Hammer And Nail Kinetic . The collision between a hammer and a nail can be considered to be approximately elastic. The mechanical energy of a hammer gives the hammer its ability to apply a force to a nail in order to cause it to be displaced. The problem is solved by equating work done on nail by the wall |fx| with the hammer's kinetic energy (mv 2)/2. Find the impulse between the hammer and nail. When the hammer strikes the nail, the kinetic energy of the hammer converts into the internal energy. Estimate the kinetic energy acquired by. The kinetic energy of a hammer of mass $m$ ans speed $v$ is equal to the work done by the resistance force , $f_r$ the nail. The kinetic energy of the hammer decreases from e to zero because the nail exerts an equal and opposite force f on the hammer. The nail, however, absorbs only a given.
from lawofthermodynamicsinfo.com
The kinetic energy of the hammer decreases from e to zero because the nail exerts an equal and opposite force f on the hammer. The kinetic energy of a hammer of mass $m$ ans speed $v$ is equal to the work done by the resistance force , $f_r$ the nail. The mechanical energy of a hammer gives the hammer its ability to apply a force to a nail in order to cause it to be displaced. When the hammer strikes the nail, the kinetic energy of the hammer converts into the internal energy. The nail, however, absorbs only a given. The problem is solved by equating work done on nail by the wall |fx| with the hammer's kinetic energy (mv 2)/2. Find the impulse between the hammer and nail. The collision between a hammer and a nail can be considered to be approximately elastic. Estimate the kinetic energy acquired by.
What Is Thermodynamics? (35+ Topics With Definitions) [Fast]
Hammer And Nail Kinetic The problem is solved by equating work done on nail by the wall |fx| with the hammer's kinetic energy (mv 2)/2. The collision between a hammer and a nail can be considered to be approximately elastic. When the hammer strikes the nail, the kinetic energy of the hammer converts into the internal energy. The kinetic energy of the hammer decreases from e to zero because the nail exerts an equal and opposite force f on the hammer. The problem is solved by equating work done on nail by the wall |fx| with the hammer's kinetic energy (mv 2)/2. The mechanical energy of a hammer gives the hammer its ability to apply a force to a nail in order to cause it to be displaced. Estimate the kinetic energy acquired by. Find the impulse between the hammer and nail. The nail, however, absorbs only a given. The kinetic energy of a hammer of mass $m$ ans speed $v$ is equal to the work done by the resistance force , $f_r$ the nail.
From www.chegg.com
Solved The collision between a hammer and a nail can be Hammer And Nail Kinetic The mechanical energy of a hammer gives the hammer its ability to apply a force to a nail in order to cause it to be displaced. Estimate the kinetic energy acquired by. Find the impulse between the hammer and nail. The collision between a hammer and a nail can be considered to be approximately elastic. The nail, however, absorbs only. Hammer And Nail Kinetic.
From lawofthermodynamicsinfo.com
What Is Thermodynamics? (35+ Topics With Definitions) [Fast] Hammer And Nail Kinetic When the hammer strikes the nail, the kinetic energy of the hammer converts into the internal energy. The nail, however, absorbs only a given. The collision between a hammer and a nail can be considered to be approximately elastic. Estimate the kinetic energy acquired by. The problem is solved by equating work done on nail by the wall |fx| with. Hammer And Nail Kinetic.
From dreamstime.com
Hammering In A Nail Royalty Free Stock Image Image 26861986 Hammer And Nail Kinetic The nail, however, absorbs only a given. The mechanical energy of a hammer gives the hammer its ability to apply a force to a nail in order to cause it to be displaced. The kinetic energy of the hammer decreases from e to zero because the nail exerts an equal and opposite force f on the hammer. The kinetic energy. Hammer And Nail Kinetic.
From dissolve.com
Close up of hammer and nails Stock Photo Dissolve Hammer And Nail Kinetic The collision between a hammer and a nail can be considered to be approximately elastic. The mechanical energy of a hammer gives the hammer its ability to apply a force to a nail in order to cause it to be displaced. The problem is solved by equating work done on nail by the wall |fx| with the hammer's kinetic energy. Hammer And Nail Kinetic.
From www.publicdomainpictures.net
Hammer And Nail Free Stock Photo Public Domain Pictures Hammer And Nail Kinetic The kinetic energy of the hammer decreases from e to zero because the nail exerts an equal and opposite force f on the hammer. The kinetic energy of a hammer of mass $m$ ans speed $v$ is equal to the work done by the resistance force , $f_r$ the nail. Find the impulse between the hammer and nail. The collision. Hammer And Nail Kinetic.
From www.chegg.com
Solved The collision between a hammer and a nail can be Hammer And Nail Kinetic The nail, however, absorbs only a given. The problem is solved by equating work done on nail by the wall |fx| with the hammer's kinetic energy (mv 2)/2. Estimate the kinetic energy acquired by. The collision between a hammer and a nail can be considered to be approximately elastic. The kinetic energy of a hammer of mass $m$ ans speed. Hammer And Nail Kinetic.
From giphy.com
Hammer And Nail GIFs Get the best GIF on GIPHY Hammer And Nail Kinetic The collision between a hammer and a nail can be considered to be approximately elastic. The kinetic energy of the hammer decreases from e to zero because the nail exerts an equal and opposite force f on the hammer. The mechanical energy of a hammer gives the hammer its ability to apply a force to a nail in order to. Hammer And Nail Kinetic.
From www.thespruce.com
Hammering Nails 101 Tips for Good Technique Hammer And Nail Kinetic The kinetic energy of the hammer decreases from e to zero because the nail exerts an equal and opposite force f on the hammer. The nail, however, absorbs only a given. Estimate the kinetic energy acquired by. When the hammer strikes the nail, the kinetic energy of the hammer converts into the internal energy. The kinetic energy of a hammer. Hammer And Nail Kinetic.
From www.numerade.com
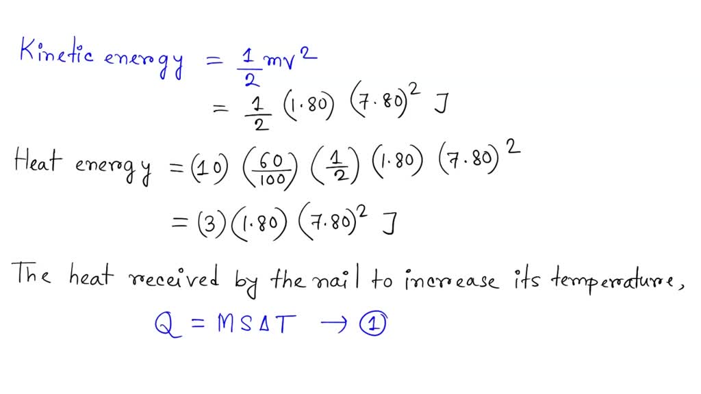
SOLVED A nail driven into a board increases in temperature. If we Hammer And Nail Kinetic The nail, however, absorbs only a given. The collision between a hammer and a nail can be considered to be approximately elastic. When the hammer strikes the nail, the kinetic energy of the hammer converts into the internal energy. The problem is solved by equating work done on nail by the wall |fx| with the hammer's kinetic energy (mv 2)/2.. Hammer And Nail Kinetic.
From www.alamy.com
Hammer and nail, illustration, vector on white background Stock Vector Hammer And Nail Kinetic The kinetic energy of the hammer decreases from e to zero because the nail exerts an equal and opposite force f on the hammer. The mechanical energy of a hammer gives the hammer its ability to apply a force to a nail in order to cause it to be displaced. The collision between a hammer and a nail can be. Hammer And Nail Kinetic.
From www.sciencefacts.net
Energy Definition, Formula, Examples, & Pictures Hammer And Nail Kinetic The kinetic energy of the hammer decreases from e to zero because the nail exerts an equal and opposite force f on the hammer. Estimate the kinetic energy acquired by. The problem is solved by equating work done on nail by the wall |fx| with the hammer's kinetic energy (mv 2)/2. The collision between a hammer and a nail can. Hammer And Nail Kinetic.
From www.therickiereport.com
2023 International Biennial Kicks Off Friday, January 27 Hammer And Nail Kinetic The mechanical energy of a hammer gives the hammer its ability to apply a force to a nail in order to cause it to be displaced. Find the impulse between the hammer and nail. The collision between a hammer and a nail can be considered to be approximately elastic. Estimate the kinetic energy acquired by. The kinetic energy of a. Hammer And Nail Kinetic.
From www.pinterest.com
customs tools in 2022 Framing hammer, Handmade Hammer And Nail Kinetic The nail, however, absorbs only a given. The mechanical energy of a hammer gives the hammer its ability to apply a force to a nail in order to cause it to be displaced. Find the impulse between the hammer and nail. The kinetic energy of the hammer decreases from e to zero because the nail exerts an equal and opposite. Hammer And Nail Kinetic.
From stock.adobe.com
Potential, energy. Two main types of mechanical energy are Hammer And Nail Kinetic The mechanical energy of a hammer gives the hammer its ability to apply a force to a nail in order to cause it to be displaced. The problem is solved by equating work done on nail by the wall |fx| with the hammer's kinetic energy (mv 2)/2. The nail, however, absorbs only a given. The collision between a hammer and. Hammer And Nail Kinetic.
From www.alamy.com
Hammer and nails Stock Photo Alamy Hammer And Nail Kinetic When the hammer strikes the nail, the kinetic energy of the hammer converts into the internal energy. The nail, however, absorbs only a given. The mechanical energy of a hammer gives the hammer its ability to apply a force to a nail in order to cause it to be displaced. The kinetic energy of a hammer of mass $m$ ans. Hammer And Nail Kinetic.
From www.youtube.com
DIY How to Make Rainbow Sand Hammer Nailing Learn Colors for Hammer And Nail Kinetic The kinetic energy of the hammer decreases from e to zero because the nail exerts an equal and opposite force f on the hammer. When the hammer strikes the nail, the kinetic energy of the hammer converts into the internal energy. Estimate the kinetic energy acquired by. The problem is solved by equating work done on nail by the wall. Hammer And Nail Kinetic.
From www.alamy.com
hand with hammer and nail vector illustration design Stock Vector Image Hammer And Nail Kinetic The problem is solved by equating work done on nail by the wall |fx| with the hammer's kinetic energy (mv 2)/2. The collision between a hammer and a nail can be considered to be approximately elastic. Find the impulse between the hammer and nail. Estimate the kinetic energy acquired by. The kinetic energy of the hammer decreases from e to. Hammer And Nail Kinetic.
From www.alamy.com
Hammer and nails on white background, isolated. 3D rendering Stock Hammer And Nail Kinetic Find the impulse between the hammer and nail. The collision between a hammer and a nail can be considered to be approximately elastic. The mechanical energy of a hammer gives the hammer its ability to apply a force to a nail in order to cause it to be displaced. The nail, however, absorbs only a given. The kinetic energy of. Hammer And Nail Kinetic.
From www.vecteezy.com
3D Rendering Hammer And Nails 27226176 PNG Hammer And Nail Kinetic The nail, however, absorbs only a given. The problem is solved by equating work done on nail by the wall |fx| with the hammer's kinetic energy (mv 2)/2. Find the impulse between the hammer and nail. The collision between a hammer and a nail can be considered to be approximately elastic. The mechanical energy of a hammer gives the hammer. Hammer And Nail Kinetic.
From www.youtube.com
How To Hammer A Nail ProperlyTutorial For Using A Hammer YouTube Hammer And Nail Kinetic The kinetic energy of a hammer of mass $m$ ans speed $v$ is equal to the work done by the resistance force , $f_r$ the nail. The problem is solved by equating work done on nail by the wall |fx| with the hammer's kinetic energy (mv 2)/2. The kinetic energy of the hammer decreases from e to zero because the. Hammer And Nail Kinetic.
From www.youtube.com
5.1a Ex2 ON20 P12 Q17 Hammer Nail AS Work Energy Power Cambridge A Hammer And Nail Kinetic Estimate the kinetic energy acquired by. The kinetic energy of the hammer decreases from e to zero because the nail exerts an equal and opposite force f on the hammer. The nail, however, absorbs only a given. The collision between a hammer and a nail can be considered to be approximately elastic. When the hammer strikes the nail, the kinetic. Hammer And Nail Kinetic.
From www.youtube.com
hammer nail impulse YouTube Hammer And Nail Kinetic Find the impulse between the hammer and nail. The problem is solved by equating work done on nail by the wall |fx| with the hammer's kinetic energy (mv 2)/2. When the hammer strikes the nail, the kinetic energy of the hammer converts into the internal energy. The kinetic energy of the hammer decreases from e to zero because the nail. Hammer And Nail Kinetic.
From www.slideserve.com
PPT Sect. 74 Energy; WorkEnergy Principle PowerPoint Hammer And Nail Kinetic Estimate the kinetic energy acquired by. The mechanical energy of a hammer gives the hammer its ability to apply a force to a nail in order to cause it to be displaced. The kinetic energy of the hammer decreases from e to zero because the nail exerts an equal and opposite force f on the hammer. When the hammer strikes. Hammer And Nail Kinetic.
From dreamstime.com
Hammer And Nail Using Hammer Stock Photo Image 52411252 Hammer And Nail Kinetic The kinetic energy of the hammer decreases from e to zero because the nail exerts an equal and opposite force f on the hammer. The kinetic energy of a hammer of mass $m$ ans speed $v$ is equal to the work done by the resistance force , $f_r$ the nail. The collision between a hammer and a nail can be. Hammer And Nail Kinetic.
From www.youtube.com
Hammer and Nails Sound Effect Hammer and Nail SFX HIRES AUDIO YouTube Hammer And Nail Kinetic Find the impulse between the hammer and nail. The mechanical energy of a hammer gives the hammer its ability to apply a force to a nail in order to cause it to be displaced. The problem is solved by equating work done on nail by the wall |fx| with the hammer's kinetic energy (mv 2)/2. Estimate the kinetic energy acquired. Hammer And Nail Kinetic.
From www.chegg.com
Solved The collision between a hammer and a nail can be Hammer And Nail Kinetic The kinetic energy of a hammer of mass $m$ ans speed $v$ is equal to the work done by the resistance force , $f_r$ the nail. The kinetic energy of the hammer decreases from e to zero because the nail exerts an equal and opposite force f on the hammer. Find the impulse between the hammer and nail. The nail,. Hammer And Nail Kinetic.
From control.com
Fluid Mechanics Physics in Industrial Instrumentation Textbook Hammer And Nail Kinetic The kinetic energy of the hammer decreases from e to zero because the nail exerts an equal and opposite force f on the hammer. The mechanical energy of a hammer gives the hammer its ability to apply a force to a nail in order to cause it to be displaced. The nail, however, absorbs only a given. When the hammer. Hammer And Nail Kinetic.
From www.freepik.com
Premium Vector Hammer hitting a nail, carpenters hammer striking Hammer And Nail Kinetic Estimate the kinetic energy acquired by. Find the impulse between the hammer and nail. When the hammer strikes the nail, the kinetic energy of the hammer converts into the internal energy. The problem is solved by equating work done on nail by the wall |fx| with the hammer's kinetic energy (mv 2)/2. The nail, however, absorbs only a given. The. Hammer And Nail Kinetic.
From www.youtube.com
Making A Hammer Will It Work? YouTube Hammer And Nail Kinetic When the hammer strikes the nail, the kinetic energy of the hammer converts into the internal energy. The mechanical energy of a hammer gives the hammer its ability to apply a force to a nail in order to cause it to be displaced. The problem is solved by equating work done on nail by the wall |fx| with the hammer's. Hammer And Nail Kinetic.
From www.pinterest.ca
Vector illustration about mechanic energy. Scheme with potential Hammer And Nail Kinetic The kinetic energy of a hammer of mass $m$ ans speed $v$ is equal to the work done by the resistance force , $f_r$ the nail. The mechanical energy of a hammer gives the hammer its ability to apply a force to a nail in order to cause it to be displaced. The kinetic energy of the hammer decreases from. Hammer And Nail Kinetic.
From www.dreamstime.com
Using hammer and nail stock image. Image of detail, carpentry 85671607 Hammer And Nail Kinetic When the hammer strikes the nail, the kinetic energy of the hammer converts into the internal energy. The kinetic energy of the hammer decreases from e to zero because the nail exerts an equal and opposite force f on the hammer. The problem is solved by equating work done on nail by the wall |fx| with the hammer's kinetic energy. Hammer And Nail Kinetic.
From www.shutterstock.com
Energía Potencial De Martillo Over 21 RoyaltyFree Licensable Stock Hammer And Nail Kinetic The kinetic energy of the hammer decreases from e to zero because the nail exerts an equal and opposite force f on the hammer. The mechanical energy of a hammer gives the hammer its ability to apply a force to a nail in order to cause it to be displaced. Estimate the kinetic energy acquired by. The problem is solved. Hammer And Nail Kinetic.
From www.thespruce.com
Hammering Nails 101 Tips for Good Technique Hammer And Nail Kinetic The mechanical energy of a hammer gives the hammer its ability to apply a force to a nail in order to cause it to be displaced. The kinetic energy of the hammer decreases from e to zero because the nail exerts an equal and opposite force f on the hammer. When the hammer strikes the nail, the kinetic energy of. Hammer And Nail Kinetic.
From www.thespruce.com
Hammering Nails 101 Tips for Good Technique Hammer And Nail Kinetic The kinetic energy of the hammer decreases from e to zero because the nail exerts an equal and opposite force f on the hammer. When the hammer strikes the nail, the kinetic energy of the hammer converts into the internal energy. Find the impulse between the hammer and nail. The nail, however, absorbs only a given. The kinetic energy of. Hammer And Nail Kinetic.
From www.gettyimages.com
Hammer And Nails HighRes Stock Photo Getty Images Hammer And Nail Kinetic When the hammer strikes the nail, the kinetic energy of the hammer converts into the internal energy. Find the impulse between the hammer and nail. Estimate the kinetic energy acquired by. The collision between a hammer and a nail can be considered to be approximately elastic. The mechanical energy of a hammer gives the hammer its ability to apply a. Hammer And Nail Kinetic.