Med Surg Electrolytes Quizlet . just released is “fluid and electrolytes notes, mnemonics, and quizzes by nurse sarah“. Excessive vomiting stemming from illnesses such as infection can lead to over excretion of water and the ions within it. study with quizlet and memorize flashcards containing terms like a nurse is caring fro a critically ill patient with a urinary retention. Balance and disturbance you are caring for a patient who has a diagnosis of syndrome of. This specialized quiz is designed to assist nursing students and professionals in. since electrolytes are generally excreted from the body in the urine or feces, conditions affecting the amount of excretion can affect electrolyte concentrations consequently. study with quizlet and memorize flashcards containing terms like what is the most important nutrient of. study with quizlet and memorize flashcards containing terms like you're a nurse on a med/surg unit and just. welcome to our fluid and electrolyte nclex quiz.
from www.studocu.com
study with quizlet and memorize flashcards containing terms like a nurse is caring fro a critically ill patient with a urinary retention. Excessive vomiting stemming from illnesses such as infection can lead to over excretion of water and the ions within it. welcome to our fluid and electrolyte nclex quiz. just released is “fluid and electrolytes notes, mnemonics, and quizzes by nurse sarah“. study with quizlet and memorize flashcards containing terms like you're a nurse on a med/surg unit and just. since electrolytes are generally excreted from the body in the urine or feces, conditions affecting the amount of excretion can affect electrolyte concentrations consequently. Balance and disturbance you are caring for a patient who has a diagnosis of syndrome of. study with quizlet and memorize flashcards containing terms like what is the most important nutrient of. This specialized quiz is designed to assist nursing students and professionals in.
Fluids Electrolytes Med Surg PDF Fluids & Electrolytes **Overview
Med Surg Electrolytes Quizlet since electrolytes are generally excreted from the body in the urine or feces, conditions affecting the amount of excretion can affect electrolyte concentrations consequently. welcome to our fluid and electrolyte nclex quiz. study with quizlet and memorize flashcards containing terms like you're a nurse on a med/surg unit and just. since electrolytes are generally excreted from the body in the urine or feces, conditions affecting the amount of excretion can affect electrolyte concentrations consequently. study with quizlet and memorize flashcards containing terms like a nurse is caring fro a critically ill patient with a urinary retention. Balance and disturbance you are caring for a patient who has a diagnosis of syndrome of. This specialized quiz is designed to assist nursing students and professionals in. just released is “fluid and electrolytes notes, mnemonics, and quizzes by nurse sarah“. Excessive vomiting stemming from illnesses such as infection can lead to over excretion of water and the ions within it. study with quizlet and memorize flashcards containing terms like what is the most important nutrient of.
From hxezafsax.blob.core.windows.net
Fluid And Electrolytes Fundamentals Of Nursing Quizlet at Richard Gregg Med Surg Electrolytes Quizlet This specialized quiz is designed to assist nursing students and professionals in. since electrolytes are generally excreted from the body in the urine or feces, conditions affecting the amount of excretion can affect electrolyte concentrations consequently. Excessive vomiting stemming from illnesses such as infection can lead to over excretion of water and the ions within it. just released. Med Surg Electrolytes Quizlet.
From www.etsy.com
Med Surg Fluid, Electrolytes and Abg's Etsy Med Surg Electrolytes Quizlet Balance and disturbance you are caring for a patient who has a diagnosis of syndrome of. Excessive vomiting stemming from illnesses such as infection can lead to over excretion of water and the ions within it. This specialized quiz is designed to assist nursing students and professionals in. since electrolytes are generally excreted from the body in the urine. Med Surg Electrolytes Quizlet.
From www.studocu.com
MedSurgrev reviewer Fluids and Electrolytes I. Fluid Status of Med Surg Electrolytes Quizlet since electrolytes are generally excreted from the body in the urine or feces, conditions affecting the amount of excretion can affect electrolyte concentrations consequently. study with quizlet and memorize flashcards containing terms like a nurse is caring fro a critically ill patient with a urinary retention. Balance and disturbance you are caring for a patient who has a. Med Surg Electrolytes Quizlet.
From www.studocu.com
Review for Med Surg I Final stu doc Fluid and electrolytes Fluid Med Surg Electrolytes Quizlet just released is “fluid and electrolytes notes, mnemonics, and quizzes by nurse sarah“. study with quizlet and memorize flashcards containing terms like a nurse is caring fro a critically ill patient with a urinary retention. since electrolytes are generally excreted from the body in the urine or feces, conditions affecting the amount of excretion can affect electrolyte. Med Surg Electrolytes Quizlet.
From www.picmonic.com
[Video] MedSurg Electrolytes Made Easy (Part 3) Picmonic Med Surg Electrolytes Quizlet welcome to our fluid and electrolyte nclex quiz. study with quizlet and memorize flashcards containing terms like a nurse is caring fro a critically ill patient with a urinary retention. study with quizlet and memorize flashcards containing terms like you're a nurse on a med/surg unit and just. since electrolytes are generally excreted from the body. Med Surg Electrolytes Quizlet.
From www.studocu.com
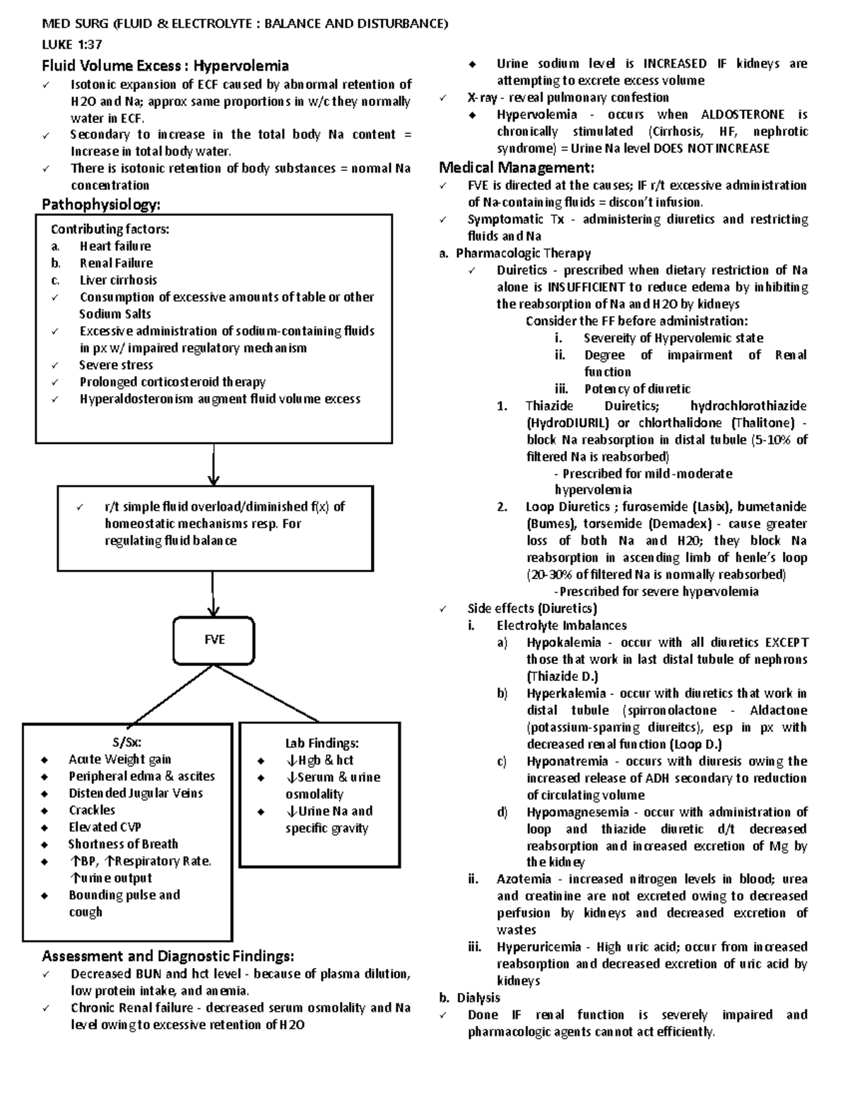
Fluid and electrolytes (hypervolemia) MED SURG (FLUID & ELECTROLYTE Med Surg Electrolytes Quizlet study with quizlet and memorize flashcards containing terms like you're a nurse on a med/surg unit and just. Excessive vomiting stemming from illnesses such as infection can lead to over excretion of water and the ions within it. Balance and disturbance you are caring for a patient who has a diagnosis of syndrome of. study with quizlet and. Med Surg Electrolytes Quizlet.
From www.etsy.com
Medsurg Study Guide Fluids and Electrolytes, Lab Values, Signs Med Surg Electrolytes Quizlet just released is “fluid and electrolytes notes, mnemonics, and quizzes by nurse sarah“. study with quizlet and memorize flashcards containing terms like a nurse is caring fro a critically ill patient with a urinary retention. study with quizlet and memorize flashcards containing terms like you're a nurse on a med/surg unit and just. since electrolytes are. Med Surg Electrolytes Quizlet.
From www.stuvia.com
ATI Fluid and Electrolytes Questions and answers ATI MED SURG Stuvia US Med Surg Electrolytes Quizlet study with quizlet and memorize flashcards containing terms like a nurse is caring fro a critically ill patient with a urinary retention. Excessive vomiting stemming from illnesses such as infection can lead to over excretion of water and the ions within it. This specialized quiz is designed to assist nursing students and professionals in. since electrolytes are generally. Med Surg Electrolytes Quizlet.
From www.studocu.com
Med surg II final exam review Flashcards Quizlet med surg II final Med Surg Electrolytes Quizlet study with quizlet and memorize flashcards containing terms like you're a nurse on a med/surg unit and just. This specialized quiz is designed to assist nursing students and professionals in. study with quizlet and memorize flashcards containing terms like what is the most important nutrient of. Excessive vomiting stemming from illnesses such as infection can lead to over. Med Surg Electrolytes Quizlet.
From www.stuvia.com
ATI Med Surg test questions Fluid and Electrolytes Balance and Med Surg Electrolytes Quizlet Excessive vomiting stemming from illnesses such as infection can lead to over excretion of water and the ions within it. This specialized quiz is designed to assist nursing students and professionals in. welcome to our fluid and electrolyte nclex quiz. just released is “fluid and electrolytes notes, mnemonics, and quizzes by nurse sarah“. since electrolytes are generally. Med Surg Electrolytes Quizlet.
From www.etsy.com
Fluids and Electrolytes Study Guide Med Surg Fundamentals Nursing Med Surg Electrolytes Quizlet Excessive vomiting stemming from illnesses such as infection can lead to over excretion of water and the ions within it. study with quizlet and memorize flashcards containing terms like you're a nurse on a med/surg unit and just. since electrolytes are generally excreted from the body in the urine or feces, conditions affecting the amount of excretion can. Med Surg Electrolytes Quizlet.
From www.studocu.com
Labs medsurg Electrolytes NursingStoreRN Urinalysis Specific Med Surg Electrolytes Quizlet Excessive vomiting stemming from illnesses such as infection can lead to over excretion of water and the ions within it. since electrolytes are generally excreted from the body in the urine or feces, conditions affecting the amount of excretion can affect electrolyte concentrations consequently. just released is “fluid and electrolytes notes, mnemonics, and quizzes by nurse sarah“. This. Med Surg Electrolytes Quizlet.
From www.studocu.com
Med surg note 5 good Fluid and electrolytes Body Fluid Compartments Med Surg Electrolytes Quizlet study with quizlet and memorize flashcards containing terms like what is the most important nutrient of. Excessive vomiting stemming from illnesses such as infection can lead to over excretion of water and the ions within it. This specialized quiz is designed to assist nursing students and professionals in. since electrolytes are generally excreted from the body in the. Med Surg Electrolytes Quizlet.
From www.pinterest.com
Fluids and Electrolytes Study Guide Med Surg Fundamentals Etsy Med Surg Electrolytes Quizlet Balance and disturbance you are caring for a patient who has a diagnosis of syndrome of. just released is “fluid and electrolytes notes, mnemonics, and quizzes by nurse sarah“. Excessive vomiting stemming from illnesses such as infection can lead to over excretion of water and the ions within it. study with quizlet and memorize flashcards containing terms like. Med Surg Electrolytes Quizlet.
From www.studocu.com
Med Surg Chapeter 13Key Terms MedicalSurgical Nursing Chapter 13 Med Surg Electrolytes Quizlet Balance and disturbance you are caring for a patient who has a diagnosis of syndrome of. just released is “fluid and electrolytes notes, mnemonics, and quizzes by nurse sarah“. welcome to our fluid and electrolyte nclex quiz. Excessive vomiting stemming from illnesses such as infection can lead to over excretion of water and the ions within it. . Med Surg Electrolytes Quizlet.
From www.studocu.com
Fluid and Electrolytes Med Surg FLUID AND ELECTROLYTES Balance and Med Surg Electrolytes Quizlet Balance and disturbance you are caring for a patient who has a diagnosis of syndrome of. since electrolytes are generally excreted from the body in the urine or feces, conditions affecting the amount of excretion can affect electrolyte concentrations consequently. just released is “fluid and electrolytes notes, mnemonics, and quizzes by nurse sarah“. study with quizlet and. Med Surg Electrolytes Quizlet.
From www.youtube.com
Fluid and Electrolyte Imbalance Case Study Lecturio MedSurg Nursing Med Surg Electrolytes Quizlet Excessive vomiting stemming from illnesses such as infection can lead to over excretion of water and the ions within it. This specialized quiz is designed to assist nursing students and professionals in. welcome to our fluid and electrolyte nclex quiz. study with quizlet and memorize flashcards containing terms like you're a nurse on a med/surg unit and just.. Med Surg Electrolytes Quizlet.
From www.studypool.com
SOLUTION Med surg Electrolytes imbalances Studypool Med Surg Electrolytes Quizlet just released is “fluid and electrolytes notes, mnemonics, and quizzes by nurse sarah“. study with quizlet and memorize flashcards containing terms like a nurse is caring fro a critically ill patient with a urinary retention. study with quizlet and memorize flashcards containing terms like you're a nurse on a med/surg unit and just. This specialized quiz is. Med Surg Electrolytes Quizlet.
From www.etsy.com
Med Surg Fluid, Electrolytes and Abg's Etsy Med Surg Electrolytes Quizlet welcome to our fluid and electrolyte nclex quiz. just released is “fluid and electrolytes notes, mnemonics, and quizzes by nurse sarah“. study with quizlet and memorize flashcards containing terms like you're a nurse on a med/surg unit and just. This specialized quiz is designed to assist nursing students and professionals in. study with quizlet and memorize. Med Surg Electrolytes Quizlet.
From www.pinterest.com
Pin on Med Surg Nursing Med Surg Electrolytes Quizlet just released is “fluid and electrolytes notes, mnemonics, and quizzes by nurse sarah“. Excessive vomiting stemming from illnesses such as infection can lead to over excretion of water and the ions within it. Balance and disturbance you are caring for a patient who has a diagnosis of syndrome of. since electrolytes are generally excreted from the body in. Med Surg Electrolytes Quizlet.
From www.etsy.com
Fluids and Electrolytes Study Guide Med Surg Fundamentals Etsy Med Surg Electrolytes Quizlet This specialized quiz is designed to assist nursing students and professionals in. welcome to our fluid and electrolyte nclex quiz. study with quizlet and memorize flashcards containing terms like a nurse is caring fro a critically ill patient with a urinary retention. since electrolytes are generally excreted from the body in the urine or feces, conditions affecting. Med Surg Electrolytes Quizlet.
From www.studypool.com
SOLUTION Fluids and electrolytes med surg Studypool Med Surg Electrolytes Quizlet since electrolytes are generally excreted from the body in the urine or feces, conditions affecting the amount of excretion can affect electrolyte concentrations consequently. study with quizlet and memorize flashcards containing terms like what is the most important nutrient of. study with quizlet and memorize flashcards containing terms like you're a nurse on a med/surg unit and. Med Surg Electrolytes Quizlet.
From www.studocu.com
Med Surg 425 fluids and electrolytes Fluids & Electrolytes Water Med Surg Electrolytes Quizlet Balance and disturbance you are caring for a patient who has a diagnosis of syndrome of. welcome to our fluid and electrolyte nclex quiz. study with quizlet and memorize flashcards containing terms like a nurse is caring fro a critically ill patient with a urinary retention. Excessive vomiting stemming from illnesses such as infection can lead to over. Med Surg Electrolytes Quizlet.
From browsegrades.net
ATI MED SURG FLUIDS AND ELECTROLYTES STUDY GUIDE Browsegrades Med Surg Electrolytes Quizlet study with quizlet and memorize flashcards containing terms like you're a nurse on a med/surg unit and just. study with quizlet and memorize flashcards containing terms like a nurse is caring fro a critically ill patient with a urinary retention. This specialized quiz is designed to assist nursing students and professionals in. Balance and disturbance you are caring. Med Surg Electrolytes Quizlet.
From www.studocu.com
Fluids Electrolytes Med Surg PDF Fluids & Electrolytes **Overview Med Surg Electrolytes Quizlet Excessive vomiting stemming from illnesses such as infection can lead to over excretion of water and the ions within it. welcome to our fluid and electrolyte nclex quiz. Balance and disturbance you are caring for a patient who has a diagnosis of syndrome of. This specialized quiz is designed to assist nursing students and professionals in. since electrolytes. Med Surg Electrolytes Quizlet.
From www.stuvia.com
Ati Med Surg Proctored Exam 2020 Study Guide / Fluid and Electrolytes Med Surg Electrolytes Quizlet since electrolytes are generally excreted from the body in the urine or feces, conditions affecting the amount of excretion can affect electrolyte concentrations consequently. This specialized quiz is designed to assist nursing students and professionals in. Balance and disturbance you are caring for a patient who has a diagnosis of syndrome of. study with quizlet and memorize flashcards. Med Surg Electrolytes Quizlet.
From www.etsy.com
Medsurg Study Guide Fluids and Electrolytes, Lab Values, Signs Med Surg Electrolytes Quizlet since electrolytes are generally excreted from the body in the urine or feces, conditions affecting the amount of excretion can affect electrolyte concentrations consequently. just released is “fluid and electrolytes notes, mnemonics, and quizzes by nurse sarah“. study with quizlet and memorize flashcards containing terms like a nurse is caring fro a critically ill patient with a. Med Surg Electrolytes Quizlet.
From www.etsy.com
Med Surg Fluid, Electrolytes and Abg's Etsy Med Surg Electrolytes Quizlet Excessive vomiting stemming from illnesses such as infection can lead to over excretion of water and the ions within it. since electrolytes are generally excreted from the body in the urine or feces, conditions affecting the amount of excretion can affect electrolyte concentrations consequently. Balance and disturbance you are caring for a patient who has a diagnosis of syndrome. Med Surg Electrolytes Quizlet.
From www.studocu.com
Chapter 10 Fluid and Electrolytes Chapter 10 Fluid and Electrolytes Med Surg Electrolytes Quizlet study with quizlet and memorize flashcards containing terms like what is the most important nutrient of. Excessive vomiting stemming from illnesses such as infection can lead to over excretion of water and the ions within it. study with quizlet and memorize flashcards containing terms like a nurse is caring fro a critically ill patient with a urinary retention.. Med Surg Electrolytes Quizlet.
From www.studocu.com
Med Surg Fluid and Electrolytes Fluid and Electrolytes Med Surg Med Surg Electrolytes Quizlet welcome to our fluid and electrolyte nclex quiz. since electrolytes are generally excreted from the body in the urine or feces, conditions affecting the amount of excretion can affect electrolyte concentrations consequently. This specialized quiz is designed to assist nursing students and professionals in. study with quizlet and memorize flashcards containing terms like a nurse is caring. Med Surg Electrolytes Quizlet.
From www.studocu.com
NR 324 Chapter 017 Med Surg electrolytes sheet3 Hypernatremia (main Med Surg Electrolytes Quizlet This specialized quiz is designed to assist nursing students and professionals in. welcome to our fluid and electrolyte nclex quiz. study with quizlet and memorize flashcards containing terms like what is the most important nutrient of. Excessive vomiting stemming from illnesses such as infection can lead to over excretion of water and the ions within it. just. Med Surg Electrolytes Quizlet.
From www.studocu.com
Fluid and electrolytes (hypovolemia) MED SURG (FLUID & ELECTROLYTE Med Surg Electrolytes Quizlet since electrolytes are generally excreted from the body in the urine or feces, conditions affecting the amount of excretion can affect electrolyte concentrations consequently. study with quizlet and memorize flashcards containing terms like a nurse is caring fro a critically ill patient with a urinary retention. This specialized quiz is designed to assist nursing students and professionals in.. Med Surg Electrolytes Quizlet.
From www.studocu.com
Med Surg Exam3 Study Guide Received Fluid and Electrolytes Chapter Med Surg Electrolytes Quizlet since electrolytes are generally excreted from the body in the urine or feces, conditions affecting the amount of excretion can affect electrolyte concentrations consequently. study with quizlet and memorize flashcards containing terms like a nurse is caring fro a critically ill patient with a urinary retention. study with quizlet and memorize flashcards containing terms like you're a. Med Surg Electrolytes Quizlet.
From www.studocu.com
medsurg electrolytes notes Ch. 16 Acidbase Balance and arterial Med Surg Electrolytes Quizlet study with quizlet and memorize flashcards containing terms like you're a nurse on a med/surg unit and just. study with quizlet and memorize flashcards containing terms like a nurse is caring fro a critically ill patient with a urinary retention. study with quizlet and memorize flashcards containing terms like what is the most important nutrient of. . Med Surg Electrolytes Quizlet.
From www.studypool.com
SOLUTION Ati med surg test questions fluid and electrolytes Studypool Med Surg Electrolytes Quizlet This specialized quiz is designed to assist nursing students and professionals in. study with quizlet and memorize flashcards containing terms like a nurse is caring fro a critically ill patient with a urinary retention. Excessive vomiting stemming from illnesses such as infection can lead to over excretion of water and the ions within it. welcome to our fluid. Med Surg Electrolytes Quizlet.