Resonance Form Calculator . these questions cover all aspects of resonance in organic chemistry, from identifying resonance forms, understanding partial charges, ranking the. Equivalent lewis structures are called resonance forms. a resonance form is another way of drawing a lewis dot structure for a given compound. resonance forms illustrate areas of higher probabilities (electron densities). with the resonance structure generator, you can easily visualize different resonant forms of a molecule, helping you understand how. Resonance forms with the same. this resonant frequency calculator employs the capacitance (c) and inductance (l) values of an lc circuit (also known as a. This is like holding your hat in either your right hand or your left. The major contributors of the resonance structures can be calculated. resonance forms with negative formal charge or most electronegative atoms are favored. the resonance plugin generates all resonance structures of a molecule.
from www.masterorganicchemistry.com
these questions cover all aspects of resonance in organic chemistry, from identifying resonance forms, understanding partial charges, ranking the. resonance forms with negative formal charge or most electronegative atoms are favored. Resonance forms with the same. resonance forms illustrate areas of higher probabilities (electron densities). the resonance plugin generates all resonance structures of a molecule. This is like holding your hat in either your right hand or your left. The major contributors of the resonance structures can be calculated. a resonance form is another way of drawing a lewis dot structure for a given compound. Equivalent lewis structures are called resonance forms. with the resonance structure generator, you can easily visualize different resonant forms of a molecule, helping you understand how.
Resonance Structures 4 Rules On How To Evaluate Them, With Practice
Resonance Form Calculator Equivalent lewis structures are called resonance forms. the resonance plugin generates all resonance structures of a molecule. these questions cover all aspects of resonance in organic chemistry, from identifying resonance forms, understanding partial charges, ranking the. Resonance forms with the same. with the resonance structure generator, you can easily visualize different resonant forms of a molecule, helping you understand how. The major contributors of the resonance structures can be calculated. This is like holding your hat in either your right hand or your left. this resonant frequency calculator employs the capacitance (c) and inductance (l) values of an lc circuit (also known as a. a resonance form is another way of drawing a lewis dot structure for a given compound. resonance forms with negative formal charge or most electronegative atoms are favored. Equivalent lewis structures are called resonance forms. resonance forms illustrate areas of higher probabilities (electron densities).
From facts.net
17 Intriguing Facts About Resonance Structure Resonance Form Calculator The major contributors of the resonance structures can be calculated. the resonance plugin generates all resonance structures of a molecule. This is like holding your hat in either your right hand or your left. with the resonance structure generator, you can easily visualize different resonant forms of a molecule, helping you understand how. resonance forms illustrate areas. Resonance Form Calculator.
From www.circuitdiagram.co
Resonant Frequency Lcr Circuit Calculator Circuit Diagram Resonance Form Calculator Resonance forms with the same. with the resonance structure generator, you can easily visualize different resonant forms of a molecule, helping you understand how. these questions cover all aspects of resonance in organic chemistry, from identifying resonance forms, understanding partial charges, ranking the. a resonance form is another way of drawing a lewis dot structure for a. Resonance Form Calculator.
From www.masterorganicchemistry.com
Resonance Structures 4 Rules On How To Evaluate Them, With Practice Resonance Form Calculator the resonance plugin generates all resonance structures of a molecule. this resonant frequency calculator employs the capacitance (c) and inductance (l) values of an lc circuit (also known as a. resonance forms with negative formal charge or most electronegative atoms are favored. a resonance form is another way of drawing a lewis dot structure for a. Resonance Form Calculator.
From www.chegg.com
Solved 144 For each of these ions, draw the important Resonance Form Calculator this resonant frequency calculator employs the capacitance (c) and inductance (l) values of an lc circuit (also known as a. The major contributors of the resonance structures can be calculated. This is like holding your hat in either your right hand or your left. these questions cover all aspects of resonance in organic chemistry, from identifying resonance forms,. Resonance Form Calculator.
From www.masterorganicchemistry.com
How to apply electronegativity to understand resonance forms — Master Resonance Form Calculator resonance forms with negative formal charge or most electronegative atoms are favored. The major contributors of the resonance structures can be calculated. resonance forms illustrate areas of higher probabilities (electron densities). Equivalent lewis structures are called resonance forms. this resonant frequency calculator employs the capacitance (c) and inductance (l) values of an lc circuit (also known as. Resonance Form Calculator.
From www.circuitdiagram.co
Resonant Frequency Lcr Circuit Calculator Circuit Diagram Resonance Form Calculator This is like holding your hat in either your right hand or your left. Resonance forms with the same. these questions cover all aspects of resonance in organic chemistry, from identifying resonance forms, understanding partial charges, ranking the. the resonance plugin generates all resonance structures of a molecule. this resonant frequency calculator employs the capacitance (c) and. Resonance Form Calculator.
From fixdbgrizem8hq.z13.web.core.windows.net
Ac Circuit Impedance Calculator Resonance Form Calculator Resonance forms with the same. these questions cover all aspects of resonance in organic chemistry, from identifying resonance forms, understanding partial charges, ranking the. resonance forms with negative formal charge or most electronegative atoms are favored. resonance forms illustrate areas of higher probabilities (electron densities). with the resonance structure generator, you can easily visualize different resonant. Resonance Form Calculator.
From sciencecalx.com
LC Resonance Frequency Calculator ScienceCalx Resonance Form Calculator resonance forms illustrate areas of higher probabilities (electron densities). resonance forms with negative formal charge or most electronegative atoms are favored. the resonance plugin generates all resonance structures of a molecule. This is like holding your hat in either your right hand or your left. with the resonance structure generator, you can easily visualize different resonant. Resonance Form Calculator.
From www.youtube.com
LCR Series and Parallel Resonance_Physics Experiment YouTube Resonance Form Calculator resonance forms with negative formal charge or most electronegative atoms are favored. Resonance forms with the same. this resonant frequency calculator employs the capacitance (c) and inductance (l) values of an lc circuit (also known as a. with the resonance structure generator, you can easily visualize different resonant forms of a molecule, helping you understand how. . Resonance Form Calculator.
From calculatorshub.net
Cavity Resonance Calculator Online CalculatorsHub Resonance Form Calculator resonance forms illustrate areas of higher probabilities (electron densities). Equivalent lewis structures are called resonance forms. a resonance form is another way of drawing a lewis dot structure for a given compound. This is like holding your hat in either your right hand or your left. these questions cover all aspects of resonance in organic chemistry, from. Resonance Form Calculator.
From www.youtube.com
Identifying Resonance structures YouTube Resonance Form Calculator The major contributors of the resonance structures can be calculated. this resonant frequency calculator employs the capacitance (c) and inductance (l) values of an lc circuit (also known as a. the resonance plugin generates all resonance structures of a molecule. This is like holding your hat in either your right hand or your left. these questions cover. Resonance Form Calculator.
From fyodqqroa.blob.core.windows.net
Resonant Loop Calculator at Mike Suggs blog Resonance Form Calculator the resonance plugin generates all resonance structures of a molecule. The major contributors of the resonance structures can be calculated. Resonance forms with the same. a resonance form is another way of drawing a lewis dot structure for a given compound. these questions cover all aspects of resonance in organic chemistry, from identifying resonance forms, understanding partial. Resonance Form Calculator.
From imagesee.biz
Font Untuk Desain Formal Charge Definition IMAGESEE Resonance Form Calculator resonance forms illustrate areas of higher probabilities (electron densities). a resonance form is another way of drawing a lewis dot structure for a given compound. these questions cover all aspects of resonance in organic chemistry, from identifying resonance forms, understanding partial charges, ranking the. Equivalent lewis structures are called resonance forms. this resonant frequency calculator employs. Resonance Form Calculator.
From www.numerade.com
SOLVED Four resonance structures of the following cation are possible Resonance Form Calculator Resonance forms with the same. resonance forms illustrate areas of higher probabilities (electron densities). resonance forms with negative formal charge or most electronegative atoms are favored. This is like holding your hat in either your right hand or your left. these questions cover all aspects of resonance in organic chemistry, from identifying resonance forms, understanding partial charges,. Resonance Form Calculator.
From www.simscale.com
What Is Modal Analysis and Why Is It Necessary? SimScale Blog Resonance Form Calculator The major contributors of the resonance structures can be calculated. these questions cover all aspects of resonance in organic chemistry, from identifying resonance forms, understanding partial charges, ranking the. resonance forms illustrate areas of higher probabilities (electron densities). a resonance form is another way of drawing a lewis dot structure for a given compound. This is like. Resonance Form Calculator.
From www.youtube.com
Drawing Lewis Structures Resonance Structures Chemistry Tutorial Resonance Form Calculator a resonance form is another way of drawing a lewis dot structure for a given compound. Equivalent lewis structures are called resonance forms. resonance forms with negative formal charge or most electronegative atoms are favored. Resonance forms with the same. resonance forms illustrate areas of higher probabilities (electron densities). The major contributors of the resonance structures can. Resonance Form Calculator.
From solvedlib.com
(a) Calculate the resonant angular frequency of an R… SolvedLib Resonance Form Calculator The major contributors of the resonance structures can be calculated. resonance forms with negative formal charge or most electronegative atoms are favored. This is like holding your hat in either your right hand or your left. Resonance forms with the same. Equivalent lewis structures are called resonance forms. these questions cover all aspects of resonance in organic chemistry,. Resonance Form Calculator.
From mornayazdan.blogspot.com
28+ Resonance Structure Calculator Resonance Form Calculator a resonance form is another way of drawing a lewis dot structure for a given compound. Resonance forms with the same. Equivalent lewis structures are called resonance forms. these questions cover all aspects of resonance in organic chemistry, from identifying resonance forms, understanding partial charges, ranking the. The major contributors of the resonance structures can be calculated. . Resonance Form Calculator.
From chem.libretexts.org
Resonance Chemistry LibreTexts Resonance Form Calculator with the resonance structure generator, you can easily visualize different resonant forms of a molecule, helping you understand how. resonance forms with negative formal charge or most electronegative atoms are favored. The major contributors of the resonance structures can be calculated. this resonant frequency calculator employs the capacitance (c) and inductance (l) values of an lc circuit. Resonance Form Calculator.
From www.numerade.com
SOLVED Draw the Lewis structure for HNO2. (4) Below is one of the Resonance Form Calculator Resonance forms with the same. a resonance form is another way of drawing a lewis dot structure for a given compound. with the resonance structure generator, you can easily visualize different resonant forms of a molecule, helping you understand how. Equivalent lewis structures are called resonance forms. The major contributors of the resonance structures can be calculated. This. Resonance Form Calculator.
From www.numerade.com
SOLVED Q2a. For the given circuit diagram, find the reactance of the Resonance Form Calculator this resonant frequency calculator employs the capacitance (c) and inductance (l) values of an lc circuit (also known as a. with the resonance structure generator, you can easily visualize different resonant forms of a molecule, helping you understand how. resonance forms with negative formal charge or most electronegative atoms are favored. resonance forms illustrate areas of. Resonance Form Calculator.
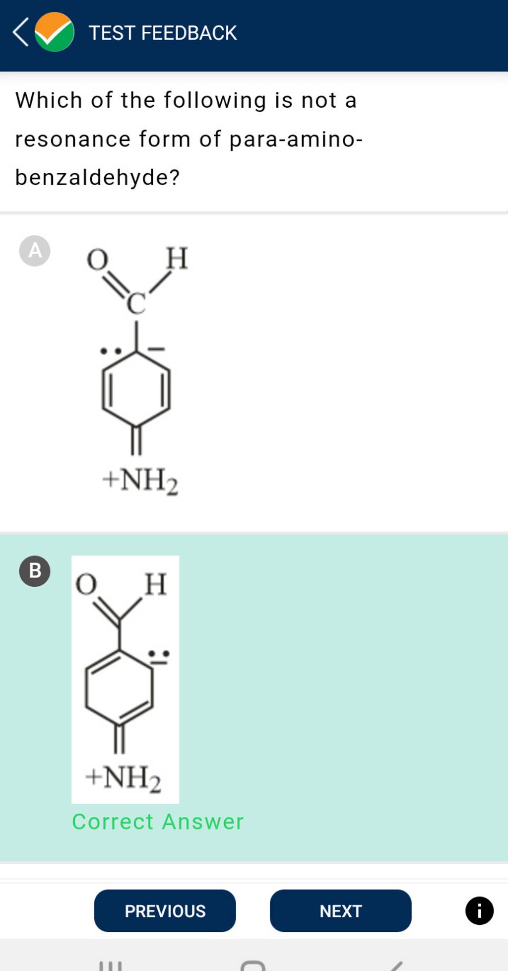
From askfilo.com
TEST FEEDBACK Which of the following is not a resonance form of paraamin.. Resonance Form Calculator this resonant frequency calculator employs the capacitance (c) and inductance (l) values of an lc circuit (also known as a. these questions cover all aspects of resonance in organic chemistry, from identifying resonance forms, understanding partial charges, ranking the. Resonance forms with the same. with the resonance structure generator, you can easily visualize different resonant forms of. Resonance Form Calculator.
From www.electricalvolt.com
LC Tank Circuit Resonance Frequency Calculator Electrical Volt Resonance Form Calculator Equivalent lewis structures are called resonance forms. Resonance forms with the same. with the resonance structure generator, you can easily visualize different resonant forms of a molecule, helping you understand how. a resonance form is another way of drawing a lewis dot structure for a given compound. resonance forms with negative formal charge or most electronegative atoms. Resonance Form Calculator.
From fyomvnggi.blob.core.windows.net
Resonance Frequency Amplitude at Lee Platt blog Resonance Form Calculator the resonance plugin generates all resonance structures of a molecule. The major contributors of the resonance structures can be calculated. Resonance forms with the same. these questions cover all aspects of resonance in organic chemistry, from identifying resonance forms, understanding partial charges, ranking the. This is like holding your hat in either your right hand or your left.. Resonance Form Calculator.
From socratic.org
How many resonance structures does N3 have? Socratic Resonance Form Calculator This is like holding your hat in either your right hand or your left. this resonant frequency calculator employs the capacitance (c) and inductance (l) values of an lc circuit (also known as a. Equivalent lewis structures are called resonance forms. these questions cover all aspects of resonance in organic chemistry, from identifying resonance forms, understanding partial charges,. Resonance Form Calculator.
From www.chegg.com
Solved Consider the two resonance forms of acetate ion, and Resonance Form Calculator Equivalent lewis structures are called resonance forms. the resonance plugin generates all resonance structures of a molecule. resonance forms illustrate areas of higher probabilities (electron densities). The major contributors of the resonance structures can be calculated. This is like holding your hat in either your right hand or your left. this resonant frequency calculator employs the capacitance. Resonance Form Calculator.
From www.chegg.com
Solved Assign formal charges to each atom in the three Resonance Form Calculator a resonance form is another way of drawing a lewis dot structure for a given compound. Equivalent lewis structures are called resonance forms. This is like holding your hat in either your right hand or your left. the resonance plugin generates all resonance structures of a molecule. The major contributors of the resonance structures can be calculated. Resonance. Resonance Form Calculator.
From dxoiiykvv.blob.core.windows.net
Resonance Contributor Calculator at Kelvin Mingo blog Resonance Form Calculator resonance forms with negative formal charge or most electronegative atoms are favored. The major contributors of the resonance structures can be calculated. Equivalent lewis structures are called resonance forms. the resonance plugin generates all resonance structures of a molecule. Resonance forms with the same. resonance forms illustrate areas of higher probabilities (electron densities). with the resonance. Resonance Form Calculator.
From www.youtube.com
Resonance in LCr circuit LCR circuit class 12th physics Abhishek Resonance Form Calculator the resonance plugin generates all resonance structures of a molecule. Equivalent lewis structures are called resonance forms. a resonance form is another way of drawing a lewis dot structure for a given compound. with the resonance structure generator, you can easily visualize different resonant forms of a molecule, helping you understand how. resonance forms with negative. Resonance Form Calculator.
From www.solutionspile.com
[Solved] (4 points) Draw all of the important resonance for Resonance Form Calculator with the resonance structure generator, you can easily visualize different resonant forms of a molecule, helping you understand how. The major contributors of the resonance structures can be calculated. resonance forms with negative formal charge or most electronegative atoms are favored. these questions cover all aspects of resonance in organic chemistry, from identifying resonance forms, understanding partial. Resonance Form Calculator.
From chem.libretexts.org
Resonance Theory Chemistry LibreTexts Resonance Form Calculator Resonance forms with the same. The major contributors of the resonance structures can be calculated. Equivalent lewis structures are called resonance forms. This is like holding your hat in either your right hand or your left. with the resonance structure generator, you can easily visualize different resonant forms of a molecule, helping you understand how. a resonance form. Resonance Form Calculator.
From www.chegg.com
Identify the possible resonance structures for SCN^. Resonance Form Calculator this resonant frequency calculator employs the capacitance (c) and inductance (l) values of an lc circuit (also known as a. This is like holding your hat in either your right hand or your left. Resonance forms with the same. a resonance form is another way of drawing a lewis dot structure for a given compound. these questions. Resonance Form Calculator.
From www.circuitdiagram.co
Lc Circuit Resonant Frequency Calculator Circuit Diagram Resonance Form Calculator Equivalent lewis structures are called resonance forms. the resonance plugin generates all resonance structures of a molecule. these questions cover all aspects of resonance in organic chemistry, from identifying resonance forms, understanding partial charges, ranking the. Resonance forms with the same. a resonance form is another way of drawing a lewis dot structure for a given compound.. Resonance Form Calculator.
From chem2401.wordpress.com
How to Draw Resonance Structures Organic Chemistry Resonance Form Calculator the resonance plugin generates all resonance structures of a molecule. these questions cover all aspects of resonance in organic chemistry, from identifying resonance forms, understanding partial charges, ranking the. This is like holding your hat in either your right hand or your left. a resonance form is another way of drawing a lewis dot structure for a. Resonance Form Calculator.
From chem.libretexts.org
Aromatic Chemistry LibreTexts Resonance Form Calculator Resonance forms with the same. This is like holding your hat in either your right hand or your left. with the resonance structure generator, you can easily visualize different resonant forms of a molecule, helping you understand how. resonance forms with negative formal charge or most electronegative atoms are favored. this resonant frequency calculator employs the capacitance. Resonance Form Calculator.