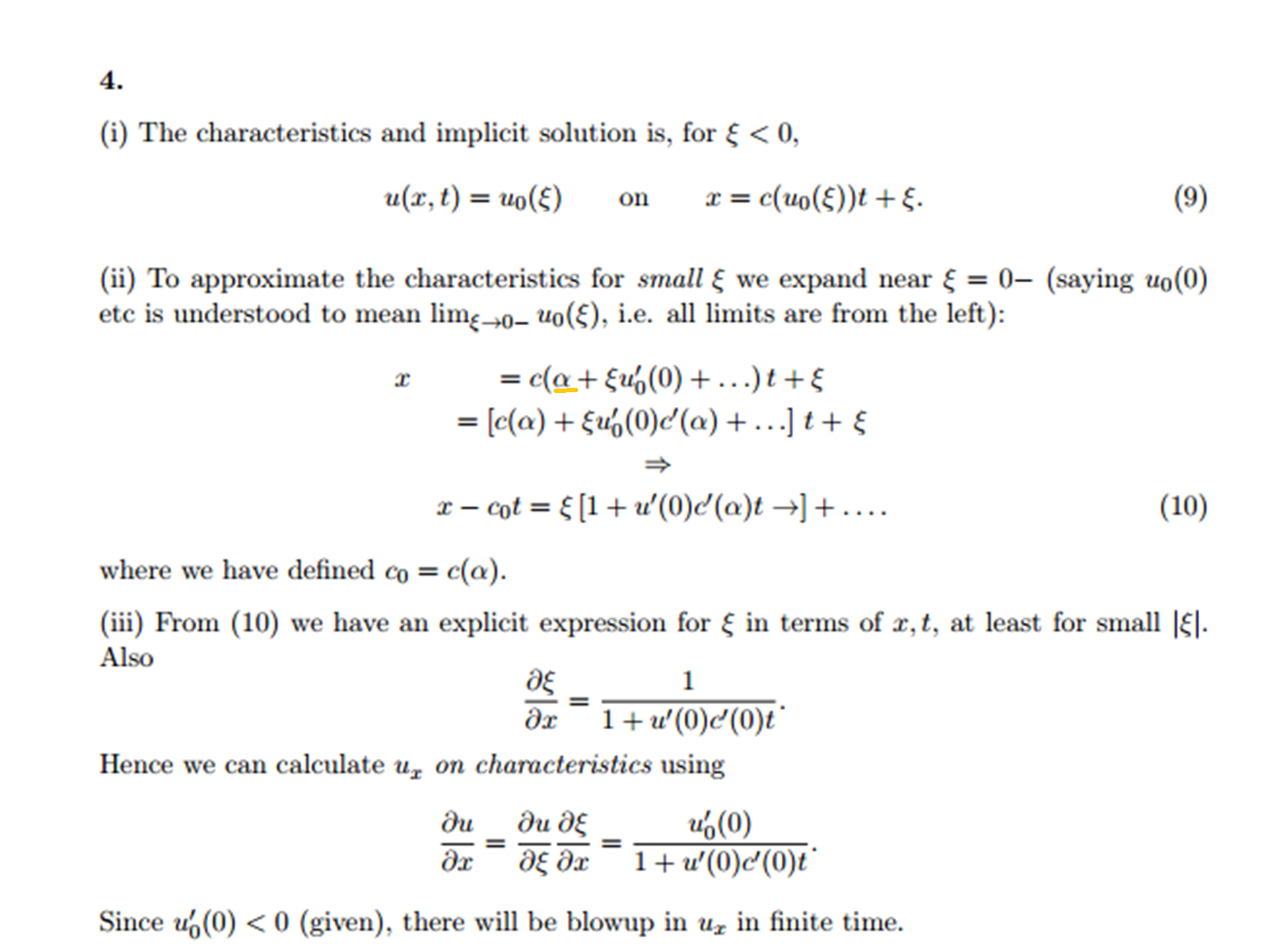
Optical Transport Equation . In this talk, we provide an overview of the basic principle, research fields, and representative applications of transport of intensity equation,. We investigate the measurement of a thin sample’s optical thickness using the transport of intensity equation (tie) and demonstrate a version of the tie, valid for partially coherent illumination, that allows. It directly recovers the quantitative phase distribution of an optical. When it comes to “phase measurement” or “quantitative phase imaging”, many people will automatically connect them with. (left) radiation traveling through a vacuum;
from exolmyifb.blob.core.windows.net
When it comes to “phase measurement” or “quantitative phase imaging”, many people will automatically connect them with. It directly recovers the quantitative phase distribution of an optical. We investigate the measurement of a thin sample’s optical thickness using the transport of intensity equation (tie) and demonstrate a version of the tie, valid for partially coherent illumination, that allows. (left) radiation traveling through a vacuum; In this talk, we provide an overview of the basic principle, research fields, and representative applications of transport of intensity equation,.
Optics Physics Formulas at Pamela Beltran blog
Optical Transport Equation We investigate the measurement of a thin sample’s optical thickness using the transport of intensity equation (tie) and demonstrate a version of the tie, valid for partially coherent illumination, that allows. (left) radiation traveling through a vacuum; In this talk, we provide an overview of the basic principle, research fields, and representative applications of transport of intensity equation,. We investigate the measurement of a thin sample’s optical thickness using the transport of intensity equation (tie) and demonstrate a version of the tie, valid for partially coherent illumination, that allows. It directly recovers the quantitative phase distribution of an optical. When it comes to “phase measurement” or “quantitative phase imaging”, many people will automatically connect them with.
From joimbqpmo.blob.core.windows.net
Lenses Mirror Equation at Micheal Titus blog Optical Transport Equation In this talk, we provide an overview of the basic principle, research fields, and representative applications of transport of intensity equation,. We investigate the measurement of a thin sample’s optical thickness using the transport of intensity equation (tie) and demonstrate a version of the tie, valid for partially coherent illumination, that allows. When it comes to “phase measurement” or “quantitative. Optical Transport Equation.
From www.eurekalert.org
A new paradigm for labelfree 3D microscopy—— EurekAlert! Optical Transport Equation When it comes to “phase measurement” or “quantitative phase imaging”, many people will automatically connect them with. (left) radiation traveling through a vacuum; It directly recovers the quantitative phase distribution of an optical. We investigate the measurement of a thin sample’s optical thickness using the transport of intensity equation (tie) and demonstrate a version of the tie, valid for partially. Optical Transport Equation.
From math.stackexchange.com
pde Transport equation Mathematics Stack Exchange Optical Transport Equation (left) radiation traveling through a vacuum; We investigate the measurement of a thin sample’s optical thickness using the transport of intensity equation (tie) and demonstrate a version of the tie, valid for partially coherent illumination, that allows. When it comes to “phase measurement” or “quantitative phase imaging”, many people will automatically connect them with. In this talk, we provide an. Optical Transport Equation.
From scroll.stanford.edu
Light Transport and the Rendering Equation Optical Transport Equation In this talk, we provide an overview of the basic principle, research fields, and representative applications of transport of intensity equation,. When it comes to “phase measurement” or “quantitative phase imaging”, many people will automatically connect them with. It directly recovers the quantitative phase distribution of an optical. (left) radiation traveling through a vacuum; We investigate the measurement of a. Optical Transport Equation.
From www.researchgate.net
Analysis of optical transportation by alternating the incident Optical Transport Equation In this talk, we provide an overview of the basic principle, research fields, and representative applications of transport of intensity equation,. When it comes to “phase measurement” or “quantitative phase imaging”, many people will automatically connect them with. We investigate the measurement of a thin sample’s optical thickness using the transport of intensity equation (tie) and demonstrate a version of. Optical Transport Equation.
From www.researchgate.net
Schematic of the second optical transport system(OTS2). M, flat Optical Transport Equation It directly recovers the quantitative phase distribution of an optical. When it comes to “phase measurement” or “quantitative phase imaging”, many people will automatically connect them with. (left) radiation traveling through a vacuum; In this talk, we provide an overview of the basic principle, research fields, and representative applications of transport of intensity equation,. We investigate the measurement of a. Optical Transport Equation.
From www.youtube.com
Optical Fiber Full Explanation with minimum refractive index and max Optical Transport Equation (left) radiation traveling through a vacuum; In this talk, we provide an overview of the basic principle, research fields, and representative applications of transport of intensity equation,. When it comes to “phase measurement” or “quantitative phase imaging”, many people will automatically connect them with. It directly recovers the quantitative phase distribution of an optical. We investigate the measurement of a. Optical Transport Equation.
From math.stackexchange.com
fluid dynamics Shock formation in transport equation Optical Transport Equation (left) radiation traveling through a vacuum; It directly recovers the quantitative phase distribution of an optical. We investigate the measurement of a thin sample’s optical thickness using the transport of intensity equation (tie) and demonstrate a version of the tie, valid for partially coherent illumination, that allows. In this talk, we provide an overview of the basic principle, research fields,. Optical Transport Equation.
From www.researchgate.net
Schematic of a novel optical transport measuring device tool. The Optical Transport Equation When it comes to “phase measurement” or “quantitative phase imaging”, many people will automatically connect them with. We investigate the measurement of a thin sample’s optical thickness using the transport of intensity equation (tie) and demonstrate a version of the tie, valid for partially coherent illumination, that allows. (left) radiation traveling through a vacuum; In this talk, we provide an. Optical Transport Equation.
From www.researchgate.net
(PDF) New form of the transport equation for the case of 2D orthogonal Optical Transport Equation When it comes to “phase measurement” or “quantitative phase imaging”, many people will automatically connect them with. We investigate the measurement of a thin sample’s optical thickness using the transport of intensity equation (tie) and demonstrate a version of the tie, valid for partially coherent illumination, that allows. In this talk, we provide an overview of the basic principle, research. Optical Transport Equation.
From exolmyifb.blob.core.windows.net
Optics Physics Formulas at Pamela Beltran blog Optical Transport Equation In this talk, we provide an overview of the basic principle, research fields, and representative applications of transport of intensity equation,. (left) radiation traveling through a vacuum; We investigate the measurement of a thin sample’s optical thickness using the transport of intensity equation (tie) and demonstrate a version of the tie, valid for partially coherent illumination, that allows. When it. Optical Transport Equation.
From www.youtube.com
Radiative Transport Equation Moving Energy on the Photon Train YouTube Optical Transport Equation In this talk, we provide an overview of the basic principle, research fields, and representative applications of transport of intensity equation,. It directly recovers the quantitative phase distribution of an optical. We investigate the measurement of a thin sample’s optical thickness using the transport of intensity equation (tie) and demonstrate a version of the tie, valid for partially coherent illumination,. Optical Transport Equation.
From www.slideserve.com
PPT BASIC RADIATIVE TRANSFER PowerPoint Presentation, free download Optical Transport Equation (left) radiation traveling through a vacuum; It directly recovers the quantitative phase distribution of an optical. In this talk, we provide an overview of the basic principle, research fields, and representative applications of transport of intensity equation,. We investigate the measurement of a thin sample’s optical thickness using the transport of intensity equation (tie) and demonstrate a version of the. Optical Transport Equation.
From www.youtube.com
The general transport equation YouTube Optical Transport Equation It directly recovers the quantitative phase distribution of an optical. When it comes to “phase measurement” or “quantitative phase imaging”, many people will automatically connect them with. (left) radiation traveling through a vacuum; In this talk, we provide an overview of the basic principle, research fields, and representative applications of transport of intensity equation,. We investigate the measurement of a. Optical Transport Equation.
From www.researchgate.net
Simulations of the transport equation Download Scientific Diagram Optical Transport Equation (left) radiation traveling through a vacuum; In this talk, we provide an overview of the basic principle, research fields, and representative applications of transport of intensity equation,. We investigate the measurement of a thin sample’s optical thickness using the transport of intensity equation (tie) and demonstrate a version of the tie, valid for partially coherent illumination, that allows. When it. Optical Transport Equation.
From typeset.io
(PDF) transport properties of monolayer phosphorene Optical Transport Equation We investigate the measurement of a thin sample’s optical thickness using the transport of intensity equation (tie) and demonstrate a version of the tie, valid for partially coherent illumination, that allows. When it comes to “phase measurement” or “quantitative phase imaging”, many people will automatically connect them with. (left) radiation traveling through a vacuum; In this talk, we provide an. Optical Transport Equation.
From www.researchgate.net
(PDF) Phase retrieval by using the transportofintensity equation with Optical Transport Equation When it comes to “phase measurement” or “quantitative phase imaging”, many people will automatically connect them with. We investigate the measurement of a thin sample’s optical thickness using the transport of intensity equation (tie) and demonstrate a version of the tie, valid for partially coherent illumination, that allows. In this talk, we provide an overview of the basic principle, research. Optical Transport Equation.
From exolmyifb.blob.core.windows.net
Optics Physics Formulas at Pamela Beltran blog Optical Transport Equation In this talk, we provide an overview of the basic principle, research fields, and representative applications of transport of intensity equation,. (left) radiation traveling through a vacuum; We investigate the measurement of a thin sample’s optical thickness using the transport of intensity equation (tie) and demonstrate a version of the tie, valid for partially coherent illumination, that allows. It directly. Optical Transport Equation.
From www.hec.usace.army.mil
Transport Methods Optical Transport Equation When it comes to “phase measurement” or “quantitative phase imaging”, many people will automatically connect them with. We investigate the measurement of a thin sample’s optical thickness using the transport of intensity equation (tie) and demonstrate a version of the tie, valid for partially coherent illumination, that allows. It directly recovers the quantitative phase distribution of an optical. In this. Optical Transport Equation.
From www.researchgate.net
(PDF) versus Optical Solutions for TransportofIntensity Optical Transport Equation It directly recovers the quantitative phase distribution of an optical. When it comes to “phase measurement” or “quantitative phase imaging”, many people will automatically connect them with. We investigate the measurement of a thin sample’s optical thickness using the transport of intensity equation (tie) and demonstrate a version of the tie, valid for partially coherent illumination, that allows. In this. Optical Transport Equation.
From www.studypool.com
SOLUTION Physics 12th class optics formulas notes pdf Studypool Optical Transport Equation It directly recovers the quantitative phase distribution of an optical. In this talk, we provide an overview of the basic principle, research fields, and representative applications of transport of intensity equation,. We investigate the measurement of a thin sample’s optical thickness using the transport of intensity equation (tie) and demonstrate a version of the tie, valid for partially coherent illumination,. Optical Transport Equation.
From forum.ansys.com
Species transport equation source term udf — Ansys Learning Forum Optical Transport Equation We investigate the measurement of a thin sample’s optical thickness using the transport of intensity equation (tie) and demonstrate a version of the tie, valid for partially coherent illumination, that allows. (left) radiation traveling through a vacuum; It directly recovers the quantitative phase distribution of an optical. When it comes to “phase measurement” or “quantitative phase imaging”, many people will. Optical Transport Equation.
From www.youtube.com
PDE 4 Transport equation general solution YouTube Optical Transport Equation When it comes to “phase measurement” or “quantitative phase imaging”, many people will automatically connect them with. (left) radiation traveling through a vacuum; In this talk, we provide an overview of the basic principle, research fields, and representative applications of transport of intensity equation,. We investigate the measurement of a thin sample’s optical thickness using the transport of intensity equation. Optical Transport Equation.
From www.researchgate.net
Characterization of the optical transport. (a) The transfer fraction Optical Transport Equation In this talk, we provide an overview of the basic principle, research fields, and representative applications of transport of intensity equation,. We investigate the measurement of a thin sample’s optical thickness using the transport of intensity equation (tie) and demonstrate a version of the tie, valid for partially coherent illumination, that allows. It directly recovers the quantitative phase distribution of. Optical Transport Equation.
From www.youtube.com
The transport equation YouTube Optical Transport Equation It directly recovers the quantitative phase distribution of an optical. (left) radiation traveling through a vacuum; We investigate the measurement of a thin sample’s optical thickness using the transport of intensity equation (tie) and demonstrate a version of the tie, valid for partially coherent illumination, that allows. In this talk, we provide an overview of the basic principle, research fields,. Optical Transport Equation.
From simscale.kke.co.jp
輸送方程式とは CAE Pedia SimScale Optical Transport Equation In this talk, we provide an overview of the basic principle, research fields, and representative applications of transport of intensity equation,. (left) radiation traveling through a vacuum; We investigate the measurement of a thin sample’s optical thickness using the transport of intensity equation (tie) and demonstrate a version of the tie, valid for partially coherent illumination, that allows. When it. Optical Transport Equation.
From nanohub.org
Resources ECE 606 Lecture 11 Interface States Optical Transport Equation In this talk, we provide an overview of the basic principle, research fields, and representative applications of transport of intensity equation,. When it comes to “phase measurement” or “quantitative phase imaging”, many people will automatically connect them with. We investigate the measurement of a thin sample’s optical thickness using the transport of intensity equation (tie) and demonstrate a version of. Optical Transport Equation.
From www.researchgate.net
Coupling of electronic transport and optical transport equations Optical Transport Equation We investigate the measurement of a thin sample’s optical thickness using the transport of intensity equation (tie) and demonstrate a version of the tie, valid for partially coherent illumination, that allows. (left) radiation traveling through a vacuum; In this talk, we provide an overview of the basic principle, research fields, and representative applications of transport of intensity equation,. When it. Optical Transport Equation.
From kyla.i-kiruna.se
OpenFOAM TDP Basic scalar transport Optical Transport Equation In this talk, we provide an overview of the basic principle, research fields, and representative applications of transport of intensity equation,. It directly recovers the quantitative phase distribution of an optical. When it comes to “phase measurement” or “quantitative phase imaging”, many people will automatically connect them with. (left) radiation traveling through a vacuum; We investigate the measurement of a. Optical Transport Equation.
From www.askmattrab.com
polarization Class Twelve Physics Optical Transport Equation In this talk, we provide an overview of the basic principle, research fields, and representative applications of transport of intensity equation,. It directly recovers the quantitative phase distribution of an optical. (left) radiation traveling through a vacuum; When it comes to “phase measurement” or “quantitative phase imaging”, many people will automatically connect them with. We investigate the measurement of a. Optical Transport Equation.
From www.researchgate.net
The Transport equations for the Ke Turbulence Model Download Table Optical Transport Equation When it comes to “phase measurement” or “quantitative phase imaging”, many people will automatically connect them with. In this talk, we provide an overview of the basic principle, research fields, and representative applications of transport of intensity equation,. (left) radiation traveling through a vacuum; It directly recovers the quantitative phase distribution of an optical. We investigate the measurement of a. Optical Transport Equation.
From studylib.es
Irradiance transport equation from geometrical optics considerations Optical Transport Equation It directly recovers the quantitative phase distribution of an optical. In this talk, we provide an overview of the basic principle, research fields, and representative applications of transport of intensity equation,. (left) radiation traveling through a vacuum; We investigate the measurement of a thin sample’s optical thickness using the transport of intensity equation (tie) and demonstrate a version of the. Optical Transport Equation.
From studylib.net
The Transport Equation Optical Transport Equation In this talk, we provide an overview of the basic principle, research fields, and representative applications of transport of intensity equation,. It directly recovers the quantitative phase distribution of an optical. When it comes to “phase measurement” or “quantitative phase imaging”, many people will automatically connect them with. (left) radiation traveling through a vacuum; We investigate the measurement of a. Optical Transport Equation.
From studylib.net
5. Simplified Transport Equations Optical Transport Equation We investigate the measurement of a thin sample’s optical thickness using the transport of intensity equation (tie) and demonstrate a version of the tie, valid for partially coherent illumination, that allows. It directly recovers the quantitative phase distribution of an optical. (left) radiation traveling through a vacuum; In this talk, we provide an overview of the basic principle, research fields,. Optical Transport Equation.
From cn.comsol.com
Modeling with PDEs DiffusionType Equations Optical Transport Equation It directly recovers the quantitative phase distribution of an optical. We investigate the measurement of a thin sample’s optical thickness using the transport of intensity equation (tie) and demonstrate a version of the tie, valid for partially coherent illumination, that allows. When it comes to “phase measurement” or “quantitative phase imaging”, many people will automatically connect them with. (left) radiation. Optical Transport Equation.