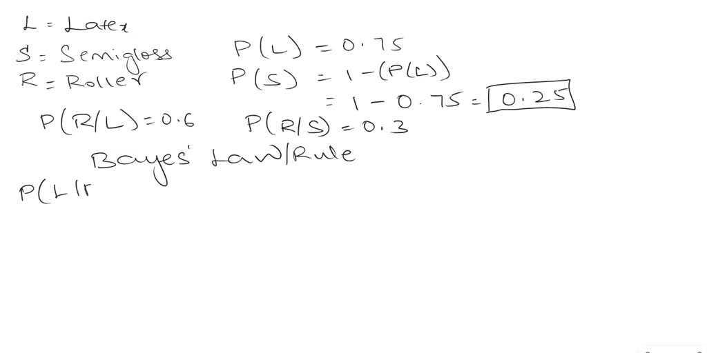
A Paint Store Chain Produces . To find the probability that the paint is latex, given that a roller and a can of paint were purchased, we can use conditional.
from www.chegg.com
To find the probability that the paint is latex, given that a roller and a can of paint were purchased, we can use conditional.
Solved 1. A paintstore chain produces and sells latex and
A Paint Store Chain Produces To find the probability that the paint is latex, given that a roller and a can of paint were purchased, we can use conditional. To find the probability that the paint is latex, given that a roller and a can of paint were purchased, we can use conditional.
From www.chegg.com
Solved A chain of paint store carries two brands of latex A Paint Store Chain Produces To find the probability that the paint is latex, given that a roller and a can of paint were purchased, we can use conditional. A Paint Store Chain Produces.
From fieldcheck.qandme.net
5 Important Notes When Choosing Paint Store Chain Management Software A Paint Store Chain Produces To find the probability that the paint is latex, given that a roller and a can of paint were purchased, we can use conditional. A Paint Store Chain Produces.
From fieldcheck.biz
5 Important Notes When Choosing Paint Store Chain Management Software A Paint Store Chain Produces To find the probability that the paint is latex, given that a roller and a can of paint were purchased, we can use conditional. A Paint Store Chain Produces.
From www.chegg.com
Solved 1 point 18. Q14) A paintstore chain produces and A Paint Store Chain Produces To find the probability that the paint is latex, given that a roller and a can of paint were purchased, we can use conditional. A Paint Store Chain Produces.
From www.chegg.com
Solved Question 6 A paintstore chain produces and sells A Paint Store Chain Produces To find the probability that the paint is latex, given that a roller and a can of paint were purchased, we can use conditional. A Paint Store Chain Produces.
From fieldcheck.qandme.net
5 Important Notes When Choosing Paint Store Chain Management Software A Paint Store Chain Produces To find the probability that the paint is latex, given that a roller and a can of paint were purchased, we can use conditional. A Paint Store Chain Produces.
From www.numerade.com
SOLVED A paintstore chain produces and sells latex and semigloss A Paint Store Chain Produces To find the probability that the paint is latex, given that a roller and a can of paint were purchased, we can use conditional. A Paint Store Chain Produces.
From www.chegg.com
Solved loss 5. A paintstore chain produces and sells latex A Paint Store Chain Produces To find the probability that the paint is latex, given that a roller and a can of paint were purchased, we can use conditional. A Paint Store Chain Produces.
From www.chegg.com
Solved A paintstore chain produces and sells latex and A Paint Store Chain Produces To find the probability that the paint is latex, given that a roller and a can of paint were purchased, we can use conditional. A Paint Store Chain Produces.
From www.chegg.com
Solved 1 point 18. Q14) A paintstore chain produces and A Paint Store Chain Produces To find the probability that the paint is latex, given that a roller and a can of paint were purchased, we can use conditional. A Paint Store Chain Produces.
From www.chegg.com
Solved Rainbow Paints operates a chain of retail paint A Paint Store Chain Produces To find the probability that the paint is latex, given that a roller and a can of paint were purchased, we can use conditional. A Paint Store Chain Produces.
From www.chegg.com
Solved A paintstore chain produces and sells latex and A Paint Store Chain Produces To find the probability that the paint is latex, given that a roller and a can of paint were purchased, we can use conditional. A Paint Store Chain Produces.
From www.chegg.com
Solved 4. A paintstore chain produces and sells latex and A Paint Store Chain Produces To find the probability that the paint is latex, given that a roller and a can of paint were purchased, we can use conditional. A Paint Store Chain Produces.
From fieldcheck.biz
5 Important Notes When Choosing Paint Store Chain Management Software A Paint Store Chain Produces To find the probability that the paint is latex, given that a roller and a can of paint were purchased, we can use conditional. A Paint Store Chain Produces.
From archive.triblive.com
ptrppgwest2102114 A Paint Store Chain Produces To find the probability that the paint is latex, given that a roller and a can of paint were purchased, we can use conditional. A Paint Store Chain Produces.
From fieldcheck.qandme.net
5 Important Notes When Choosing Paint Store Chain Management Software A Paint Store Chain Produces To find the probability that the paint is latex, given that a roller and a can of paint were purchased, we can use conditional. A Paint Store Chain Produces.
From www.chegg.com
Solved Question 6 A paintstore chain produces and sells A Paint Store Chain Produces To find the probability that the paint is latex, given that a roller and a can of paint were purchased, we can use conditional. A Paint Store Chain Produces.
From www.chegg.com
Solved 1. A paintstore chain produces and sells latex and A Paint Store Chain Produces To find the probability that the paint is latex, given that a roller and a can of paint were purchased, we can use conditional. A Paint Store Chain Produces.
From www.chegg.com
Solved 1 point 18. Q14) A paintstore chain produces and A Paint Store Chain Produces To find the probability that the paint is latex, given that a roller and a can of paint were purchased, we can use conditional. A Paint Store Chain Produces.
From mail.asia-plus.net
5 Important Notes When Choosing Paint Store Chain Management Software A Paint Store Chain Produces To find the probability that the paint is latex, given that a roller and a can of paint were purchased, we can use conditional. A Paint Store Chain Produces.
From www.dreamstime.com
SherwinWilliams Paint Storefront. American Chain that Manufactures A Paint Store Chain Produces To find the probability that the paint is latex, given that a roller and a can of paint were purchased, we can use conditional. A Paint Store Chain Produces.
From www.alamy.com
Paint chips or samples at a retail paint store chain Stock Photo Alamy A Paint Store Chain Produces To find the probability that the paint is latex, given that a roller and a can of paint were purchased, we can use conditional. A Paint Store Chain Produces.
From solvedlib.com
A paintstore chain produces and sells latex and semi… SolvedLib A Paint Store Chain Produces To find the probability that the paint is latex, given that a roller and a can of paint were purchased, we can use conditional. A Paint Store Chain Produces.
From www.chegg.com
Solved (12pts) A paintstore chain produces and sells latex A Paint Store Chain Produces To find the probability that the paint is latex, given that a roller and a can of paint were purchased, we can use conditional. A Paint Store Chain Produces.
From fieldcheck.biz
5 Important Notes When Choosing Paint Store Chain Management Software A Paint Store Chain Produces To find the probability that the paint is latex, given that a roller and a can of paint were purchased, we can use conditional. A Paint Store Chain Produces.
From www.thereflector.com
Locallyowned paint store chain partners with Fixer Upper star The A Paint Store Chain Produces To find the probability that the paint is latex, given that a roller and a can of paint were purchased, we can use conditional. A Paint Store Chain Produces.
From fieldcheck.biz
5 Important Notes When Choosing Paint Store Chain Management Software A Paint Store Chain Produces To find the probability that the paint is latex, given that a roller and a can of paint were purchased, we can use conditional. A Paint Store Chain Produces.
From fieldcheck.qandme.net
5 Important Notes When Choosing Paint Store Chain Management Software A Paint Store Chain Produces To find the probability that the paint is latex, given that a roller and a can of paint were purchased, we can use conditional. A Paint Store Chain Produces.
From www.youtube.com
New paint store concept Centro Procolor 3.0 YouTube A Paint Store Chain Produces To find the probability that the paint is latex, given that a roller and a can of paint were purchased, we can use conditional. A Paint Store Chain Produces.
From www.numerade.com
SOLVED A paintstore chain produces and sells latex and semigloss A Paint Store Chain Produces To find the probability that the paint is latex, given that a roller and a can of paint were purchased, we can use conditional. A Paint Store Chain Produces.
From www.slideserve.com
PPT SUPPLY CHAIN AND LOGISTICS MANAGEMENT PowerPoint Presentation A Paint Store Chain Produces To find the probability that the paint is latex, given that a roller and a can of paint were purchased, we can use conditional. A Paint Store Chain Produces.
From www.chegg.com
A paintstore chain produces and sells latex and A Paint Store Chain Produces To find the probability that the paint is latex, given that a roller and a can of paint were purchased, we can use conditional. A Paint Store Chain Produces.
From www.coursehero.com
[Solved] A paintstore chain produces and sells latex and semigloss A Paint Store Chain Produces To find the probability that the paint is latex, given that a roller and a can of paint were purchased, we can use conditional. A Paint Store Chain Produces.
From fieldcheck.qandme.net
5 Important Notes When Choosing Paint Store Chain Management Software A Paint Store Chain Produces To find the probability that the paint is latex, given that a roller and a can of paint were purchased, we can use conditional. A Paint Store Chain Produces.
From www.chegg.com
Solved A paintstore chain produces and sells latex and A Paint Store Chain Produces To find the probability that the paint is latex, given that a roller and a can of paint were purchased, we can use conditional. A Paint Store Chain Produces.