Water Ph Calculator . Ph and poh, environmental science. In this jc2 webinar we want to learn how to calculate the ph of water and deduce its nature at different temperatures. Free online ph calculator for acids, bases and salts. Calculations are based on hydrochemistry program phreeqc. It can convert ph to h +, as well as calculate ph. Next, determine the desired final ph (ph_f). Find expected ph for a given concentration simply by. From the source of lumen learning: The ph calculator tool provides expected ph values for a variety of common laboratory and industrial chemicals. A free water chemistry tool useful for achieving the desired mash ph and preferred water characteristics when brewing beer. With this ph calculator, you can determine the ph of a solution in a few ways. From the source of khan academy: First, determine the initial ph of the brewing water (ph_i).
from www.researchgate.net
In this jc2 webinar we want to learn how to calculate the ph of water and deduce its nature at different temperatures. The ph calculator tool provides expected ph values for a variety of common laboratory and industrial chemicals. From the source of khan academy: From the source of lumen learning: With this ph calculator, you can determine the ph of a solution in a few ways. Next, determine the desired final ph (ph_f). It can convert ph to h +, as well as calculate ph. Find expected ph for a given concentration simply by. First, determine the initial ph of the brewing water (ph_i). Free online ph calculator for acids, bases and salts.
Nomogram for calculation of standard water. Note. Developed by Phyllis
Water Ph Calculator With this ph calculator, you can determine the ph of a solution in a few ways. A free water chemistry tool useful for achieving the desired mash ph and preferred water characteristics when brewing beer. The ph calculator tool provides expected ph values for a variety of common laboratory and industrial chemicals. From the source of khan academy: From the source of lumen learning: Ph and poh, environmental science. It can convert ph to h +, as well as calculate ph. Find expected ph for a given concentration simply by. Next, determine the desired final ph (ph_f). Free online ph calculator for acids, bases and salts. In this jc2 webinar we want to learn how to calculate the ph of water and deduce its nature at different temperatures. Calculations are based on hydrochemistry program phreeqc. First, determine the initial ph of the brewing water (ph_i). With this ph calculator, you can determine the ph of a solution in a few ways.
From www.numerade.com
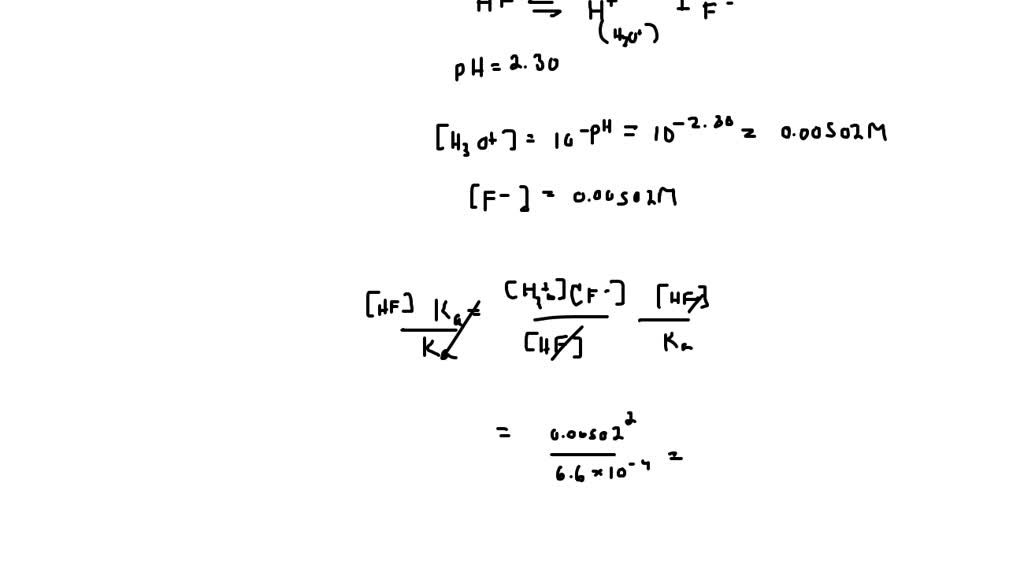
(a) Calculate the pH in a solution prepared by dissolving 0.050 mol of Water Ph Calculator With this ph calculator, you can determine the ph of a solution in a few ways. Find expected ph for a given concentration simply by. From the source of lumen learning: A free water chemistry tool useful for achieving the desired mash ph and preferred water characteristics when brewing beer. Ph and poh, environmental science. It can convert ph to. Water Ph Calculator.
From www.researchgate.net
Nomogram for calculation of standard water. Note. Developed by Phyllis Water Ph Calculator From the source of lumen learning: Free online ph calculator for acids, bases and salts. Find expected ph for a given concentration simply by. A free water chemistry tool useful for achieving the desired mash ph and preferred water characteristics when brewing beer. Next, determine the desired final ph (ph_f). The ph calculator tool provides expected ph values for a. Water Ph Calculator.
From learningmediaholloway.z13.web.core.windows.net
How To Calculate Ph On Calculator Water Ph Calculator Ph and poh, environmental science. From the source of lumen learning: A free water chemistry tool useful for achieving the desired mash ph and preferred water characteristics when brewing beer. Find expected ph for a given concentration simply by. In this jc2 webinar we want to learn how to calculate the ph of water and deduce its nature at different. Water Ph Calculator.
From www.oceanproperty.co.th
Water Quality 101 What Is PH In Water Testing?, 42 OFF Water Ph Calculator Calculations are based on hydrochemistry program phreeqc. It can convert ph to h +, as well as calculate ph. Free online ph calculator for acids, bases and salts. In this jc2 webinar we want to learn how to calculate the ph of water and deduce its nature at different temperatures. The ph calculator tool provides expected ph values for a. Water Ph Calculator.
From poolchemistrytraininginstitute.com
Borate Dose Calculation Charts for pools • Pool Chemistry Training Water Ph Calculator From the source of lumen learning: A free water chemistry tool useful for achieving the desired mash ph and preferred water characteristics when brewing beer. It can convert ph to h +, as well as calculate ph. Calculations are based on hydrochemistry program phreeqc. Next, determine the desired final ph (ph_f). Find expected ph for a given concentration simply by.. Water Ph Calculator.
From www.alibaba.com
Ble9902 Bluetooth Water Analyzer Multi Parameter Ph&ec Ph Conductivity Water Ph Calculator From the source of khan academy: In this jc2 webinar we want to learn how to calculate the ph of water and deduce its nature at different temperatures. Next, determine the desired final ph (ph_f). It can convert ph to h +, as well as calculate ph. Find expected ph for a given concentration simply by. From the source of. Water Ph Calculator.
From mueblesroad.com
Individualité vous agace Panda ph calculation formula Expérience Water Ph Calculator From the source of lumen learning: A free water chemistry tool useful for achieving the desired mash ph and preferred water characteristics when brewing beer. First, determine the initial ph of the brewing water (ph_i). With this ph calculator, you can determine the ph of a solution in a few ways. Ph and poh, environmental science. The ph calculator tool. Water Ph Calculator.
From netsolwater.com
What is pH in water? How is pH level measured Water Ph Calculator A free water chemistry tool useful for achieving the desired mash ph and preferred water characteristics when brewing beer. From the source of lumen learning: Find expected ph for a given concentration simply by. From the source of khan academy: It can convert ph to h +, as well as calculate ph. First, determine the initial ph of the brewing. Water Ph Calculator.
From quizzdbbiermann.z19.web.core.windows.net
How To Calculate Ph On Scientific Calculator Water Ph Calculator Free online ph calculator for acids, bases and salts. Next, determine the desired final ph (ph_f). In this jc2 webinar we want to learn how to calculate the ph of water and deduce its nature at different temperatures. With this ph calculator, you can determine the ph of a solution in a few ways. It can convert ph to h. Water Ph Calculator.
From chemistryguru.com.sg
How to Calculate pH of Water Water Ph Calculator It can convert ph to h +, as well as calculate ph. A free water chemistry tool useful for achieving the desired mash ph and preferred water characteristics when brewing beer. Ph and poh, environmental science. The ph calculator tool provides expected ph values for a variety of common laboratory and industrial chemicals. From the source of khan academy: Find. Water Ph Calculator.
From theeducationtraining.com
pH Calculator Definition, how to use, best tips and methods Water Ph Calculator Next, determine the desired final ph (ph_f). With this ph calculator, you can determine the ph of a solution in a few ways. Calculations are based on hydrochemistry program phreeqc. The ph calculator tool provides expected ph values for a variety of common laboratory and industrial chemicals. It can convert ph to h +, as well as calculate ph. From. Water Ph Calculator.
From www.numerade.com
(a) Use data from Tables 15.2 and 16.2 to calculate the solubility of Water Ph Calculator From the source of khan academy: From the source of lumen learning: With this ph calculator, you can determine the ph of a solution in a few ways. Calculations are based on hydrochemistry program phreeqc. Ph and poh, environmental science. Next, determine the desired final ph (ph_f). A free water chemistry tool useful for achieving the desired mash ph and. Water Ph Calculator.
From www.poolcalculator.com
Relationship Between pH and Total Alkalinity Pool Calculator Water Ph Calculator Find expected ph for a given concentration simply by. The ph calculator tool provides expected ph values for a variety of common laboratory and industrial chemicals. Ph and poh, environmental science. Calculations are based on hydrochemistry program phreeqc. A free water chemistry tool useful for achieving the desired mash ph and preferred water characteristics when brewing beer. It can convert. Water Ph Calculator.
From www.pinterest.com
The pH Scale Calculations with pH and pOH Notes and Worksheet Set Water Ph Calculator From the source of khan academy: In this jc2 webinar we want to learn how to calculate the ph of water and deduce its nature at different temperatures. Find expected ph for a given concentration simply by. Next, determine the desired final ph (ph_f). Ph and poh, environmental science. It can convert ph to h +, as well as calculate. Water Ph Calculator.
From www.youtube.com
IONIC EQUILIBRIUM LEC3Properties of water PH calculation chemistry Water Ph Calculator Calculations are based on hydrochemistry program phreeqc. Free online ph calculator for acids, bases and salts. With this ph calculator, you can determine the ph of a solution in a few ways. First, determine the initial ph of the brewing water (ph_i). Find expected ph for a given concentration simply by. The ph calculator tool provides expected ph values for. Water Ph Calculator.
From www.scical.net
pH Calculator Water Ph Calculator Next, determine the desired final ph (ph_f). The ph calculator tool provides expected ph values for a variety of common laboratory and industrial chemicals. It can convert ph to h +, as well as calculate ph. A free water chemistry tool useful for achieving the desired mash ph and preferred water characteristics when brewing beer. Free online ph calculator for. Water Ph Calculator.
From harvestseason.co.ke
Digital PH Meter Pen 0.0014.00 PH Tester Meter Accuracy Thermometer Water Ph Calculator Free online ph calculator for acids, bases and salts. It can convert ph to h +, as well as calculate ph. From the source of khan academy: Find expected ph for a given concentration simply by. A free water chemistry tool useful for achieving the desired mash ph and preferred water characteristics when brewing beer. Calculations are based on hydrochemistry. Water Ph Calculator.
From www.jnegroup.com
CO2 pH Correction & Wastewater Treatment JNE Environmental Water Ph Calculator Calculations are based on hydrochemistry program phreeqc. Free online ph calculator for acids, bases and salts. A free water chemistry tool useful for achieving the desired mash ph and preferred water characteristics when brewing beer. Ph and poh, environmental science. First, determine the initial ph of the brewing water (ph_i). The ph calculator tool provides expected ph values for a. Water Ph Calculator.
From www.ingridscience.ca
Water pH test ingridscience.ca Water Ph Calculator Free online ph calculator for acids, bases and salts. The ph calculator tool provides expected ph values for a variety of common laboratory and industrial chemicals. From the source of khan academy: Next, determine the desired final ph (ph_f). It can convert ph to h +, as well as calculate ph. Calculations are based on hydrochemistry program phreeqc. Find expected. Water Ph Calculator.
From www.youtube.com
IS the pH of PURE WATER always 7? pH of water calculation A Level Water Ph Calculator Find expected ph for a given concentration simply by. From the source of khan academy: Free online ph calculator for acids, bases and salts. With this ph calculator, you can determine the ph of a solution in a few ways. Ph and poh, environmental science. The ph calculator tool provides expected ph values for a variety of common laboratory and. Water Ph Calculator.
From www.alibaba.com
China Supplier 4 In 1 Ph/ec/cf/tds Portable Hardness Tester,Water Ph Water Ph Calculator It can convert ph to h +, as well as calculate ph. Ph and poh, environmental science. Free online ph calculator for acids, bases and salts. With this ph calculator, you can determine the ph of a solution in a few ways. A free water chemistry tool useful for achieving the desired mash ph and preferred water characteristics when brewing. Water Ph Calculator.
From www.tyentusa.com
Alkaline Water pH Levels A Quick Guide TyentUSA Water Ionizer Health Water Ph Calculator The ph calculator tool provides expected ph values for a variety of common laboratory and industrial chemicals. Calculations are based on hydrochemistry program phreeqc. With this ph calculator, you can determine the ph of a solution in a few ways. It can convert ph to h +, as well as calculate ph. From the source of lumen learning: Ph and. Water Ph Calculator.
From www.numerade.com
Calculate the pH of a solution that is prepared by dissolving 0.23 mol Water Ph Calculator Calculations are based on hydrochemistry program phreeqc. The ph calculator tool provides expected ph values for a variety of common laboratory and industrial chemicals. Ph and poh, environmental science. In this jc2 webinar we want to learn how to calculate the ph of water and deduce its nature at different temperatures. Free online ph calculator for acids, bases and salts.. Water Ph Calculator.
From lucianobrionesjr.blogspot.com
Luciano A.S. Blog Properties of Water pH video Water Ph Calculator Ph and poh, environmental science. In this jc2 webinar we want to learn how to calculate the ph of water and deduce its nature at different temperatures. Calculations are based on hydrochemistry program phreeqc. Next, determine the desired final ph (ph_f). It can convert ph to h +, as well as calculate ph. Free online ph calculator for acids, bases. Water Ph Calculator.
From ecampusontario.pressbooks.pub
16.4 Introduction to pH and pOH Enhanced Introductory College Chemistry Water Ph Calculator From the source of lumen learning: First, determine the initial ph of the brewing water (ph_i). Ph and poh, environmental science. Next, determine the desired final ph (ph_f). The ph calculator tool provides expected ph values for a variety of common laboratory and industrial chemicals. Free online ph calculator for acids, bases and salts. Calculations are based on hydrochemistry program. Water Ph Calculator.
From www.chegg.com
Solved Calculate the ph of the following weak acid/bases and Water Ph Calculator It can convert ph to h +, as well as calculate ph. First, determine the initial ph of the brewing water (ph_i). The ph calculator tool provides expected ph values for a variety of common laboratory and industrial chemicals. In this jc2 webinar we want to learn how to calculate the ph of water and deduce its nature at different. Water Ph Calculator.
From www.pinterest.com
Pin on Marijuana GROW Products Water Ph Calculator A free water chemistry tool useful for achieving the desired mash ph and preferred water characteristics when brewing beer. Ph and poh, environmental science. The ph calculator tool provides expected ph values for a variety of common laboratory and industrial chemicals. Free online ph calculator for acids, bases and salts. From the source of khan academy: Find expected ph for. Water Ph Calculator.
From www.youtube.com
Using a pH Meter Everything You Need to Know About pH YouTube Water Ph Calculator Free online ph calculator for acids, bases and salts. A free water chemistry tool useful for achieving the desired mash ph and preferred water characteristics when brewing beer. It can convert ph to h +, as well as calculate ph. Ph and poh, environmental science. From the source of khan academy: Calculations are based on hydrochemistry program phreeqc. Next, determine. Water Ph Calculator.
From www.coursehero.com
[Solved] Calculate the pH of the solution resulting from the addition Water Ph Calculator The ph calculator tool provides expected ph values for a variety of common laboratory and industrial chemicals. It can convert ph to h +, as well as calculate ph. In this jc2 webinar we want to learn how to calculate the ph of water and deduce its nature at different temperatures. A free water chemistry tool useful for achieving the. Water Ph Calculator.
From watertreatmentbasics.com
How to Raise pH Level in Pool Water? (3 Step Calculation) Water Ph Calculator A free water chemistry tool useful for achieving the desired mash ph and preferred water characteristics when brewing beer. Calculations are based on hydrochemistry program phreeqc. Next, determine the desired final ph (ph_f). From the source of khan academy: In this jc2 webinar we want to learn how to calculate the ph of water and deduce its nature at different. Water Ph Calculator.
From poolchemistrytraininginstitute.com
Free Pool Acid Dose Calculator Pool Chemistry Training Institute Water Ph Calculator With this ph calculator, you can determine the ph of a solution in a few ways. Ph and poh, environmental science. A free water chemistry tool useful for achieving the desired mash ph and preferred water characteristics when brewing beer. It can convert ph to h +, as well as calculate ph. From the source of khan academy: Next, determine. Water Ph Calculator.
From bazaroselee.blogspot.com
How to Calculate Ph Rose Lee Water Ph Calculator It can convert ph to h +, as well as calculate ph. From the source of khan academy: Find expected ph for a given concentration simply by. The ph calculator tool provides expected ph values for a variety of common laboratory and industrial chemicals. With this ph calculator, you can determine the ph of a solution in a few ways.. Water Ph Calculator.
From www.amazon.com
Alysontech Digital pH Meter, Water PH Test Meter with 0.00 Water Ph Calculator First, determine the initial ph of the brewing water (ph_i). Find expected ph for a given concentration simply by. Ph and poh, environmental science. From the source of lumen learning: With this ph calculator, you can determine the ph of a solution in a few ways. Calculations are based on hydrochemistry program phreeqc. Next, determine the desired final ph (ph_f).. Water Ph Calculator.
From laprentissdemond.com
Qure Water PH test...Is this the best water For Your Health? Water Ph Calculator It can convert ph to h +, as well as calculate ph. From the source of lumen learning: Find expected ph for a given concentration simply by. With this ph calculator, you can determine the ph of a solution in a few ways. Ph and poh, environmental science. Calculations are based on hydrochemistry program phreeqc. First, determine the initial ph. Water Ph Calculator.
From www.slideserve.com
PPT ACIDS PowerPoint Presentation, free download ID3535313 Water Ph Calculator Ph and poh, environmental science. First, determine the initial ph of the brewing water (ph_i). Calculations are based on hydrochemistry program phreeqc. In this jc2 webinar we want to learn how to calculate the ph of water and deduce its nature at different temperatures. From the source of lumen learning: Free online ph calculator for acids, bases and salts. A. Water Ph Calculator.