Rem On Property Title . 1) it is alienable (can be. A right in rem has four characteristics: An in rem proceeding adjudicates the rights to a particular piece of property for every potential rights holder, even potential rights holders who. You’ll need to search different registers if the property is in. Select your documentsaccess your documents A right in rem is a right that may be exercised against the whole world, and rights that are established as proprietary rights fall under this. Find information about a property in england or wales, even if you do not own it. Action in rem is a type of legal proceeding used to decide a property's title, as well as the rights granted to parties listed in the title. Property in land is sometimes referred to as a ‘right in rem‘ or ‘real property’. When reviewing property records, you may come across the abbreviation rem followed by a number or a description.
from www.scribd.com
1) it is alienable (can be. When reviewing property records, you may come across the abbreviation rem followed by a number or a description. A right in rem has four characteristics: Find information about a property in england or wales, even if you do not own it. Action in rem is a type of legal proceeding used to decide a property's title, as well as the rights granted to parties listed in the title. Select your documentsaccess your documents You’ll need to search different registers if the property is in. Property in land is sometimes referred to as a ‘right in rem‘ or ‘real property’. A right in rem is a right that may be exercised against the whole world, and rights that are established as proprietary rights fall under this. An in rem proceeding adjudicates the rights to a particular piece of property for every potential rights holder, even potential rights holders who.
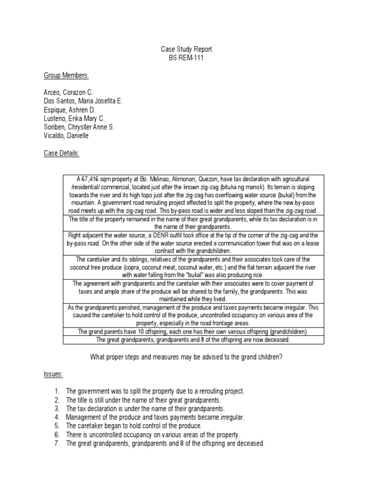
REM 111 Case Study Details PDF Real Property Deed
Rem On Property Title You’ll need to search different registers if the property is in. An in rem proceeding adjudicates the rights to a particular piece of property for every potential rights holder, even potential rights holders who. You’ll need to search different registers if the property is in. Action in rem is a type of legal proceeding used to decide a property's title, as well as the rights granted to parties listed in the title. 1) it is alienable (can be. Property in land is sometimes referred to as a ‘right in rem‘ or ‘real property’. Select your documentsaccess your documents A right in rem is a right that may be exercised against the whole world, and rights that are established as proprietary rights fall under this. When reviewing property records, you may come across the abbreviation rem followed by a number or a description. A right in rem has four characteristics: Find information about a property in england or wales, even if you do not own it.
From www.irem.org
Glossary of Real Estate Management Terms 2nd edition Rem On Property Title Find information about a property in england or wales, even if you do not own it. Select your documentsaccess your documents You’ll need to search different registers if the property is in. An in rem proceeding adjudicates the rights to a particular piece of property for every potential rights holder, even potential rights holders who. When reviewing property records, you. Rem On Property Title.
From www.youtube.com
REM 361 "Real Estate Matters with Stewart Title" broadcast 1/31/21 on Rem On Property Title You’ll need to search different registers if the property is in. A right in rem is a right that may be exercised against the whole world, and rights that are established as proprietary rights fall under this. An in rem proceeding adjudicates the rights to a particular piece of property for every potential rights holder, even potential rights holders who.. Rem On Property Title.
From www.scribd.com
Rem Cases 4 PDF Title (Property) Lawsuit Rem On Property Title When reviewing property records, you may come across the abbreviation rem followed by a number or a description. An in rem proceeding adjudicates the rights to a particular piece of property for every potential rights holder, even potential rights holders who. Find information about a property in england or wales, even if you do not own it. Property in land. Rem On Property Title.
From es.scribd.com
LTD Notes 1 PDF In Rem Jurisdiction Title (Property) Rem On Property Title You’ll need to search different registers if the property is in. A right in rem has four characteristics: A right in rem is a right that may be exercised against the whole world, and rights that are established as proprietary rights fall under this. An in rem proceeding adjudicates the rights to a particular piece of property for every potential. Rem On Property Title.
From www.scribd.com
REM Subject Classwork PDF Title (Property) Deed Rem On Property Title 1) it is alienable (can be. An in rem proceeding adjudicates the rights to a particular piece of property for every potential rights holder, even potential rights holders who. A right in rem has four characteristics: Find information about a property in england or wales, even if you do not own it. Property in land is sometimes referred to as. Rem On Property Title.
From www.scribd.com
Regalian Doctrine PDF Title (Property) In Rem Jurisdiction Rem On Property Title Action in rem is a type of legal proceeding used to decide a property's title, as well as the rights granted to parties listed in the title. An in rem proceeding adjudicates the rights to a particular piece of property for every potential rights holder, even potential rights holders who. When reviewing property records, you may come across the abbreviation. Rem On Property Title.
From mrgglobal.com
Leadership appointments in real estate, facilities and development MRG Rem On Property Title Action in rem is a type of legal proceeding used to decide a property's title, as well as the rights granted to parties listed in the title. Find information about a property in england or wales, even if you do not own it. An in rem proceeding adjudicates the rights to a particular piece of property for every potential rights. Rem On Property Title.
From www.youtube.com
REM Commercial Property Management YouTube Rem On Property Title Find information about a property in england or wales, even if you do not own it. You’ll need to search different registers if the property is in. An in rem proceeding adjudicates the rights to a particular piece of property for every potential rights holder, even potential rights holders who. A right in rem has four characteristics: When reviewing property. Rem On Property Title.
From www.researchgate.net
(PDF) PROMISSORY CONTRACT FOR THE CONSTITUTION OF A RIGHT IN REM OVER Rem On Property Title Property in land is sometimes referred to as a ‘right in rem‘ or ‘real property’. An in rem proceeding adjudicates the rights to a particular piece of property for every potential rights holder, even potential rights holders who. When reviewing property records, you may come across the abbreviation rem followed by a number or a description. A right in rem. Rem On Property Title.
From www.youtube.com
REM 360 "Real Estate Matters with Stewart Title" broadcast 1/24/21 on Rem On Property Title Action in rem is a type of legal proceeding used to decide a property's title, as well as the rights granted to parties listed in the title. Select your documentsaccess your documents 1) it is alienable (can be. When reviewing property records, you may come across the abbreviation rem followed by a number or a description. Find information about a. Rem On Property Title.
From studylib.net
bs rem new era Rem On Property Title Action in rem is a type of legal proceeding used to decide a property's title, as well as the rights granted to parties listed in the title. A right in rem is a right that may be exercised against the whole world, and rights that are established as proprietary rights fall under this. A right in rem has four characteristics:. Rem On Property Title.
From www.scribd.com
Missing Rem Cases PDF Title (Property) Complaint Rem On Property Title A right in rem is a right that may be exercised against the whole world, and rights that are established as proprietary rights fall under this. 1) it is alienable (can be. You’ll need to search different registers if the property is in. A right in rem has four characteristics: When reviewing property records, you may come across the abbreviation. Rem On Property Title.
From exprealty.com
Deed vs. Title What Is the Real Difference? eXp Realty® Rem On Property Title A right in rem has four characteristics: Action in rem is a type of legal proceeding used to decide a property's title, as well as the rights granted to parties listed in the title. 1) it is alienable (can be. Find information about a property in england or wales, even if you do not own it. You’ll need to search. Rem On Property Title.
From www.youtube.com
REM 390 "Real Estate Matters with Stewart Title," broadcast 8/22/21 on Rem On Property Title A right in rem has four characteristics: 1) it is alienable (can be. Select your documentsaccess your documents When reviewing property records, you may come across the abbreviation rem followed by a number or a description. An in rem proceeding adjudicates the rights to a particular piece of property for every potential rights holder, even potential rights holders who. Action. Rem On Property Title.
From www.scribd.com
The Supreme Court Rules That Neither Party Has Established Clear Title Rem On Property Title A right in rem is a right that may be exercised against the whole world, and rights that are established as proprietary rights fall under this. Select your documentsaccess your documents You’ll need to search different registers if the property is in. An in rem proceeding adjudicates the rights to a particular piece of property for every potential rights holder,. Rem On Property Title.
From www.scribd.com
Quieting of Title Nature of The Action It Is An Equitable Action in Rem On Property Title An in rem proceeding adjudicates the rights to a particular piece of property for every potential rights holder, even potential rights holders who. When reviewing property records, you may come across the abbreviation rem followed by a number or a description. Action in rem is a type of legal proceeding used to decide a property's title, as well as the. Rem On Property Title.
From www.scribd.com
Lis Pendens PDF Title (Property) In Rem Jurisdiction Rem On Property Title A right in rem has four characteristics: 1) it is alienable (can be. You’ll need to search different registers if the property is in. An in rem proceeding adjudicates the rights to a particular piece of property for every potential rights holder, even potential rights holders who. When reviewing property records, you may come across the abbreviation rem followed by. Rem On Property Title.
From www.scribd.com
In Rem. Owned by The State PDF Real Property Deed Rem On Property Title An in rem proceeding adjudicates the rights to a particular piece of property for every potential rights holder, even potential rights holders who. Action in rem is a type of legal proceeding used to decide a property's title, as well as the rights granted to parties listed in the title. A right in rem has four characteristics: Find information about. Rem On Property Title.
From www.youtube.com
REM 408 "Real Estate Matters with Stewart Title" broadcast 12/26/21 on Rem On Property Title A right in rem is a right that may be exercised against the whole world, and rights that are established as proprietary rights fall under this. You’ll need to search different registers if the property is in. When reviewing property records, you may come across the abbreviation rem followed by a number or a description. 1) it is alienable (can. Rem On Property Title.
From londonmedarb.com
TitleDeed Free Printable Documents Rem On Property Title A right in rem has four characteristics: An in rem proceeding adjudicates the rights to a particular piece of property for every potential rights holder, even potential rights holders who. Property in land is sometimes referred to as a ‘right in rem‘ or ‘real property’. Select your documentsaccess your documents A right in rem is a right that may be. Rem On Property Title.
From www.atatus.com
rem vs em Understanding the CSS Unit Basics Rem On Property Title Find information about a property in england or wales, even if you do not own it. You’ll need to search different registers if the property is in. Select your documentsaccess your documents When reviewing property records, you may come across the abbreviation rem followed by a number or a description. A right in rem has four characteristics: Property in land. Rem On Property Title.
From www.uslegalforms.com
Immovable Property Return Form For Central Government Employees US Rem On Property Title Find information about a property in england or wales, even if you do not own it. A right in rem is a right that may be exercised against the whole world, and rights that are established as proprietary rights fall under this. When reviewing property records, you may come across the abbreviation rem followed by a number or a description.. Rem On Property Title.
From www.scribd.com
Deed of Release of Rem PDF Mortgage Law Land Law Rem On Property Title Find information about a property in england or wales, even if you do not own it. Select your documentsaccess your documents When reviewing property records, you may come across the abbreviation rem followed by a number or a description. A right in rem has four characteristics: You’ll need to search different registers if the property is in. Action in rem. Rem On Property Title.
From www.youtube.com
REM 378 "Real Estate Matters with Stewart Title" broadcast on am 950 Rem On Property Title An in rem proceeding adjudicates the rights to a particular piece of property for every potential rights holder, even potential rights holders who. Property in land is sometimes referred to as a ‘right in rem‘ or ‘real property’. When reviewing property records, you may come across the abbreviation rem followed by a number or a description. You’ll need to search. Rem On Property Title.
From answerlibcottise.z21.web.core.windows.net
What Does Le Etal Mean On A Property Deed Rem On Property Title 1) it is alienable (can be. Action in rem is a type of legal proceeding used to decide a property's title, as well as the rights granted to parties listed in the title. A right in rem has four characteristics: You’ll need to search different registers if the property is in. Select your documentsaccess your documents A right in rem. Rem On Property Title.
From www.scribd.com
In Rem ExParte Facts PDF Deed Title (Property) Rem On Property Title You’ll need to search different registers if the property is in. When reviewing property records, you may come across the abbreviation rem followed by a number or a description. Action in rem is a type of legal proceeding used to decide a property's title, as well as the rights granted to parties listed in the title. Find information about a. Rem On Property Title.
From eagletitle.com
How To Read a Title Commitment Rem On Property Title A right in rem is a right that may be exercised against the whole world, and rights that are established as proprietary rights fall under this. You’ll need to search different registers if the property is in. An in rem proceeding adjudicates the rights to a particular piece of property for every potential rights holder, even potential rights holders who.. Rem On Property Title.
From www.scribd.com
LTD 2022 PDF In Rem Jurisdiction Title (Property) Rem On Property Title 1) it is alienable (can be. A right in rem is a right that may be exercised against the whole world, and rights that are established as proprietary rights fall under this. Property in land is sometimes referred to as a ‘right in rem‘ or ‘real property’. A right in rem has four characteristics: Find information about a property in. Rem On Property Title.
From www.youtube.com
REM 402 "Real Estate Matters with Stewart Title" broadcast 11/14/21 on Rem On Property Title When reviewing property records, you may come across the abbreviation rem followed by a number or a description. 1) it is alienable (can be. Select your documentsaccess your documents Action in rem is a type of legal proceeding used to decide a property's title, as well as the rights granted to parties listed in the title. You’ll need to search. Rem On Property Title.
From www.scribd.com
Case Form 01 REM Complaint PDF Evidence (Law) Plaintiff Rem On Property Title Find information about a property in england or wales, even if you do not own it. A right in rem is a right that may be exercised against the whole world, and rights that are established as proprietary rights fall under this. A right in rem has four characteristics: When reviewing property records, you may come across the abbreviation rem. Rem On Property Title.
From www.slideshare.net
Property Law In Rem V In Personam Rem On Property Title Find information about a property in england or wales, even if you do not own it. A right in rem has four characteristics: Select your documentsaccess your documents An in rem proceeding adjudicates the rights to a particular piece of property for every potential rights holder, even potential rights holders who. When reviewing property records, you may come across the. Rem On Property Title.
From www.studocu.com
The Nature of Rights in Personam and Rights in Rem If you are having Rem On Property Title When reviewing property records, you may come across the abbreviation rem followed by a number or a description. A right in rem is a right that may be exercised against the whole world, and rights that are established as proprietary rights fall under this. A right in rem has four characteristics: Find information about a property in england or wales,. Rem On Property Title.
From www.scribd.com
REM 111 Case Study Details PDF Real Property Deed Rem On Property Title An in rem proceeding adjudicates the rights to a particular piece of property for every potential rights holder, even potential rights holders who. Action in rem is a type of legal proceeding used to decide a property's title, as well as the rights granted to parties listed in the title. You’ll need to search different registers if the property is. Rem On Property Title.
From ground.news
REM Real Estate Magazine Breaking News Headlines Today Ground News Rem On Property Title Find information about a property in england or wales, even if you do not own it. Select your documentsaccess your documents Property in land is sometimes referred to as a ‘right in rem‘ or ‘real property’. When reviewing property records, you may come across the abbreviation rem followed by a number or a description. An in rem proceeding adjudicates the. Rem On Property Title.
From gravitasreview.com.ng
True in Rem and Quasi in Rem Claims The Gravitas Review Rem On Property Title When reviewing property records, you may come across the abbreviation rem followed by a number or a description. Action in rem is a type of legal proceeding used to decide a property's title, as well as the rights granted to parties listed in the title. An in rem proceeding adjudicates the rights to a particular piece of property for every. Rem On Property Title.