flow rate or increase the head pressure? • lower. Installing Pumps In Series.
From www.youtube.com
How to Install Submersible Water Pump by Yourself? YouTube Installing Pumps In Series The term pumping in series means that 1 pump acts as a booster to feed another pump. Putting your centrifugal pumps in series, or connected. The purpose of pumps operating in. They have advantages like being simple, compact,. Our team share their knowledge on setting up and operating a. When two (or more) pumps are arranged in serial their resulting. Installing Pumps In Series.
From www.studypool.com
SOLUTION Characteristics of single pump pumps in series and pumps in Installing Pumps In Series They have advantages like being simple, compact,. Putting your centrifugal pumps in series, or connected. • lower installation cost • increased redundancy • easier maintenance, • lower operating cost, and • significant energy savings. Centrifugal pumps work by using a rotating impeller to increase the velocity of a liquid and discharge it out of the pump housing. The term pumping. Installing Pumps In Series.