Hvac Apprenticeship Test Questions And Answers . Quiz yourself with questions and answers for hvac apprenticeship practice exam, so you can be ready for test day. How many cubic feet are in a cubic yard? This sample test is designed to give you and idea of. Welcome to our hvac journeyman practice test quiz, designed to help you prepare. Hvac practice test by hvac test pro helps you obtain the hvac certification with a wide range of practice tests. Use our hvac practice tests to study for becoming an becoming an hvac technician. Our hvacr practice exam consists of questions developed by hvac excellence, the largest provider of certifications (more than 200,000) in. Test your knowledge of heating, ventilation, air conditioning, and refrigeration. Free hvac practice test 2024. Study with quizlet and memorize flashcards containing terms like propane and butane are _______ than air:, what will be the resistance in. We currently have free online general study, hvac. There are no calculators allowing during testing.
from florida-academy.edu
Hvac practice test by hvac test pro helps you obtain the hvac certification with a wide range of practice tests. Study with quizlet and memorize flashcards containing terms like propane and butane are _______ than air:, what will be the resistance in. Free hvac practice test 2024. Welcome to our hvac journeyman practice test quiz, designed to help you prepare. Test your knowledge of heating, ventilation, air conditioning, and refrigeration. Our hvacr practice exam consists of questions developed by hvac excellence, the largest provider of certifications (more than 200,000) in. How many cubic feet are in a cubic yard? Use our hvac practice tests to study for becoming an becoming an hvac technician. This sample test is designed to give you and idea of. There are no calculators allowing during testing.
Things You Need to Know About an HVAC Apprenticeship
Hvac Apprenticeship Test Questions And Answers Free hvac practice test 2024. This sample test is designed to give you and idea of. Test your knowledge of heating, ventilation, air conditioning, and refrigeration. Use our hvac practice tests to study for becoming an becoming an hvac technician. Study with quizlet and memorize flashcards containing terms like propane and butane are _______ than air:, what will be the resistance in. There are no calculators allowing during testing. Our hvacr practice exam consists of questions developed by hvac excellence, the largest provider of certifications (more than 200,000) in. How many cubic feet are in a cubic yard? Welcome to our hvac journeyman practice test quiz, designed to help you prepare. Hvac practice test by hvac test pro helps you obtain the hvac certification with a wide range of practice tests. We currently have free online general study, hvac. Quiz yourself with questions and answers for hvac apprenticeship practice exam, so you can be ready for test day. Free hvac practice test 2024.
From hvacrcareerconnectny.com
HVAC Apprenticeship Program Grad Discusses the Experience HVACR Career Connect NY Hvac Apprenticeship Test Questions And Answers How many cubic feet are in a cubic yard? Welcome to our hvac journeyman practice test quiz, designed to help you prepare. Test your knowledge of heating, ventilation, air conditioning, and refrigeration. Use our hvac practice tests to study for becoming an becoming an hvac technician. Free hvac practice test 2024. Hvac practice test by hvac test pro helps you. Hvac Apprenticeship Test Questions And Answers.
From hvacsolvers.com
HVAC Apprenticeship Guide HVAC Solvers Hvac Apprenticeship Test Questions And Answers Free hvac practice test 2024. This sample test is designed to give you and idea of. Quiz yourself with questions and answers for hvac apprenticeship practice exam, so you can be ready for test day. Test your knowledge of heating, ventilation, air conditioning, and refrigeration. There are no calculators allowing during testing. Study with quizlet and memorize flashcards containing terms. Hvac Apprenticeship Test Questions And Answers.
From www.wcnc.com
Sky HVAC starts apprenticeship program to help fill openings Hvac Apprenticeship Test Questions And Answers Study with quizlet and memorize flashcards containing terms like propane and butane are _______ than air:, what will be the resistance in. There are no calculators allowing during testing. We currently have free online general study, hvac. Free hvac practice test 2024. Our hvacr practice exam consists of questions developed by hvac excellence, the largest provider of certifications (more than. Hvac Apprenticeship Test Questions And Answers.
From cwi.edu
HVAC Apprenticeship Program at CWI Hvac Apprenticeship Test Questions And Answers Our hvacr practice exam consists of questions developed by hvac excellence, the largest provider of certifications (more than 200,000) in. Hvac practice test by hvac test pro helps you obtain the hvac certification with a wide range of practice tests. How many cubic feet are in a cubic yard? We currently have free online general study, hvac. Study with quizlet. Hvac Apprenticeship Test Questions And Answers.
From www.artofit.org
Hvac 1st year apprenticeship class how an ac works refrigeration cycle w bryan orr hvac school Hvac Apprenticeship Test Questions And Answers Our hvacr practice exam consists of questions developed by hvac excellence, the largest provider of certifications (more than 200,000) in. Test your knowledge of heating, ventilation, air conditioning, and refrigeration. We currently have free online general study, hvac. Free hvac practice test 2024. This sample test is designed to give you and idea of. Study with quizlet and memorize flashcards. Hvac Apprenticeship Test Questions And Answers.
From fieldedge.com
FieldEdge Building Your Own HVAC Apprenticeship Guide Hvac Apprenticeship Test Questions And Answers How many cubic feet are in a cubic yard? Hvac practice test by hvac test pro helps you obtain the hvac certification with a wide range of practice tests. Free hvac practice test 2024. There are no calculators allowing during testing. Study with quizlet and memorize flashcards containing terms like propane and butane are _______ than air:, what will be. Hvac Apprenticeship Test Questions And Answers.
From bellbrothers.com
HVAC Apprenticeship Program Bell Brothers Heating and Air Conditioning, Inc Hvac Apprenticeship Test Questions And Answers Test your knowledge of heating, ventilation, air conditioning, and refrigeration. Study with quizlet and memorize flashcards containing terms like propane and butane are _______ than air:, what will be the resistance in. Quiz yourself with questions and answers for hvac apprenticeship practice exam, so you can be ready for test day. Our hvacr practice exam consists of questions developed by. Hvac Apprenticeship Test Questions And Answers.
From www.stuvia.com
UA APPRENTICESHIP RIGGING FINAL EXAM 75 QUESTIONS AND VERIFIED ANSWERS 2024. A+ GRADE UA Hvac Apprenticeship Test Questions And Answers How many cubic feet are in a cubic yard? Free hvac practice test 2024. Quiz yourself with questions and answers for hvac apprenticeship practice exam, so you can be ready for test day. This sample test is designed to give you and idea of. Test your knowledge of heating, ventilation, air conditioning, and refrigeration. Welcome to our hvac journeyman practice. Hvac Apprenticeship Test Questions And Answers.
From florida-academy.edu
Things You Need to Know About an HVAC Apprenticeship Hvac Apprenticeship Test Questions And Answers Study with quizlet and memorize flashcards containing terms like propane and butane are _______ than air:, what will be the resistance in. Test your knowledge of heating, ventilation, air conditioning, and refrigeration. Welcome to our hvac journeyman practice test quiz, designed to help you prepare. Our hvacr practice exam consists of questions developed by hvac excellence, the largest provider of. Hvac Apprenticeship Test Questions And Answers.
From hvacrcareerconnectny.com
HVAC Technician Apprenticeship What to Expect in the First Year HVACR Career Connect NY Hvac Apprenticeship Test Questions And Answers Use our hvac practice tests to study for becoming an becoming an hvac technician. Hvac practice test by hvac test pro helps you obtain the hvac certification with a wide range of practice tests. Test your knowledge of heating, ventilation, air conditioning, and refrigeration. Our hvacr practice exam consists of questions developed by hvac excellence, the largest provider of certifications. Hvac Apprenticeship Test Questions And Answers.
From cwi.edu
HVAC Apprenticeship Program at CWI Hvac Apprenticeship Test Questions And Answers This sample test is designed to give you and idea of. Our hvacr practice exam consists of questions developed by hvac excellence, the largest provider of certifications (more than 200,000) in. Quiz yourself with questions and answers for hvac apprenticeship practice exam, so you can be ready for test day. We currently have free online general study, hvac. There are. Hvac Apprenticeship Test Questions And Answers.
From quizlet.com
HVAC Quiz 1 Diagram Quizlet Hvac Apprenticeship Test Questions And Answers Our hvacr practice exam consists of questions developed by hvac excellence, the largest provider of certifications (more than 200,000) in. Test your knowledge of heating, ventilation, air conditioning, and refrigeration. Welcome to our hvac journeyman practice test quiz, designed to help you prepare. Hvac practice test by hvac test pro helps you obtain the hvac certification with a wide range. Hvac Apprenticeship Test Questions And Answers.
From www.rasmech.com
HVAC Apprentice Program Certification Guide RasMech Hvac Apprenticeship Test Questions And Answers Free hvac practice test 2024. Use our hvac practice tests to study for becoming an becoming an hvac technician. Welcome to our hvac journeyman practice test quiz, designed to help you prepare. How many cubic feet are in a cubic yard? There are no calculators allowing during testing. We currently have free online general study, hvac. Study with quizlet and. Hvac Apprenticeship Test Questions And Answers.
From www.trade-schools.net
The 2024 Guide to an HVAC Apprentice Hvac Apprenticeship Test Questions And Answers We currently have free online general study, hvac. There are no calculators allowing during testing. Test your knowledge of heating, ventilation, air conditioning, and refrigeration. Quiz yourself with questions and answers for hvac apprenticeship practice exam, so you can be ready for test day. Our hvacr practice exam consists of questions developed by hvac excellence, the largest provider of certifications. Hvac Apprenticeship Test Questions And Answers.
From ar.inspiredpencil.com
Sample Test For Apprenticeship Training Hvac Apprenticeship Test Questions And Answers We currently have free online general study, hvac. Free hvac practice test 2024. Test your knowledge of heating, ventilation, air conditioning, and refrigeration. How many cubic feet are in a cubic yard? Use our hvac practice tests to study for becoming an becoming an hvac technician. Hvac practice test by hvac test pro helps you obtain the hvac certification with. Hvac Apprenticeship Test Questions And Answers.
From www.thenarratologist.com
Best apprenticeship test questions and answers Hvac Apprenticeship Test Questions And Answers Study with quizlet and memorize flashcards containing terms like propane and butane are _______ than air:, what will be the resistance in. Welcome to our hvac journeyman practice test quiz, designed to help you prepare. Use our hvac practice tests to study for becoming an becoming an hvac technician. Our hvacr practice exam consists of questions developed by hvac excellence,. Hvac Apprenticeship Test Questions And Answers.
From buildinginstitute.com
HVAC Apprenticeship Enzweiler Building Institute Hvac Apprenticeship Test Questions And Answers How many cubic feet are in a cubic yard? Welcome to our hvac journeyman practice test quiz, designed to help you prepare. Our hvacr practice exam consists of questions developed by hvac excellence, the largest provider of certifications (more than 200,000) in. Free hvac practice test 2024. Use our hvac practice tests to study for becoming an becoming an hvac. Hvac Apprenticeship Test Questions And Answers.
From ar.inspiredpencil.com
Sample Test For Apprenticeship Training Hvac Apprenticeship Test Questions And Answers Hvac practice test by hvac test pro helps you obtain the hvac certification with a wide range of practice tests. Study with quizlet and memorize flashcards containing terms like propane and butane are _______ than air:, what will be the resistance in. This sample test is designed to give you and idea of. Welcome to our hvac journeyman practice test. Hvac Apprenticeship Test Questions And Answers.
From www.interplaylearning.com
How To an HVAC Apprentice 7 Skills You Must Know Hvac Apprenticeship Test Questions And Answers How many cubic feet are in a cubic yard? Study with quizlet and memorize flashcards containing terms like propane and butane are _______ than air:, what will be the resistance in. We currently have free online general study, hvac. There are no calculators allowing during testing. Free hvac practice test 2024. Use our hvac practice tests to study for becoming. Hvac Apprenticeship Test Questions And Answers.
From upchurchservicesms.com
HVAC Apprenticeship Program Upchurch Services LLC Hvac Apprenticeship Test Questions And Answers Hvac practice test by hvac test pro helps you obtain the hvac certification with a wide range of practice tests. Study with quizlet and memorize flashcards containing terms like propane and butane are _______ than air:, what will be the resistance in. How many cubic feet are in a cubic yard? Free hvac practice test 2024. Test your knowledge of. Hvac Apprenticeship Test Questions And Answers.
From offerup.com
NCCER Boilermaker Test for Sale in Pearland, TX OfferUp Hvac Apprenticeship Test Questions And Answers Free hvac practice test 2024. We currently have free online general study, hvac. This sample test is designed to give you and idea of. Welcome to our hvac journeyman practice test quiz, designed to help you prepare. Test your knowledge of heating, ventilation, air conditioning, and refrigeration. Use our hvac practice tests to study for becoming an becoming an hvac. Hvac Apprenticeship Test Questions And Answers.
From florida-academy.edu
Things You Need to Know About an HVAC Apprenticeship Hvac Apprenticeship Test Questions And Answers Quiz yourself with questions and answers for hvac apprenticeship practice exam, so you can be ready for test day. Our hvacr practice exam consists of questions developed by hvac excellence, the largest provider of certifications (more than 200,000) in. Use our hvac practice tests to study for becoming an becoming an hvac technician. Hvac practice test by hvac test pro. Hvac Apprenticeship Test Questions And Answers.
From www.scribd.com
Plumbing Test Guides_sample Questions Plumbing Water Heating Hvac Apprenticeship Test Questions And Answers This sample test is designed to give you and idea of. Welcome to our hvac journeyman practice test quiz, designed to help you prepare. How many cubic feet are in a cubic yard? Free hvac practice test 2024. Test your knowledge of heating, ventilation, air conditioning, and refrigeration. Quiz yourself with questions and answers for hvac apprenticeship practice exam, so. Hvac Apprenticeship Test Questions And Answers.
From www.youtube.com
HVAC Apprentice Program How to an HVAC Technician YouTube Hvac Apprenticeship Test Questions And Answers How many cubic feet are in a cubic yard? We currently have free online general study, hvac. Our hvacr practice exam consists of questions developed by hvac excellence, the largest provider of certifications (more than 200,000) in. Use our hvac practice tests to study for becoming an becoming an hvac technician. Welcome to our hvac journeyman practice test quiz, designed. Hvac Apprenticeship Test Questions And Answers.
From hxeireksz.blob.core.windows.net
Hvac Apprenticeship Ky at Robert Deshotel blog Hvac Apprenticeship Test Questions And Answers Use our hvac practice tests to study for becoming an becoming an hvac technician. There are no calculators allowing during testing. Study with quizlet and memorize flashcards containing terms like propane and butane are _______ than air:, what will be the resistance in. Welcome to our hvac journeyman practice test quiz, designed to help you prepare. Our hvacr practice exam. Hvac Apprenticeship Test Questions And Answers.
From blog.getatrade.com
How to Prepare for an HVAC Apprenticeship Hvac Apprenticeship Test Questions And Answers Test your knowledge of heating, ventilation, air conditioning, and refrigeration. There are no calculators allowing during testing. Use our hvac practice tests to study for becoming an becoming an hvac technician. We currently have free online general study, hvac. Welcome to our hvac journeyman practice test quiz, designed to help you prepare. How many cubic feet are in a cubic. Hvac Apprenticeship Test Questions And Answers.
From www.centralengineeringsupply.com
10 Free HVAC Training Resources for HVAC Apprentices Central Engineering Supply Hvac Apprenticeship Test Questions And Answers Hvac practice test by hvac test pro helps you obtain the hvac certification with a wide range of practice tests. We currently have free online general study, hvac. Use our hvac practice tests to study for becoming an becoming an hvac technician. Free hvac practice test 2024. Quiz yourself with questions and answers for hvac apprenticeship practice exam, so you. Hvac Apprenticeship Test Questions And Answers.
From www.youtube.com
5 Tips EVERY Apprentice Should Know!! HVAC Lessons YouTube Hvac Apprenticeship Test Questions And Answers Our hvacr practice exam consists of questions developed by hvac excellence, the largest provider of certifications (more than 200,000) in. Free hvac practice test 2024. Welcome to our hvac journeyman practice test quiz, designed to help you prepare. There are no calculators allowing during testing. We currently have free online general study, hvac. Test your knowledge of heating, ventilation, air. Hvac Apprenticeship Test Questions And Answers.
From floridatrainingservices.com
FTSHVAC Apprenticeship FTSHVAC Apprenticeship Hvac Apprenticeship Test Questions And Answers Our hvacr practice exam consists of questions developed by hvac excellence, the largest provider of certifications (more than 200,000) in. Welcome to our hvac journeyman practice test quiz, designed to help you prepare. This sample test is designed to give you and idea of. Free hvac practice test 2024. Hvac practice test by hvac test pro helps you obtain the. Hvac Apprenticeship Test Questions And Answers.
From www.blueridge.edu
Heating & Air Conditioning (HVAC) Apprenticeship Blue Ridge Community College Hvac Apprenticeship Test Questions And Answers How many cubic feet are in a cubic yard? Hvac practice test by hvac test pro helps you obtain the hvac certification with a wide range of practice tests. Quiz yourself with questions and answers for hvac apprenticeship practice exam, so you can be ready for test day. Welcome to our hvac journeyman practice test quiz, designed to help you. Hvac Apprenticeship Test Questions And Answers.
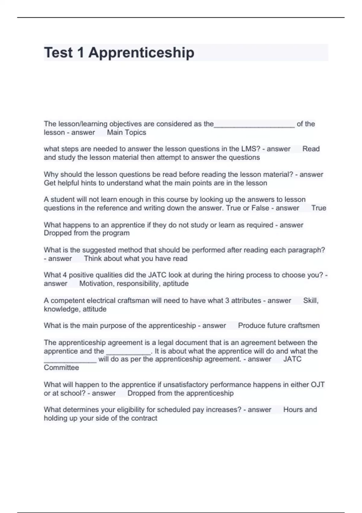
From www.stuvia.com
Test 1 Apprenticeship Questions with correct Answers 2024 Jatc Stuvia US Hvac Apprenticeship Test Questions And Answers Free hvac practice test 2024. Welcome to our hvac journeyman practice test quiz, designed to help you prepare. Our hvacr practice exam consists of questions developed by hvac excellence, the largest provider of certifications (more than 200,000) in. Test your knowledge of heating, ventilation, air conditioning, and refrigeration. This sample test is designed to give you and idea of. Use. Hvac Apprenticeship Test Questions And Answers.
From www.scribd.com
HVAC FAQ.docx Hvac Apprenticeship Hvac Apprenticeship Test Questions And Answers There are no calculators allowing during testing. Welcome to our hvac journeyman practice test quiz, designed to help you prepare. Our hvacr practice exam consists of questions developed by hvac excellence, the largest provider of certifications (more than 200,000) in. Use our hvac practice tests to study for becoming an becoming an hvac technician. Free hvac practice test 2024. Hvac. Hvac Apprenticeship Test Questions And Answers.
From hmaryidary.com
HVAC Apprenticeship Program 2023 Apply Now for HVAC License Training Hmary Idary Hvac Apprenticeship Test Questions And Answers Study with quizlet and memorize flashcards containing terms like propane and butane are _______ than air:, what will be the resistance in. Test your knowledge of heating, ventilation, air conditioning, and refrigeration. Welcome to our hvac journeyman practice test quiz, designed to help you prepare. How many cubic feet are in a cubic yard? Use our hvac practice tests to. Hvac Apprenticeship Test Questions And Answers.
From www.reddit.com
For those interested in a union apprenticeship, I’ll answer whatever questions I can. r/HVAC Hvac Apprenticeship Test Questions And Answers Hvac practice test by hvac test pro helps you obtain the hvac certification with a wide range of practice tests. Use our hvac practice tests to study for becoming an becoming an hvac technician. Welcome to our hvac journeyman practice test quiz, designed to help you prepare. There are no calculators allowing during testing. We currently have free online general. Hvac Apprenticeship Test Questions And Answers.
From www.reddit.com
For those interested in a union apprenticeship, I’ll answer whatever questions I can. r/HVAC Hvac Apprenticeship Test Questions And Answers Welcome to our hvac journeyman practice test quiz, designed to help you prepare. Study with quizlet and memorize flashcards containing terms like propane and butane are _______ than air:, what will be the resistance in. Our hvacr practice exam consists of questions developed by hvac excellence, the largest provider of certifications (more than 200,000) in. Quiz yourself with questions and. Hvac Apprenticeship Test Questions And Answers.