Property Appraiser North Carolina . The real property division is responsible for the appraisal and assessment of the county’s approximately 70,000 parcels. North carolina secretary of state land records search. Statewide property information at your fingertips. The assessed value, property description, and description of improvements of real property may be obtained in the form of the property record card. “a statewide standardized parcel dataset is an incredibly valuable resource for a wide range of applications. North carolina law requires the department of revenue to provide a certification and continuing education. County assessor and appraiser certifications. The mecklenburg county assessor’s office is. Search parcel data, tax digest &. All appraisers within this division are certified real property appraisers. Provides property valuation and resources for all taxable property in mecklenburg county, nc.
from winmarkstampandsign.com
North carolina secretary of state land records search. Statewide property information at your fingertips. “a statewide standardized parcel dataset is an incredibly valuable resource for a wide range of applications. The assessed value, property description, and description of improvements of real property may be obtained in the form of the property record card. Search parcel data, tax digest &. Provides property valuation and resources for all taxable property in mecklenburg county, nc. The real property division is responsible for the appraisal and assessment of the county’s approximately 70,000 parcels. The mecklenburg county assessor’s office is. North carolina law requires the department of revenue to provide a certification and continuing education. County assessor and appraiser certifications.
NORTH CAROLINA Real Estate Appraiser Stamp Winmark Stamp & Sign Stamps and Signs
Property Appraiser North Carolina North carolina law requires the department of revenue to provide a certification and continuing education. All appraisers within this division are certified real property appraisers. Statewide property information at your fingertips. County assessor and appraiser certifications. The real property division is responsible for the appraisal and assessment of the county’s approximately 70,000 parcels. Provides property valuation and resources for all taxable property in mecklenburg county, nc. The mecklenburg county assessor’s office is. North carolina law requires the department of revenue to provide a certification and continuing education. North carolina secretary of state land records search. Search parcel data, tax digest &. The assessed value, property description, and description of improvements of real property may be obtained in the form of the property record card. “a statewide standardized parcel dataset is an incredibly valuable resource for a wide range of applications.
From www.villageappraiser.com
Village Appraisers LLC Pinehurst Commercial Real Estate Appraisals Property Appraiser North Carolina North carolina secretary of state land records search. The assessed value, property description, and description of improvements of real property may be obtained in the form of the property record card. Search parcel data, tax digest &. The mecklenburg county assessor’s office is. Provides property valuation and resources for all taxable property in mecklenburg county, nc. The real property division. Property Appraiser North Carolina.
From www.ncappraiser.com
Southeastern NC Appraiser Wilmington Appraiser NC MAI Appraiser Ingram & Company, Inc Property Appraiser North Carolina North carolina law requires the department of revenue to provide a certification and continuing education. Statewide property information at your fingertips. All appraisers within this division are certified real property appraisers. The real property division is responsible for the appraisal and assessment of the county’s approximately 70,000 parcels. County assessor and appraiser certifications. Search parcel data, tax digest &. “a. Property Appraiser North Carolina.
From www.landsofamerica.com
14.16 acres in Madison County, North Carolina Property Appraiser North Carolina North carolina secretary of state land records search. The assessed value, property description, and description of improvements of real property may be obtained in the form of the property record card. County assessor and appraiser certifications. Statewide property information at your fingertips. All appraisers within this division are certified real property appraisers. The mecklenburg county assessor’s office is. Provides property. Property Appraiser North Carolina.
From birthdaypost10.bitbucket.io
How To A Real Estate Appraiser In Nc Birthdaypost10 Property Appraiser North Carolina Search parcel data, tax digest &. The real property division is responsible for the appraisal and assessment of the county’s approximately 70,000 parcels. All appraisers within this division are certified real property appraisers. The mecklenburg county assessor’s office is. “a statewide standardized parcel dataset is an incredibly valuable resource for a wide range of applications. The assessed value, property description,. Property Appraiser North Carolina.
From northcarolina.propertychecker.com
North Carolina Property Records Search Owners, Deeds, Permits Property Appraiser North Carolina The real property division is responsible for the appraisal and assessment of the county’s approximately 70,000 parcels. All appraisers within this division are certified real property appraisers. Provides property valuation and resources for all taxable property in mecklenburg county, nc. “a statewide standardized parcel dataset is an incredibly valuable resource for a wide range of applications. The mecklenburg county assessor’s. Property Appraiser North Carolina.
From www.studocu.com
Study North Carolina (NC) Licensed Residential Real Estate Appraiser Course Study North Property Appraiser North Carolina The real property division is responsible for the appraisal and assessment of the county’s approximately 70,000 parcels. North carolina secretary of state land records search. Search parcel data, tax digest &. The mecklenburg county assessor’s office is. Statewide property information at your fingertips. The assessed value, property description, and description of improvements of real property may be obtained in the. Property Appraiser North Carolina.
From realestatecareerhq.com
How to a Real Estate Appraiser in North Carolina? updates) Property Appraiser North Carolina Provides property valuation and resources for all taxable property in mecklenburg county, nc. Statewide property information at your fingertips. North carolina secretary of state land records search. All appraisers within this division are certified real property appraisers. Search parcel data, tax digest &. The mecklenburg county assessor’s office is. The real property division is responsible for the appraisal and assessment. Property Appraiser North Carolina.
From gioleshzm.blob.core.windows.net
Beulaville Nc Gis at Winnie Hanson blog Property Appraiser North Carolina Search parcel data, tax digest &. The real property division is responsible for the appraisal and assessment of the county’s approximately 70,000 parcels. The mecklenburg county assessor’s office is. North carolina secretary of state land records search. North carolina law requires the department of revenue to provide a certification and continuing education. County assessor and appraiser certifications. Provides property valuation. Property Appraiser North Carolina.
From www.propertyvaluationservicesofclaytoninc.com
Property Appraiser Raleigh, NC Ask About Our Referral Program! Property Appraiser North Carolina County assessor and appraiser certifications. North carolina secretary of state land records search. The real property division is responsible for the appraisal and assessment of the county’s approximately 70,000 parcels. All appraisers within this division are certified real property appraisers. Search parcel data, tax digest &. North carolina law requires the department of revenue to provide a certification and continuing. Property Appraiser North Carolina.
From www.pestamps.com
North Carolina Real Estate Appraiser PE Stamps Property Appraiser North Carolina Statewide property information at your fingertips. County assessor and appraiser certifications. The assessed value, property description, and description of improvements of real property may be obtained in the form of the property record card. All appraisers within this division are certified real property appraisers. The real property division is responsible for the appraisal and assessment of the county’s approximately 70,000. Property Appraiser North Carolina.
From www.appraisaltests.com
How To A Real Estate Appraiser In North Carolina Property Appraiser North Carolina All appraisers within this division are certified real property appraisers. North carolina secretary of state land records search. The real property division is responsible for the appraisal and assessment of the county’s approximately 70,000 parcels. Provides property valuation and resources for all taxable property in mecklenburg county, nc. Statewide property information at your fingertips. “a statewide standardized parcel dataset is. Property Appraiser North Carolina.
From www.appraisaltests.com
How To A Real Estate Appraiser In North Carolina Property Appraiser North Carolina North carolina law requires the department of revenue to provide a certification and continuing education. The real property division is responsible for the appraisal and assessment of the county’s approximately 70,000 parcels. Provides property valuation and resources for all taxable property in mecklenburg county, nc. Search parcel data, tax digest &. The assessed value, property description, and description of improvements. Property Appraiser North Carolina.
From www.studocu.com
Visit us [Proxsoft.us] North Carolina (NC) Licensed Residential Real Estate Appraiser Course Property Appraiser North Carolina Provides property valuation and resources for all taxable property in mecklenburg county, nc. The mecklenburg county assessor’s office is. The assessed value, property description, and description of improvements of real property may be obtained in the form of the property record card. “a statewide standardized parcel dataset is an incredibly valuable resource for a wide range of applications. Search parcel. Property Appraiser North Carolina.
From www.templateroller.com
2023 North Carolina Appraiser License Renewal Download Printable PDF Templateroller Property Appraiser North Carolina The assessed value, property description, and description of improvements of real property may be obtained in the form of the property record card. The real property division is responsible for the appraisal and assessment of the county’s approximately 70,000 parcels. Provides property valuation and resources for all taxable property in mecklenburg county, nc. County assessor and appraiser certifications. Statewide property. Property Appraiser North Carolina.
From www.facebook.com
Appraisal Nation Real Estate Appraiser Cary, North Carolina 11 Reviews 293 Photos Facebook Property Appraiser North Carolina North carolina law requires the department of revenue to provide a certification and continuing education. The assessed value, property description, and description of improvements of real property may be obtained in the form of the property record card. All appraisers within this division are certified real property appraisers. North carolina secretary of state land records search. Search parcel data, tax. Property Appraiser North Carolina.
From www.appraisercareer.com
How to a Real Estate Appraiser in North Carolina Appraiser Career Center Property Appraiser North Carolina North carolina law requires the department of revenue to provide a certification and continuing education. The assessed value, property description, and description of improvements of real property may be obtained in the form of the property record card. “a statewide standardized parcel dataset is an incredibly valuable resource for a wide range of applications. The real property division is responsible. Property Appraiser North Carolina.
From www.whitenerappraisals.com
Real Estate Appraiser Virginia, North Carolina Whitener Appraisals Property Appraiser North Carolina County assessor and appraiser certifications. “a statewide standardized parcel dataset is an incredibly valuable resource for a wide range of applications. North carolina law requires the department of revenue to provide a certification and continuing education. The assessed value, property description, and description of improvements of real property may be obtained in the form of the property record card. The. Property Appraiser North Carolina.
From thefathomrealty.com
How can someone obtain a North Carolina Appraiser License The Fathom Realty Property Appraiser North Carolina “a statewide standardized parcel dataset is an incredibly valuable resource for a wide range of applications. All appraisers within this division are certified real property appraisers. The mecklenburg county assessor’s office is. Provides property valuation and resources for all taxable property in mecklenburg county, nc. County assessor and appraiser certifications. The real property division is responsible for the appraisal and. Property Appraiser North Carolina.
From exyeaiwdm.blob.core.windows.net
Real Estate Records Franklin County Nc at Gayle Weidner blog Property Appraiser North Carolina North carolina secretary of state land records search. Search parcel data, tax digest &. The real property division is responsible for the appraisal and assessment of the county’s approximately 70,000 parcels. The mecklenburg county assessor’s office is. The assessed value, property description, and description of improvements of real property may be obtained in the form of the property record card.. Property Appraiser North Carolina.
From www.templateroller.com
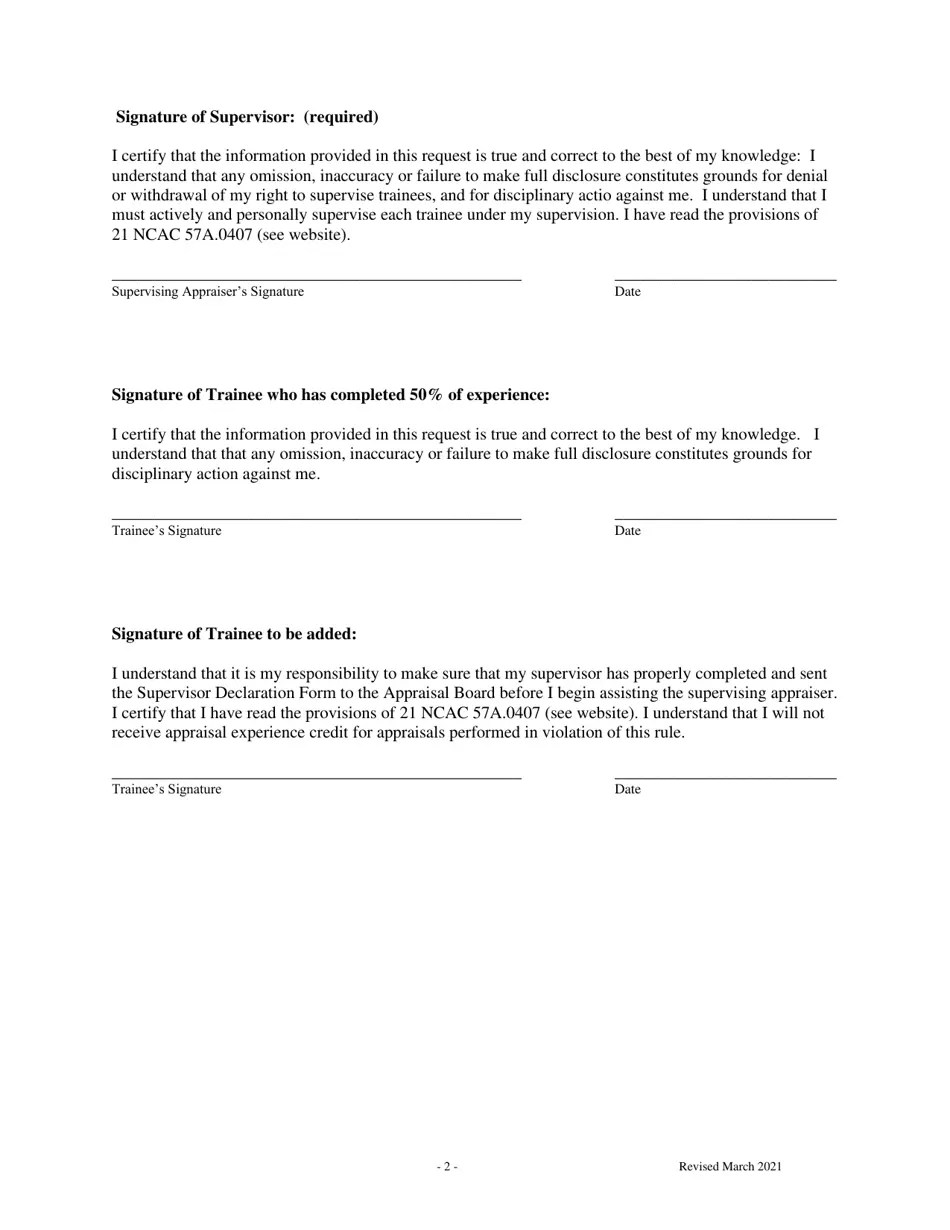
North Carolina Certified Residential Appraiser's Request to Add a Third Trainee Download Property Appraiser North Carolina Search parcel data, tax digest &. County assessor and appraiser certifications. All appraisers within this division are certified real property appraisers. The assessed value, property description, and description of improvements of real property may be obtained in the form of the property record card. Statewide property information at your fingertips. North carolina law requires the department of revenue to provide. Property Appraiser North Carolina.
From aubreeqnatasha.pages.dev
North Carolina Tax Free Weekend 2024 Reeva Celestyn Property Appraiser North Carolina Statewide property information at your fingertips. Provides property valuation and resources for all taxable property in mecklenburg county, nc. The assessed value, property description, and description of improvements of real property may be obtained in the form of the property record card. All appraisers within this division are certified real property appraisers. “a statewide standardized parcel dataset is an incredibly. Property Appraiser North Carolina.
From infotracer.com
Property Records Search Deed Records InfoTracer Property Appraiser North Carolina All appraisers within this division are certified real property appraisers. County assessor and appraiser certifications. The mecklenburg county assessor’s office is. North carolina law requires the department of revenue to provide a certification and continuing education. Search parcel data, tax digest &. Statewide property information at your fingertips. “a statewide standardized parcel dataset is an incredibly valuable resource for a. Property Appraiser North Carolina.
From www.whitenerappraisals.com
Real Estate Appraiser Virginia, North Carolina Whitener Appraisals Property Appraiser North Carolina North carolina secretary of state land records search. All appraisers within this division are certified real property appraisers. Search parcel data, tax digest &. The real property division is responsible for the appraisal and assessment of the county’s approximately 70,000 parcels. “a statewide standardized parcel dataset is an incredibly valuable resource for a wide range of applications. County assessor and. Property Appraiser North Carolina.
From www.templateroller.com
Download Instructions for Appraiser Experience Log PDF Templateroller Property Appraiser North Carolina The mecklenburg county assessor’s office is. North carolina law requires the department of revenue to provide a certification and continuing education. The assessed value, property description, and description of improvements of real property may be obtained in the form of the property record card. All appraisers within this division are certified real property appraisers. North carolina secretary of state land. Property Appraiser North Carolina.
From www.facebook.com
North Carolina Real Estate Appraiser Association (NCREAA) Property Appraiser North Carolina The mecklenburg county assessor’s office is. Provides property valuation and resources for all taxable property in mecklenburg county, nc. The real property division is responsible for the appraisal and assessment of the county’s approximately 70,000 parcels. North carolina secretary of state land records search. All appraisers within this division are certified real property appraisers. Search parcel data, tax digest &.. Property Appraiser North Carolina.
From thefathomrealty.com
How can someone obtain a North Carolina Appraiser License The Fathom Realty Property Appraiser North Carolina Statewide property information at your fingertips. Provides property valuation and resources for all taxable property in mecklenburg county, nc. North carolina law requires the department of revenue to provide a certification and continuing education. The mecklenburg county assessor’s office is. The assessed value, property description, and description of improvements of real property may be obtained in the form of the. Property Appraiser North Carolina.
From www.greenhavenrealty.com
Should You Get An Appraisal on Inherited Property Property Appraiser North Carolina North carolina secretary of state land records search. The mecklenburg county assessor’s office is. Statewide property information at your fingertips. County assessor and appraiser certifications. North carolina law requires the department of revenue to provide a certification and continuing education. All appraisers within this division are certified real property appraisers. Search parcel data, tax digest &. The real property division. Property Appraiser North Carolina.
From www.simplystamps.com
North Carolina Licensed Appraiser Seal Simply Stamps Property Appraiser North Carolina The assessed value, property description, and description of improvements of real property may be obtained in the form of the property record card. Statewide property information at your fingertips. All appraisers within this division are certified real property appraisers. Search parcel data, tax digest &. Provides property valuation and resources for all taxable property in mecklenburg county, nc. County assessor. Property Appraiser North Carolina.
From thefathomrealty.com
How can someone obtain a North Carolina Appraiser License The Fathom Realty Property Appraiser North Carolina Statewide property information at your fingertips. The assessed value, property description, and description of improvements of real property may be obtained in the form of the property record card. North carolina law requires the department of revenue to provide a certification and continuing education. The real property division is responsible for the appraisal and assessment of the county’s approximately 70,000. Property Appraiser North Carolina.
From winmarkstampandsign.com
NORTH CAROLINA Real Estate Appraiser Stamp Winmark Stamp & Sign Stamps and Signs Property Appraiser North Carolina North carolina law requires the department of revenue to provide a certification and continuing education. County assessor and appraiser certifications. Provides property valuation and resources for all taxable property in mecklenburg county, nc. The real property division is responsible for the appraisal and assessment of the county’s approximately 70,000 parcels. The assessed value, property description, and description of improvements of. Property Appraiser North Carolina.
From www.templateroller.com
North Carolina Certified Residential Appraiser's Request to Add a Third Trainee Download Property Appraiser North Carolina County assessor and appraiser certifications. “a statewide standardized parcel dataset is an incredibly valuable resource for a wide range of applications. Search parcel data, tax digest &. North carolina secretary of state land records search. Statewide property information at your fingertips. The real property division is responsible for the appraisal and assessment of the county’s approximately 70,000 parcels. All appraisers. Property Appraiser North Carolina.
From exyeaiwdm.blob.core.windows.net
Real Estate Records Franklin County Nc at Gayle Weidner blog Property Appraiser North Carolina “a statewide standardized parcel dataset is an incredibly valuable resource for a wide range of applications. Provides property valuation and resources for all taxable property in mecklenburg county, nc. North carolina law requires the department of revenue to provide a certification and continuing education. County assessor and appraiser certifications. Statewide property information at your fingertips. All appraisers within this division. Property Appraiser North Carolina.
From www.youtube.com
North Carolina Property Records Search (Deeds and Taxes) YouTube Property Appraiser North Carolina County assessor and appraiser certifications. The mecklenburg county assessor’s office is. Statewide property information at your fingertips. All appraisers within this division are certified real property appraisers. Provides property valuation and resources for all taxable property in mecklenburg county, nc. North carolina law requires the department of revenue to provide a certification and continuing education. “a statewide standardized parcel dataset. Property Appraiser North Carolina.
From realestatecareerhq.com
How to a Real Estate Appraiser in North Carolina? updates) Property Appraiser North Carolina North carolina law requires the department of revenue to provide a certification and continuing education. The assessed value, property description, and description of improvements of real property may be obtained in the form of the property record card. Statewide property information at your fingertips. All appraisers within this division are certified real property appraisers. County assessor and appraiser certifications. “a. Property Appraiser North Carolina.
From www.linkedin.com
Becky Braun Certified Residential Appraiser Accurate Appraisals of North Carolina, Inc Property Appraiser North Carolina The assessed value, property description, and description of improvements of real property may be obtained in the form of the property record card. “a statewide standardized parcel dataset is an incredibly valuable resource for a wide range of applications. North carolina secretary of state land records search. North carolina law requires the department of revenue to provide a certification and. Property Appraiser North Carolina.