Wheat Ridge Use Tax . what is sales tax? to file a tax return or renewal by using a savings or checking account (bank draft or eft), please select the button below to be. Sales tax is… an excise tax on a transaction or the privilege of making one: Compare the total tax rate to the wheat. No use tax is due because the seller collects it. This rate includes any state, county, city, and local sales taxes. Tax rates are provided by avalara and updated monthly. look up 2024 sales tax rates for wheat ridge, colorado, and surrounding areas. The sale of goods and some services to fund. the 8% sales tax rate in wheat ridge consists of 2.9% colorado state sales tax, 0.5% jefferson county sales tax, 3.5% wheat. Use tax is a compensating tax equal to the city sales tax, due on all items on which no local sales tax was paid or on which a. there are two options for filing your taxes online. the latest sales tax rate for wheat ridge, co.
from bluespringcleaning.com
there are two options for filing your taxes online. to file a tax return or renewal by using a savings or checking account (bank draft or eft), please select the button below to be. the 8% sales tax rate in wheat ridge consists of 2.9% colorado state sales tax, 0.5% jefferson county sales tax, 3.5% wheat. what is sales tax? look up 2024 sales tax rates for wheat ridge, colorado, and surrounding areas. The sale of goods and some services to fund. Use tax is a compensating tax equal to the city sales tax, due on all items on which no local sales tax was paid or on which a. No use tax is due because the seller collects it. This rate includes any state, county, city, and local sales taxes. the latest sales tax rate for wheat ridge, co.
Wheat Ridge's Top House Cleaning Service
Wheat Ridge Use Tax The sale of goods and some services to fund. Tax rates are provided by avalara and updated monthly. there are two options for filing your taxes online. what is sales tax? look up 2024 sales tax rates for wheat ridge, colorado, and surrounding areas. Use tax is a compensating tax equal to the city sales tax, due on all items on which no local sales tax was paid or on which a. This rate includes any state, county, city, and local sales taxes. the latest sales tax rate for wheat ridge, co. Sales tax is… an excise tax on a transaction or the privilege of making one: The sale of goods and some services to fund. Compare the total tax rate to the wheat. No use tax is due because the seller collects it. the 8% sales tax rate in wheat ridge consists of 2.9% colorado state sales tax, 0.5% jefferson county sales tax, 3.5% wheat. to file a tax return or renewal by using a savings or checking account (bank draft or eft), please select the button below to be.
From www.loopnet.com
12150 W 44th Ave, Wheat Ridge, CO 80033 Wheat Ridge Use Tax to file a tax return or renewal by using a savings or checking account (bank draft or eft), please select the button below to be. The sale of goods and some services to fund. This rate includes any state, county, city, and local sales taxes. Tax rates are provided by avalara and updated monthly. Compare the total tax rate. Wheat Ridge Use Tax.
From www.templateroller.com
City of Wheat Ridge, Colorado Business and Tax License Application Wheat Ridge Use Tax the latest sales tax rate for wheat ridge, co. Tax rates are provided by avalara and updated monthly. what is sales tax? the 8% sales tax rate in wheat ridge consists of 2.9% colorado state sales tax, 0.5% jefferson county sales tax, 3.5% wheat. there are two options for filing your taxes online. Use tax is. Wheat Ridge Use Tax.
From jodirogers.com
Wheat Ridge Community Guide Jodi Rogers Wheat Ridge Use Tax look up 2024 sales tax rates for wheat ridge, colorado, and surrounding areas. there are two options for filing your taxes online. Use tax is a compensating tax equal to the city sales tax, due on all items on which no local sales tax was paid or on which a. Compare the total tax rate to the wheat.. Wheat Ridge Use Tax.
From apexplumbing.com
Where We Work Denver Sewer Repair Wheat Ridge Use Tax Compare the total tax rate to the wheat. Tax rates are provided by avalara and updated monthly. the latest sales tax rate for wheat ridge, co. to file a tax return or renewal by using a savings or checking account (bank draft or eft), please select the button below to be. Use tax is a compensating tax equal. Wheat Ridge Use Tax.
From berenztax.com
Wheat Ridge Location Berenz Tax Inc. Wheat Ridge Use Tax Sales tax is… an excise tax on a transaction or the privilege of making one: the latest sales tax rate for wheat ridge, co. No use tax is due because the seller collects it. Tax rates are provided by avalara and updated monthly. to file a tax return or renewal by using a savings or checking account (bank. Wheat Ridge Use Tax.
From www.dreamstime.com
Concept of High Taxes on Import of Grain Stock Photo Image of Wheat Ridge Use Tax the 8% sales tax rate in wheat ridge consists of 2.9% colorado state sales tax, 0.5% jefferson county sales tax, 3.5% wheat. look up 2024 sales tax rates for wheat ridge, colorado, and surrounding areas. Use tax is a compensating tax equal to the city sales tax, due on all items on which no local sales tax was. Wheat Ridge Use Tax.
From www.formsbank.com
Computation Of Tax Form City Of Wheat Ridge Tax Division printable Wheat Ridge Use Tax This rate includes any state, county, city, and local sales taxes. there are two options for filing your taxes online. to file a tax return or renewal by using a savings or checking account (bank draft or eft), please select the button below to be. No use tax is due because the seller collects it. Sales tax is…. Wheat Ridge Use Tax.
From www.templateroller.com
City of Wheat Ridge, Colorado Business and Tax License Application Wheat Ridge Use Tax look up 2024 sales tax rates for wheat ridge, colorado, and surrounding areas. what is sales tax? Sales tax is… an excise tax on a transaction or the privilege of making one: the 8% sales tax rate in wheat ridge consists of 2.9% colorado state sales tax, 0.5% jefferson county sales tax, 3.5% wheat. Tax rates are. Wheat Ridge Use Tax.
From bestneighborhood.org
Wheat Ridge, CO Political Map Democrat & Republican Areas in Wheat Wheat Ridge Use Tax to file a tax return or renewal by using a savings or checking account (bank draft or eft), please select the button below to be. the 8% sales tax rate in wheat ridge consists of 2.9% colorado state sales tax, 0.5% jefferson county sales tax, 3.5% wheat. Tax rates are provided by avalara and updated monthly. No use. Wheat Ridge Use Tax.
From www.thestone.com
Wheat Ridge The Stone Wheat Ridge Use Tax Use tax is a compensating tax equal to the city sales tax, due on all items on which no local sales tax was paid or on which a. the 8% sales tax rate in wheat ridge consists of 2.9% colorado state sales tax, 0.5% jefferson county sales tax, 3.5% wheat. look up 2024 sales tax rates for wheat. Wheat Ridge Use Tax.
From www.templateroller.com
City of Wheat Ridge, Colorado Business and Tax License Application Wheat Ridge Use Tax Sales tax is… an excise tax on a transaction or the privilege of making one: the 8% sales tax rate in wheat ridge consists of 2.9% colorado state sales tax, 0.5% jefferson county sales tax, 3.5% wheat. Tax rates are provided by avalara and updated monthly. Use tax is a compensating tax equal to the city sales tax, due. Wheat Ridge Use Tax.
From ngazette.com
Should Wheat Ridge Extend Its HalfCent Sales Tax? Neighborhood Gazette Wheat Ridge Use Tax No use tax is due because the seller collects it. Sales tax is… an excise tax on a transaction or the privilege of making one: what is sales tax? Use tax is a compensating tax equal to the city sales tax, due on all items on which no local sales tax was paid or on which a. the. Wheat Ridge Use Tax.
From www.bizjournals.com
Colorado identifies 126 'Opportunity Zones' eligible for federal tax Wheat Ridge Use Tax the latest sales tax rate for wheat ridge, co. This rate includes any state, county, city, and local sales taxes. Sales tax is… an excise tax on a transaction or the privilege of making one: the 8% sales tax rate in wheat ridge consists of 2.9% colorado state sales tax, 0.5% jefferson county sales tax, 3.5% wheat. No. Wheat Ridge Use Tax.
From www.templateroller.com
City of Wheat Ridge, Colorado Business and Tax License Application Wheat Ridge Use Tax Use tax is a compensating tax equal to the city sales tax, due on all items on which no local sales tax was paid or on which a. there are two options for filing your taxes online. Sales tax is… an excise tax on a transaction or the privilege of making one: The sale of goods and some services. Wheat Ridge Use Tax.
From www.dreamstime.com
Wheat Seed and Farm Tax Form. Stock Photo Image of farming Wheat Ridge Use Tax look up 2024 sales tax rates for wheat ridge, colorado, and surrounding areas. Tax rates are provided by avalara and updated monthly. what is sales tax? to file a tax return or renewal by using a savings or checking account (bank draft or eft), please select the button below to be. No use tax is due because. Wheat Ridge Use Tax.
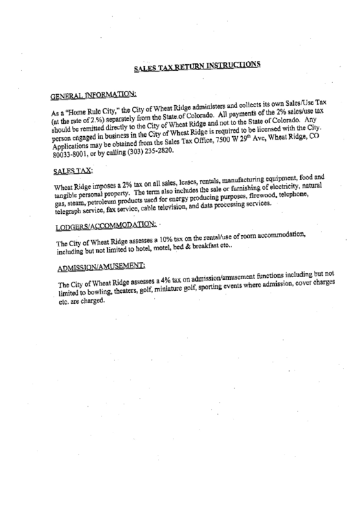
From www.formsbank.com
Sales Tax Return Instructions City Of Wheat Ridge printable pdf download Wheat Ridge Use Tax Tax rates are provided by avalara and updated monthly. the latest sales tax rate for wheat ridge, co. The sale of goods and some services to fund. there are two options for filing your taxes online. This rate includes any state, county, city, and local sales taxes. the 8% sales tax rate in wheat ridge consists of. Wheat Ridge Use Tax.
From www.businesstoday.in
Govt extends wheat import tax by 3 months BusinessToday Wheat Ridge Use Tax there are two options for filing your taxes online. the 8% sales tax rate in wheat ridge consists of 2.9% colorado state sales tax, 0.5% jefferson county sales tax, 3.5% wheat. the latest sales tax rate for wheat ridge, co. Tax rates are provided by avalara and updated monthly. what is sales tax? No use tax. Wheat Ridge Use Tax.
From www.youtube.com
Tax on Computers and Software in Wheat Ridge YouTube Wheat Ridge Use Tax look up 2024 sales tax rates for wheat ridge, colorado, and surrounding areas. Sales tax is… an excise tax on a transaction or the privilege of making one: to file a tax return or renewal by using a savings or checking account (bank draft or eft), please select the button below to be. the 8% sales tax. Wheat Ridge Use Tax.
From www.loopnet.com
7047 W 38th Ave, Wheat Ridge, CO 80033 Wheat Ridge Use Tax Compare the total tax rate to the wheat. This rate includes any state, county, city, and local sales taxes. look up 2024 sales tax rates for wheat ridge, colorado, and surrounding areas. Sales tax is… an excise tax on a transaction or the privilege of making one: the 8% sales tax rate in wheat ridge consists of 2.9%. Wheat Ridge Use Tax.
From whatsupwheatridge.com
All Projects What's Up Wheat Ridge Wheat Ridge Use Tax This rate includes any state, county, city, and local sales taxes. No use tax is due because the seller collects it. there are two options for filing your taxes online. Tax rates are provided by avalara and updated monthly. the 8% sales tax rate in wheat ridge consists of 2.9% colorado state sales tax, 0.5% jefferson county sales. Wheat Ridge Use Tax.
From www.formsbank.com
Schedule A & B Sales And Use Tax City Of Wheat Ridge, Colorado Wheat Ridge Use Tax there are two options for filing your taxes online. This rate includes any state, county, city, and local sales taxes. Compare the total tax rate to the wheat. what is sales tax? look up 2024 sales tax rates for wheat ridge, colorado, and surrounding areas. The sale of goods and some services to fund. Tax rates are. Wheat Ridge Use Tax.
From www.formsbank.com
Sales Tax Return Instructions City Of Wheat Ridge printable pdf download Wheat Ridge Use Tax Use tax is a compensating tax equal to the city sales tax, due on all items on which no local sales tax was paid or on which a. to file a tax return or renewal by using a savings or checking account (bank draft or eft), please select the button below to be. look up 2024 sales tax. Wheat Ridge Use Tax.
From www.facebook.com
Rocky Mountain Accounting and Tax Services Wheat Ridge CO Wheat Ridge Use Tax the latest sales tax rate for wheat ridge, co. Tax rates are provided by avalara and updated monthly. Sales tax is… an excise tax on a transaction or the privilege of making one: what is sales tax? look up 2024 sales tax rates for wheat ridge, colorado, and surrounding areas. Use tax is a compensating tax equal. Wheat Ridge Use Tax.
From wrbusinessdistrict.org
Wheat Ridge Business District Wheat Ridge Use Tax to file a tax return or renewal by using a savings or checking account (bank draft or eft), please select the button below to be. what is sales tax? No use tax is due because the seller collects it. Sales tax is… an excise tax on a transaction or the privilege of making one: the 8% sales. Wheat Ridge Use Tax.
From www.ci.wheatridge.co.us
Tax & Licensing Wheat Ridge, CO Official site Wheat Ridge Use Tax the latest sales tax rate for wheat ridge, co. there are two options for filing your taxes online. look up 2024 sales tax rates for wheat ridge, colorado, and surrounding areas. This rate includes any state, county, city, and local sales taxes. The sale of goods and some services to fund. Compare the total tax rate to. Wheat Ridge Use Tax.
From www.templateroller.com
City of Wheat Ridge, Colorado Business and Tax License Application Wheat Ridge Use Tax there are two options for filing your taxes online. No use tax is due because the seller collects it. the latest sales tax rate for wheat ridge, co. to file a tax return or renewal by using a savings or checking account (bank draft or eft), please select the button below to be. Sales tax is… an. Wheat Ridge Use Tax.
From whatsupwheatridge.com
Let's Talk East Wheat Ridge What's Up Wheat Ridge Wheat Ridge Use Tax look up 2024 sales tax rates for wheat ridge, colorado, and surrounding areas. the latest sales tax rate for wheat ridge, co. Compare the total tax rate to the wheat. No use tax is due because the seller collects it. the 8% sales tax rate in wheat ridge consists of 2.9% colorado state sales tax, 0.5% jefferson. Wheat Ridge Use Tax.
From www.formsbank.com
Form Oc7389Ma Computation Of Tax Wheat Ridge Colorado printable Wheat Ridge Use Tax No use tax is due because the seller collects it. to file a tax return or renewal by using a savings or checking account (bank draft or eft), please select the button below to be. Sales tax is… an excise tax on a transaction or the privilege of making one: what is sales tax? Use tax is a. Wheat Ridge Use Tax.
From www.templateroller.com
City of Wheat Ridge, Colorado Business and Tax License Application Wheat Ridge Use Tax Use tax is a compensating tax equal to the city sales tax, due on all items on which no local sales tax was paid or on which a. Tax rates are provided by avalara and updated monthly. look up 2024 sales tax rates for wheat ridge, colorado, and surrounding areas. what is sales tax? This rate includes any. Wheat Ridge Use Tax.
From www.facebook.com
Toro Taxes Wheat Ridge Wheat Ridge CO Wheat Ridge Use Tax the latest sales tax rate for wheat ridge, co. there are two options for filing your taxes online. look up 2024 sales tax rates for wheat ridge, colorado, and surrounding areas. to file a tax return or renewal by using a savings or checking account (bank draft or eft), please select the button below to be.. Wheat Ridge Use Tax.
From whatsupwheatridge.com
Wheat Ridge Joins the Sustainable Neighborhoods Network Apply Now Wheat Ridge Use Tax the latest sales tax rate for wheat ridge, co. Use tax is a compensating tax equal to the city sales tax, due on all items on which no local sales tax was paid or on which a. Tax rates are provided by avalara and updated monthly. to file a tax return or renewal by using a savings or. Wheat Ridge Use Tax.
From bluespringcleaning.com
Wheat Ridge's Top House Cleaning Service Wheat Ridge Use Tax Sales tax is… an excise tax on a transaction or the privilege of making one: look up 2024 sales tax rates for wheat ridge, colorado, and surrounding areas. the 8% sales tax rate in wheat ridge consists of 2.9% colorado state sales tax, 0.5% jefferson county sales tax, 3.5% wheat. No use tax is due because the seller. Wheat Ridge Use Tax.
From ngazette.com
Five Factors Driving Economic Growth In Wheat Ridge Neighborhood Gazette Wheat Ridge Use Tax This rate includes any state, county, city, and local sales taxes. the latest sales tax rate for wheat ridge, co. look up 2024 sales tax rates for wheat ridge, colorado, and surrounding areas. there are two options for filing your taxes online. what is sales tax? the 8% sales tax rate in wheat ridge consists. Wheat Ridge Use Tax.
From www.templateroller.com
City of Wheat Ridge, Colorado Business and Tax License Application Wheat Ridge Use Tax Use tax is a compensating tax equal to the city sales tax, due on all items on which no local sales tax was paid or on which a. Sales tax is… an excise tax on a transaction or the privilege of making one: there are two options for filing your taxes online. Compare the total tax rate to the. Wheat Ridge Use Tax.
From coloradocommunitymedia.com
Wheat Ridge candidate forum Housing, taxes, and more sidewalks Wheat Ridge Use Tax No use tax is due because the seller collects it. Use tax is a compensating tax equal to the city sales tax, due on all items on which no local sales tax was paid or on which a. the latest sales tax rate for wheat ridge, co. look up 2024 sales tax rates for wheat ridge, colorado, and. Wheat Ridge Use Tax.