Electron Copper Atom Have . the electron distribution in copper spans across the k, l, m, and n shells, with valence electrons located in the 4s and 3d orbitals. copper is a chemical element with. Members of a group typically have similar properties and electron. how to write the electron configuration for copper (cu, cu+, and cu2+) in order to write the copper electron configuration we first. the periodic table tells me that z, the atomic number for copper metal, is 29. Atomic mass, electron configurations, charges, and more. View rotating bohr models for. Groupa vertical column in the periodic table. access detailed info on all elements: this electron configuration calculator will instantly show you the distribution of electrons in the orbitals of any periodic.
from slideplayer.com
View rotating bohr models for. Members of a group typically have similar properties and electron. access detailed info on all elements: Atomic mass, electron configurations, charges, and more. the periodic table tells me that z, the atomic number for copper metal, is 29. this electron configuration calculator will instantly show you the distribution of electrons in the orbitals of any periodic. copper is a chemical element with. Groupa vertical column in the periodic table. how to write the electron configuration for copper (cu, cu+, and cu2+) in order to write the copper electron configuration we first. the electron distribution in copper spans across the k, l, m, and n shells, with valence electrons located in the 4s and 3d orbitals.
Chapter 4 Atomic Structure 4.1 Defining the Atom ppt download
Electron Copper Atom Have the electron distribution in copper spans across the k, l, m, and n shells, with valence electrons located in the 4s and 3d orbitals. Atomic mass, electron configurations, charges, and more. the periodic table tells me that z, the atomic number for copper metal, is 29. this electron configuration calculator will instantly show you the distribution of electrons in the orbitals of any periodic. Groupa vertical column in the periodic table. the electron distribution in copper spans across the k, l, m, and n shells, with valence electrons located in the 4s and 3d orbitals. access detailed info on all elements: View rotating bohr models for. copper is a chemical element with. how to write the electron configuration for copper (cu, cu+, and cu2+) in order to write the copper electron configuration we first. Members of a group typically have similar properties and electron.
From www.shutterstock.com
Copper atom Más de 3,504 vectores de stock y arte vectorial con Electron Copper Atom Have Groupa vertical column in the periodic table. View rotating bohr models for. the electron distribution in copper spans across the k, l, m, and n shells, with valence electrons located in the 4s and 3d orbitals. access detailed info on all elements: copper is a chemical element with. how to write the electron configuration for copper. Electron Copper Atom Have.
From www.slideserve.com
PPT Electron Configurations PowerPoint Presentation, free download Electron Copper Atom Have how to write the electron configuration for copper (cu, cu+, and cu2+) in order to write the copper electron configuration we first. View rotating bohr models for. this electron configuration calculator will instantly show you the distribution of electrons in the orbitals of any periodic. the electron distribution in copper spans across the k, l, m, and. Electron Copper Atom Have.
From childhealthpolicy.vumc.org
💐 Copper atom model. Copper Particles. 20221017 Electron Copper Atom Have copper is a chemical element with. how to write the electron configuration for copper (cu, cu+, and cu2+) in order to write the copper electron configuration we first. the periodic table tells me that z, the atomic number for copper metal, is 29. View rotating bohr models for. this electron configuration calculator will instantly show you. Electron Copper Atom Have.
From www.researchgate.net
(a) View of the extended asymmetric unit for the A layer. Copper atoms Electron Copper Atom Have copper is a chemical element with. this electron configuration calculator will instantly show you the distribution of electrons in the orbitals of any periodic. the periodic table tells me that z, the atomic number for copper metal, is 29. View rotating bohr models for. access detailed info on all elements: how to write the electron. Electron Copper Atom Have.
From www.sciencephoto.com
Copper, atomic structure Stock Image C018/3710 Science Photo Library Electron Copper Atom Have copper is a chemical element with. how to write the electron configuration for copper (cu, cu+, and cu2+) in order to write the copper electron configuration we first. Atomic mass, electron configurations, charges, and more. this electron configuration calculator will instantly show you the distribution of electrons in the orbitals of any periodic. Groupa vertical column in. Electron Copper Atom Have.
From www.numerade.com
SOLVED The radius of a copper atom is 128 pm. How many copper atoms Electron Copper Atom Have how to write the electron configuration for copper (cu, cu+, and cu2+) in order to write the copper electron configuration we first. the periodic table tells me that z, the atomic number for copper metal, is 29. this electron configuration calculator will instantly show you the distribution of electrons in the orbitals of any periodic. View rotating. Electron Copper Atom Have.
From mccnsulting.web.fc2.com
How many electrons does copper have? Electron Copper Atom Have copper is a chemical element with. the electron distribution in copper spans across the k, l, m, and n shells, with valence electrons located in the 4s and 3d orbitals. View rotating bohr models for. the periodic table tells me that z, the atomic number for copper metal, is 29. this electron configuration calculator will instantly. Electron Copper Atom Have.
From www.nuclear-power.com
Iron Atomic Number Atomic Mass Density of Iron Electron Copper Atom Have View rotating bohr models for. the electron distribution in copper spans across the k, l, m, and n shells, with valence electrons located in the 4s and 3d orbitals. the periodic table tells me that z, the atomic number for copper metal, is 29. Members of a group typically have similar properties and electron. Atomic mass, electron configurations,. Electron Copper Atom Have.
From exatin.info
Orbital Diagram For Chromium exatin.info Electron Copper Atom Have View rotating bohr models for. the periodic table tells me that z, the atomic number for copper metal, is 29. Atomic mass, electron configurations, charges, and more. access detailed info on all elements: Groupa vertical column in the periodic table. how to write the electron configuration for copper (cu, cu+, and cu2+) in order to write the. Electron Copper Atom Have.
From valenceelectrons.com
How to Find the Valence Electrons for Lithium (Li)? Electron Copper Atom Have View rotating bohr models for. the electron distribution in copper spans across the k, l, m, and n shells, with valence electrons located in the 4s and 3d orbitals. this electron configuration calculator will instantly show you the distribution of electrons in the orbitals of any periodic. access detailed info on all elements: Groupa vertical column in. Electron Copper Atom Have.
From www.bigstockphoto.com
Copper Atom Image & Photo (Free Trial) Bigstock Electron Copper Atom Have copper is a chemical element with. the electron distribution in copper spans across the k, l, m, and n shells, with valence electrons located in the 4s and 3d orbitals. Atomic mass, electron configurations, charges, and more. Groupa vertical column in the periodic table. this electron configuration calculator will instantly show you the distribution of electrons in. Electron Copper Atom Have.
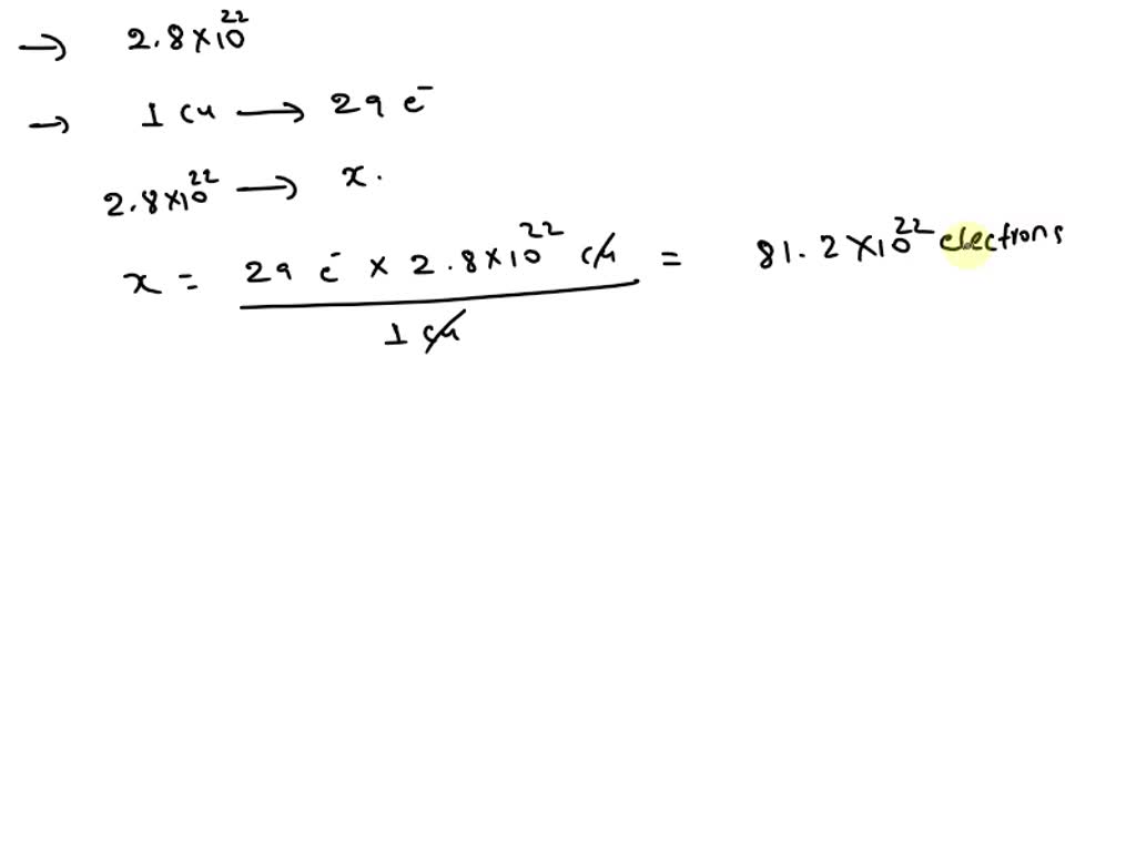
From www.numerade.com
SOLVED the number of copper atoms in 3.0 g lump of copper is 2.8 x Electron Copper Atom Have Groupa vertical column in the periodic table. Members of a group typically have similar properties and electron. the periodic table tells me that z, the atomic number for copper metal, is 29. View rotating bohr models for. the electron distribution in copper spans across the k, l, m, and n shells, with valence electrons located in the 4s. Electron Copper Atom Have.
From www.perlego.com
[PDF] Electronics For Dummies by Cathleen Shamieh eBook Perlego Electron Copper Atom Have View rotating bohr models for. the periodic table tells me that z, the atomic number for copper metal, is 29. Groupa vertical column in the periodic table. Members of a group typically have similar properties and electron. how to write the electron configuration for copper (cu, cu+, and cu2+) in order to write the copper electron configuration we. Electron Copper Atom Have.
From stock.adobe.com
Atom of Copper with 29 Electrons in infinite orbital rotation on white Electron Copper Atom Have the electron distribution in copper spans across the k, l, m, and n shells, with valence electrons located in the 4s and 3d orbitals. the periodic table tells me that z, the atomic number for copper metal, is 29. Groupa vertical column in the periodic table. Atomic mass, electron configurations, charges, and more. Members of a group typically. Electron Copper Atom Have.
From valenceelectrons.com
How to Find the Valence Electrons for Copper (Cu)? Electron Copper Atom Have Members of a group typically have similar properties and electron. how to write the electron configuration for copper (cu, cu+, and cu2+) in order to write the copper electron configuration we first. Groupa vertical column in the periodic table. the periodic table tells me that z, the atomic number for copper metal, is 29. View rotating bohr models. Electron Copper Atom Have.
From www.toppr.com
The density of copper is 9 × 10^3 Kgm^3 and its atomic mass is 63.5u Electron Copper Atom Have access detailed info on all elements: this electron configuration calculator will instantly show you the distribution of electrons in the orbitals of any periodic. the electron distribution in copper spans across the k, l, m, and n shells, with valence electrons located in the 4s and 3d orbitals. Members of a group typically have similar properties and. Electron Copper Atom Have.
From www.pngegg.com
Atom illustration, Bohr model Sodium Atom Chemistry Rutherford model Electron Copper Atom Have copper is a chemical element with. the electron distribution in copper spans across the k, l, m, and n shells, with valence electrons located in the 4s and 3d orbitals. access detailed info on all elements: Groupa vertical column in the periodic table. Atomic mass, electron configurations, charges, and more. View rotating bohr models for. this. Electron Copper Atom Have.
From www.earthdate.org
Copper’s Superpower EarthDate Electron Copper Atom Have the periodic table tells me that z, the atomic number for copper metal, is 29. how to write the electron configuration for copper (cu, cu+, and cu2+) in order to write the copper electron configuration we first. the electron distribution in copper spans across the k, l, m, and n shells, with valence electrons located in the. Electron Copper Atom Have.
From www.alamy.com
Symbol and electron diagram of Copper illustration Stock Vector Image Electron Copper Atom Have View rotating bohr models for. the electron distribution in copper spans across the k, l, m, and n shells, with valence electrons located in the 4s and 3d orbitals. the periodic table tells me that z, the atomic number for copper metal, is 29. access detailed info on all elements: Groupa vertical column in the periodic table.. Electron Copper Atom Have.
From www.slideserve.com
PPT Chemistry 221 Chapter 2 Atoms and Molecules PowerPoint Electron Copper Atom Have Members of a group typically have similar properties and electron. this electron configuration calculator will instantly show you the distribution of electrons in the orbitals of any periodic. the periodic table tells me that z, the atomic number for copper metal, is 29. the electron distribution in copper spans across the k, l, m, and n shells,. Electron Copper Atom Have.
From www.toppr.com
Assume that each atom in a copper wire contributes one free electron Electron Copper Atom Have access detailed info on all elements: Atomic mass, electron configurations, charges, and more. this electron configuration calculator will instantly show you the distribution of electrons in the orbitals of any periodic. Members of a group typically have similar properties and electron. the electron distribution in copper spans across the k, l, m, and n shells, with valence. Electron Copper Atom Have.
From www.coursehero.com
[Solved] 15. Fill in the electron configuration diagram for the copper Electron Copper Atom Have View rotating bohr models for. how to write the electron configuration for copper (cu, cu+, and cu2+) in order to write the copper electron configuration we first. the electron distribution in copper spans across the k, l, m, and n shells, with valence electrons located in the 4s and 3d orbitals. the periodic table tells me that. Electron Copper Atom Have.
From exyjrvgbm.blob.core.windows.net
Cl Negative Electron Configuration at Nicki Craft blog Electron Copper Atom Have Groupa vertical column in the periodic table. the periodic table tells me that z, the atomic number for copper metal, is 29. how to write the electron configuration for copper (cu, cu+, and cu2+) in order to write the copper electron configuration we first. the electron distribution in copper spans across the k, l, m, and n. Electron Copper Atom Have.
From www.slideserve.com
PPT Fundamentals of Electricity PowerPoint Presentation, free Electron Copper Atom Have how to write the electron configuration for copper (cu, cu+, and cu2+) in order to write the copper electron configuration we first. the electron distribution in copper spans across the k, l, m, and n shells, with valence electrons located in the 4s and 3d orbitals. this electron configuration calculator will instantly show you the distribution of. Electron Copper Atom Have.
From electraschematics.com
Understanding the Electron Configuration Diagram for Copper Electron Copper Atom Have Atomic mass, electron configurations, charges, and more. View rotating bohr models for. the periodic table tells me that z, the atomic number for copper metal, is 29. this electron configuration calculator will instantly show you the distribution of electrons in the orbitals of any periodic. Members of a group typically have similar properties and electron. copper is. Electron Copper Atom Have.
From www.thoughtco.com
Atom Diagrams Electron Configurations of the Elements Electron Copper Atom Have copper is a chemical element with. the periodic table tells me that z, the atomic number for copper metal, is 29. Members of a group typically have similar properties and electron. access detailed info on all elements: how to write the electron configuration for copper (cu, cu+, and cu2+) in order to write the copper electron. Electron Copper Atom Have.
From worksheetpic101.s3.amazonaws.com
worksheet introduction to the periodic table Electron Copper Atom Have Atomic mass, electron configurations, charges, and more. the electron distribution in copper spans across the k, l, m, and n shells, with valence electrons located in the 4s and 3d orbitals. the periodic table tells me that z, the atomic number for copper metal, is 29. Members of a group typically have similar properties and electron. access. Electron Copper Atom Have.
From ar.inspiredpencil.com
Bohr Model Of Copper Electron Copper Atom Have Groupa vertical column in the periodic table. View rotating bohr models for. Members of a group typically have similar properties and electron. access detailed info on all elements: Atomic mass, electron configurations, charges, and more. how to write the electron configuration for copper (cu, cu+, and cu2+) in order to write the copper electron configuration we first. . Electron Copper Atom Have.
From www.nuclear-power.com
Copper Electron Affinity Electronegativity Ionization Energy of Electron Copper Atom Have copper is a chemical element with. View rotating bohr models for. this electron configuration calculator will instantly show you the distribution of electrons in the orbitals of any periodic. the electron distribution in copper spans across the k, l, m, and n shells, with valence electrons located in the 4s and 3d orbitals. Groupa vertical column in. Electron Copper Atom Have.
From slideplayer.com
Chapter 4 Atomic Structure 4.1 Defining the Atom ppt download Electron Copper Atom Have access detailed info on all elements: the periodic table tells me that z, the atomic number for copper metal, is 29. Groupa vertical column in the periodic table. Members of a group typically have similar properties and electron. the electron distribution in copper spans across the k, l, m, and n shells, with valence electrons located in. Electron Copper Atom Have.
From www.alamy.com
Copper (Cu). Diagram of the nuclear composition and electron Electron Copper Atom Have how to write the electron configuration for copper (cu, cu+, and cu2+) in order to write the copper electron configuration we first. the periodic table tells me that z, the atomic number for copper metal, is 29. Atomic mass, electron configurations, charges, and more. Members of a group typically have similar properties and electron. the electron distribution. Electron Copper Atom Have.
From valenceelectrons.com
Protons, Neutrons, Electrons for (Sg, Sg6+) Electron Copper Atom Have Atomic mass, electron configurations, charges, and more. this electron configuration calculator will instantly show you the distribution of electrons in the orbitals of any periodic. access detailed info on all elements: the periodic table tells me that z, the atomic number for copper metal, is 29. Groupa vertical column in the periodic table. Members of a group. Electron Copper Atom Have.
From periodictable.me
How To Find A Electron Configuration For Copper Dynamic Periodic Electron Copper Atom Have how to write the electron configuration for copper (cu, cu+, and cu2+) in order to write the copper electron configuration we first. this electron configuration calculator will instantly show you the distribution of electrons in the orbitals of any periodic. copper is a chemical element with. Groupa vertical column in the periodic table. Members of a group. Electron Copper Atom Have.
From brainkart.com
Solved Problems Conducting Materials Electron Copper Atom Have this electron configuration calculator will instantly show you the distribution of electrons in the orbitals of any periodic. the periodic table tells me that z, the atomic number for copper metal, is 29. access detailed info on all elements: Groupa vertical column in the periodic table. copper is a chemical element with. View rotating bohr models. Electron Copper Atom Have.
From courses.lumenlearning.com
Early Ideas in Atomic Theory Chemistry Electron Copper Atom Have Members of a group typically have similar properties and electron. the electron distribution in copper spans across the k, l, m, and n shells, with valence electrons located in the 4s and 3d orbitals. this electron configuration calculator will instantly show you the distribution of electrons in the orbitals of any periodic. the periodic table tells me. Electron Copper Atom Have.