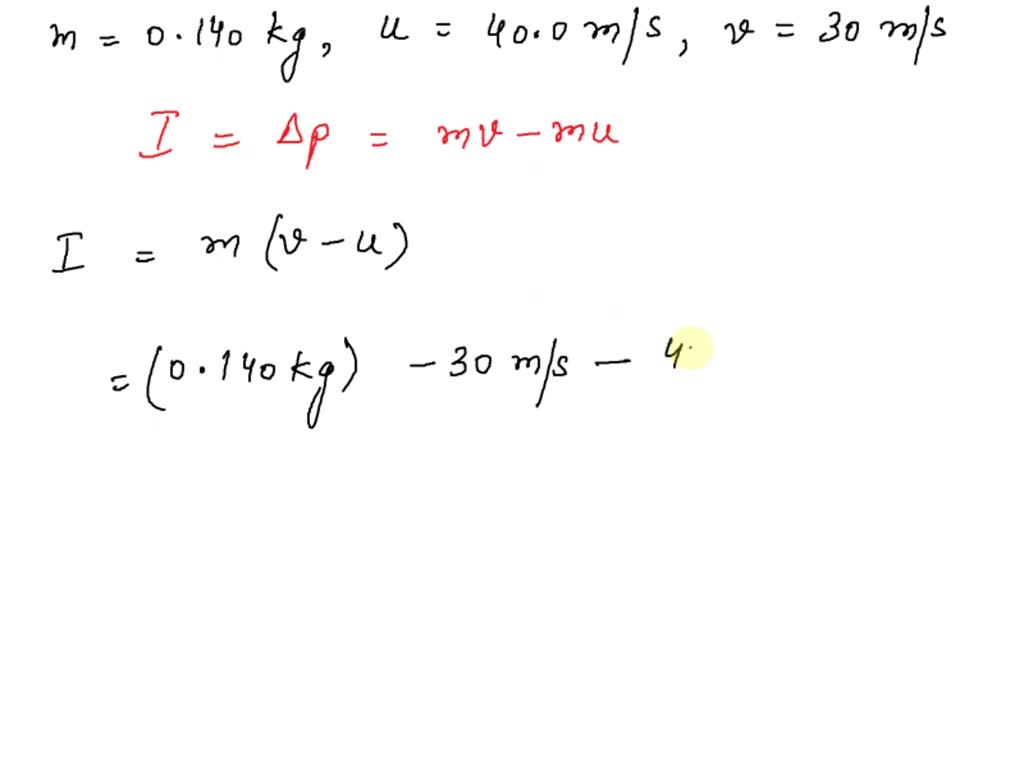
A Batter Hits A .140 Kg Baseball . It strikes the catcher's mitt as it crosses the plate at 45. As a result the ball leaves the bat at 30.0 m/s in the direction of the pitcher. a batter hits a 0.140 kg baseball that was approaching him at 40 m/s and as a result, the ball leaves the bat at 30 m/s in the direction. There's a baseball with a mass m1 of 0.
from www.dreamstime.com
There's a baseball with a mass m1 of 0. It strikes the catcher's mitt as it crosses the plate at 45. a batter hits a 0.140 kg baseball that was approaching him at 40 m/s and as a result, the ball leaves the bat at 30 m/s in the direction. As a result the ball leaves the bat at 30.0 m/s in the direction of the pitcher.
Portrait of Baseball Batter Hitting the Ball Stock Photo Image of
A Batter Hits A .140 Kg Baseball It strikes the catcher's mitt as it crosses the plate at 45. a batter hits a 0.140 kg baseball that was approaching him at 40 m/s and as a result, the ball leaves the bat at 30 m/s in the direction. There's a baseball with a mass m1 of 0. It strikes the catcher's mitt as it crosses the plate at 45. As a result the ball leaves the bat at 30.0 m/s in the direction of the pitcher.
From baseballrulesacademy.com
The batter hits a pitch off of his body, the ball pops into the air and A Batter Hits A .140 Kg Baseball a batter hits a 0.140 kg baseball that was approaching him at 40 m/s and as a result, the ball leaves the bat at 30 m/s in the direction. As a result the ball leaves the bat at 30.0 m/s in the direction of the pitcher. It strikes the catcher's mitt as it crosses the plate at 45. There's. A Batter Hits A .140 Kg Baseball.
From www.toppr.com
A 140 g ball, in horizontal flight with a speed of 39.0 m/s , is struck A Batter Hits A .140 Kg Baseball It strikes the catcher's mitt as it crosses the plate at 45. a batter hits a 0.140 kg baseball that was approaching him at 40 m/s and as a result, the ball leaves the bat at 30 m/s in the direction. As a result the ball leaves the bat at 30.0 m/s in the direction of the pitcher. There's. A Batter Hits A .140 Kg Baseball.
From www.numerade.com
A pitcher throws a 0.140kg baseball, and it approaches the bat at a A Batter Hits A .140 Kg Baseball There's a baseball with a mass m1 of 0. a batter hits a 0.140 kg baseball that was approaching him at 40 m/s and as a result, the ball leaves the bat at 30 m/s in the direction. It strikes the catcher's mitt as it crosses the plate at 45. As a result the ball leaves the bat at. A Batter Hits A .140 Kg Baseball.
From brainly.com
A batter hits a baseball into the air. the height of the ball, in feet A Batter Hits A .140 Kg Baseball It strikes the catcher's mitt as it crosses the plate at 45. a batter hits a 0.140 kg baseball that was approaching him at 40 m/s and as a result, the ball leaves the bat at 30 m/s in the direction. As a result the ball leaves the bat at 30.0 m/s in the direction of the pitcher. There's. A Batter Hits A .140 Kg Baseball.
From www.dreamstime.com
Baseball Batter Hitting editorial photography. Image of mask 96883917 A Batter Hits A .140 Kg Baseball As a result the ball leaves the bat at 30.0 m/s in the direction of the pitcher. There's a baseball with a mass m1 of 0. It strikes the catcher's mitt as it crosses the plate at 45. a batter hits a 0.140 kg baseball that was approaching him at 40 m/s and as a result, the ball leaves. A Batter Hits A .140 Kg Baseball.
From baseballrulesacademy.com
A batter is hit by the pitch. Baseball Rules Academy A Batter Hits A .140 Kg Baseball There's a baseball with a mass m1 of 0. a batter hits a 0.140 kg baseball that was approaching him at 40 m/s and as a result, the ball leaves the bat at 30 m/s in the direction. It strikes the catcher's mitt as it crosses the plate at 45. As a result the ball leaves the bat at. A Batter Hits A .140 Kg Baseball.
From www.thoughtco.com
StepbyStep Basic Hitting How To Hit A Baseball A Batter Hits A .140 Kg Baseball It strikes the catcher's mitt as it crosses the plate at 45. There's a baseball with a mass m1 of 0. a batter hits a 0.140 kg baseball that was approaching him at 40 m/s and as a result, the ball leaves the bat at 30 m/s in the direction. As a result the ball leaves the bat at. A Batter Hits A .140 Kg Baseball.
From www.alamy.com
Baseball batter hits the ball, ball touching the baseball bat Stock A Batter Hits A .140 Kg Baseball It strikes the catcher's mitt as it crosses the plate at 45. As a result the ball leaves the bat at 30.0 m/s in the direction of the pitcher. There's a baseball with a mass m1 of 0. a batter hits a 0.140 kg baseball that was approaching him at 40 m/s and as a result, the ball leaves. A Batter Hits A .140 Kg Baseball.
From www.numerade.com
SOLVED A batter hits a foul ball. The 0.140kg baseball that was A Batter Hits A .140 Kg Baseball There's a baseball with a mass m1 of 0. a batter hits a 0.140 kg baseball that was approaching him at 40 m/s and as a result, the ball leaves the bat at 30 m/s in the direction. As a result the ball leaves the bat at 30.0 m/s in the direction of the pitcher. It strikes the catcher's. A Batter Hits A .140 Kg Baseball.
From pxhere.com
Free Images action, playing, baseball field, pitch, bunting, batter A Batter Hits A .140 Kg Baseball It strikes the catcher's mitt as it crosses the plate at 45. As a result the ball leaves the bat at 30.0 m/s in the direction of the pitcher. There's a baseball with a mass m1 of 0. a batter hits a 0.140 kg baseball that was approaching him at 40 m/s and as a result, the ball leaves. A Batter Hits A .140 Kg Baseball.
From www.dreamstime.com
Batter Hits a Ball during Baseball Game. Editorial Photo Image of A Batter Hits A .140 Kg Baseball As a result the ball leaves the bat at 30.0 m/s in the direction of the pitcher. There's a baseball with a mass m1 of 0. It strikes the catcher's mitt as it crosses the plate at 45. a batter hits a 0.140 kg baseball that was approaching him at 40 m/s and as a result, the ball leaves. A Batter Hits A .140 Kg Baseball.
From www.dreamstime.com
Portrait of Baseball Batter Hitting the Ball Stock Photo Image of A Batter Hits A .140 Kg Baseball There's a baseball with a mass m1 of 0. It strikes the catcher's mitt as it crosses the plate at 45. As a result the ball leaves the bat at 30.0 m/s in the direction of the pitcher. a batter hits a 0.140 kg baseball that was approaching him at 40 m/s and as a result, the ball leaves. A Batter Hits A .140 Kg Baseball.
From www.numerade.com
SOLVED A batter hits a 0.140kg baseball that was approaching him at A Batter Hits A .140 Kg Baseball It strikes the catcher's mitt as it crosses the plate at 45. There's a baseball with a mass m1 of 0. a batter hits a 0.140 kg baseball that was approaching him at 40 m/s and as a result, the ball leaves the bat at 30 m/s in the direction. As a result the ball leaves the bat at. A Batter Hits A .140 Kg Baseball.
From www.alamy.com
Baseball Softball Action Little league batter hits ball Stock Photo Alamy A Batter Hits A .140 Kg Baseball As a result the ball leaves the bat at 30.0 m/s in the direction of the pitcher. It strikes the catcher's mitt as it crosses the plate at 45. There's a baseball with a mass m1 of 0. a batter hits a 0.140 kg baseball that was approaching him at 40 m/s and as a result, the ball leaves. A Batter Hits A .140 Kg Baseball.
From www.chegg.com
Solved A 0.140kg baseball is dropped and reaches a velocity A Batter Hits A .140 Kg Baseball a batter hits a 0.140 kg baseball that was approaching him at 40 m/s and as a result, the ball leaves the bat at 30 m/s in the direction. As a result the ball leaves the bat at 30.0 m/s in the direction of the pitcher. There's a baseball with a mass m1 of 0. It strikes the catcher's. A Batter Hits A .140 Kg Baseball.
From exovvzrwm.blob.core.windows.net
Baseball Bat Hitting A Baseball at Jasmine Parker blog A Batter Hits A .140 Kg Baseball It strikes the catcher's mitt as it crosses the plate at 45. As a result the ball leaves the bat at 30.0 m/s in the direction of the pitcher. There's a baseball with a mass m1 of 0. a batter hits a 0.140 kg baseball that was approaching him at 40 m/s and as a result, the ball leaves. A Batter Hits A .140 Kg Baseball.
From www.chegg.com
Solved A batter hits a 0.140kg baseball that was A Batter Hits A .140 Kg Baseball a batter hits a 0.140 kg baseball that was approaching him at 40 m/s and as a result, the ball leaves the bat at 30 m/s in the direction. There's a baseball with a mass m1 of 0. As a result the ball leaves the bat at 30.0 m/s in the direction of the pitcher. It strikes the catcher's. A Batter Hits A .140 Kg Baseball.
From pxhere.com
Free Images play, action, plate, swing, baseball field, pitch, batter A Batter Hits A .140 Kg Baseball There's a baseball with a mass m1 of 0. As a result the ball leaves the bat at 30.0 m/s in the direction of the pitcher. It strikes the catcher's mitt as it crosses the plate at 45. a batter hits a 0.140 kg baseball that was approaching him at 40 m/s and as a result, the ball leaves. A Batter Hits A .140 Kg Baseball.
From www.bigstockphoto.com
Young Batter Hitting Image & Photo (Free Trial) Bigstock A Batter Hits A .140 Kg Baseball It strikes the catcher's mitt as it crosses the plate at 45. As a result the ball leaves the bat at 30.0 m/s in the direction of the pitcher. a batter hits a 0.140 kg baseball that was approaching him at 40 m/s and as a result, the ball leaves the bat at 30 m/s in the direction. There's. A Batter Hits A .140 Kg Baseball.
From www.youtube.com
A batter hits a baseball with an initial speed of 28 m\/s at a 55 A Batter Hits A .140 Kg Baseball It strikes the catcher's mitt as it crosses the plate at 45. a batter hits a 0.140 kg baseball that was approaching him at 40 m/s and as a result, the ball leaves the bat at 30 m/s in the direction. As a result the ball leaves the bat at 30.0 m/s in the direction of the pitcher. There's. A Batter Hits A .140 Kg Baseball.
From www.flickr.com
4216623589 Batter Hitting Baseball Image by © Royalty… Flickr A Batter Hits A .140 Kg Baseball a batter hits a 0.140 kg baseball that was approaching him at 40 m/s and as a result, the ball leaves the bat at 30 m/s in the direction. There's a baseball with a mass m1 of 0. As a result the ball leaves the bat at 30.0 m/s in the direction of the pitcher. It strikes the catcher's. A Batter Hits A .140 Kg Baseball.
From www.wisegeek.com
What is a Designated Hitter? (with pictures) A Batter Hits A .140 Kg Baseball It strikes the catcher's mitt as it crosses the plate at 45. As a result the ball leaves the bat at 30.0 m/s in the direction of the pitcher. There's a baseball with a mass m1 of 0. a batter hits a 0.140 kg baseball that was approaching him at 40 m/s and as a result, the ball leaves. A Batter Hits A .140 Kg Baseball.
From www.alamy.com
Batter and pitcher hires stock photography and images Alamy A Batter Hits A .140 Kg Baseball There's a baseball with a mass m1 of 0. It strikes the catcher's mitt as it crosses the plate at 45. As a result the ball leaves the bat at 30.0 m/s in the direction of the pitcher. a batter hits a 0.140 kg baseball that was approaching him at 40 m/s and as a result, the ball leaves. A Batter Hits A .140 Kg Baseball.
From cetploow.blob.core.windows.net
Baseball Bat Hitting at William Sullivan blog A Batter Hits A .140 Kg Baseball It strikes the catcher's mitt as it crosses the plate at 45. a batter hits a 0.140 kg baseball that was approaching him at 40 m/s and as a result, the ball leaves the bat at 30 m/s in the direction. As a result the ball leaves the bat at 30.0 m/s in the direction of the pitcher. There's. A Batter Hits A .140 Kg Baseball.
From depositphotos.com
Baseball Player Hitting Ball Bat Close Stock Photo by ©razihusin 307000168 A Batter Hits A .140 Kg Baseball a batter hits a 0.140 kg baseball that was approaching him at 40 m/s and as a result, the ball leaves the bat at 30 m/s in the direction. It strikes the catcher's mitt as it crosses the plate at 45. There's a baseball with a mass m1 of 0. As a result the ball leaves the bat at. A Batter Hits A .140 Kg Baseball.
From www.alamy.com
Baseball Batter Swing High Resolution Stock Photography and Images Alamy A Batter Hits A .140 Kg Baseball As a result the ball leaves the bat at 30.0 m/s in the direction of the pitcher. There's a baseball with a mass m1 of 0. It strikes the catcher's mitt as it crosses the plate at 45. a batter hits a 0.140 kg baseball that was approaching him at 40 m/s and as a result, the ball leaves. A Batter Hits A .140 Kg Baseball.
From www.netrakc.com.np
A batter hits a baseball so that it leaves the bat with an initial A Batter Hits A .140 Kg Baseball a batter hits a 0.140 kg baseball that was approaching him at 40 m/s and as a result, the ball leaves the bat at 30 m/s in the direction. As a result the ball leaves the bat at 30.0 m/s in the direction of the pitcher. There's a baseball with a mass m1 of 0. It strikes the catcher's. A Batter Hits A .140 Kg Baseball.
From lendingcoach.net
Hitter Hit Baseball Player Sport Batter Hitting The Lending Coach A Batter Hits A .140 Kg Baseball It strikes the catcher's mitt as it crosses the plate at 45. a batter hits a 0.140 kg baseball that was approaching him at 40 m/s and as a result, the ball leaves the bat at 30 m/s in the direction. As a result the ball leaves the bat at 30.0 m/s in the direction of the pitcher. There's. A Batter Hits A .140 Kg Baseball.
From banana1015.com
Batter Hit By Pitch, Catches Ball, Throws It Back To Pitcher [VIDEO] A Batter Hits A .140 Kg Baseball There's a baseball with a mass m1 of 0. As a result the ball leaves the bat at 30.0 m/s in the direction of the pitcher. It strikes the catcher's mitt as it crosses the plate at 45. a batter hits a 0.140 kg baseball that was approaching him at 40 m/s and as a result, the ball leaves. A Batter Hits A .140 Kg Baseball.
From www.youtube.com
PHYSICS 17 In baseball, a bat hits a 0.10 kilogram ball moving with 5 A Batter Hits A .140 Kg Baseball As a result the ball leaves the bat at 30.0 m/s in the direction of the pitcher. a batter hits a 0.140 kg baseball that was approaching him at 40 m/s and as a result, the ball leaves the bat at 30 m/s in the direction. There's a baseball with a mass m1 of 0. It strikes the catcher's. A Batter Hits A .140 Kg Baseball.
From www.chegg.com
Solved A batter hits a 0.140kg baseball that was A Batter Hits A .140 Kg Baseball There's a baseball with a mass m1 of 0. a batter hits a 0.140 kg baseball that was approaching him at 40 m/s and as a result, the ball leaves the bat at 30 m/s in the direction. As a result the ball leaves the bat at 30.0 m/s in the direction of the pitcher. It strikes the catcher's. A Batter Hits A .140 Kg Baseball.
From www.chegg.com
Solved 4). batter hits a 0.140kg baseball that was A Batter Hits A .140 Kg Baseball a batter hits a 0.140 kg baseball that was approaching him at 40 m/s and as a result, the ball leaves the bat at 30 m/s in the direction. There's a baseball with a mass m1 of 0. As a result the ball leaves the bat at 30.0 m/s in the direction of the pitcher. It strikes the catcher's. A Batter Hits A .140 Kg Baseball.
From www.chegg.com
Solved LA batter hits a .140 kg baseball that was A Batter Hits A .140 Kg Baseball It strikes the catcher's mitt as it crosses the plate at 45. There's a baseball with a mass m1 of 0. a batter hits a 0.140 kg baseball that was approaching him at 40 m/s and as a result, the ball leaves the bat at 30 m/s in the direction. As a result the ball leaves the bat at. A Batter Hits A .140 Kg Baseball.
From www.sfchronicle.com
A's batters playing a leading role in MLB's hitbypitch parade A Batter Hits A .140 Kg Baseball As a result the ball leaves the bat at 30.0 m/s in the direction of the pitcher. There's a baseball with a mass m1 of 0. a batter hits a 0.140 kg baseball that was approaching him at 40 m/s and as a result, the ball leaves the bat at 30 m/s in the direction. It strikes the catcher's. A Batter Hits A .140 Kg Baseball.
From baseballrulesacademy.com
A ball struck by the batter hits him inside while in the batter's box A Batter Hits A .140 Kg Baseball There's a baseball with a mass m1 of 0. As a result the ball leaves the bat at 30.0 m/s in the direction of the pitcher. a batter hits a 0.140 kg baseball that was approaching him at 40 m/s and as a result, the ball leaves the bat at 30 m/s in the direction. It strikes the catcher's. A Batter Hits A .140 Kg Baseball.