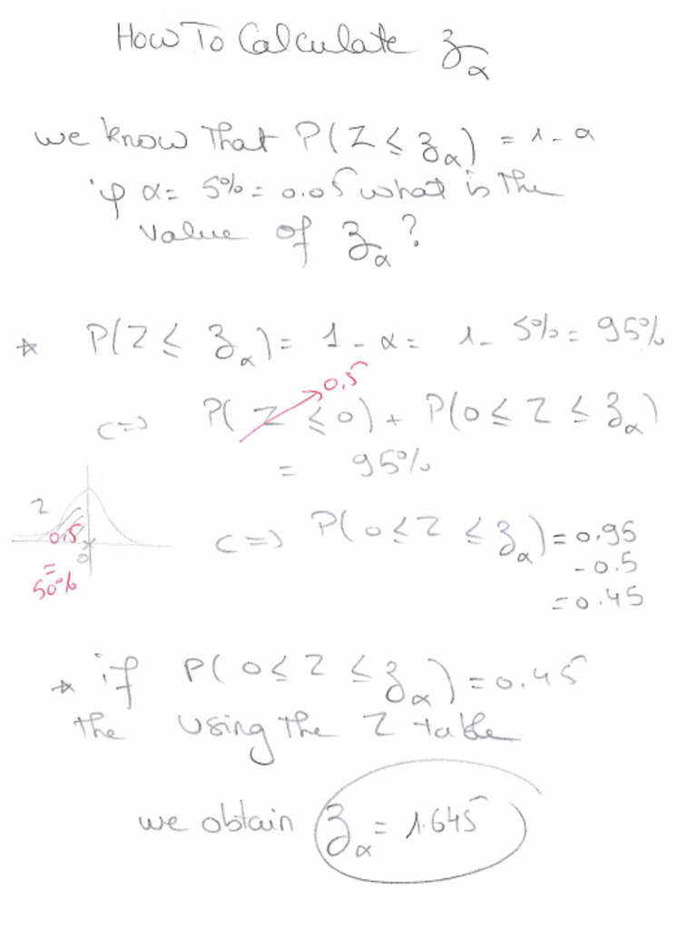
Calculate Z From Alpha . From this mean subtract the mean postulated in null. Enter a probability value between zero and one to calculate critical value. In this lesson, we learn how to find critical z value aka z alpha in the context of statistics. Critical values determine what probability a particular. Note that when alpha =.05 we are using. How to find zα/2 using a z table. To find a z critical value for a given confidence level α: How to find zα/2 using a calculator. Compute the arithmetic mean of your sample. Whenever you come across the term zα/2 in statistics, it is simply referring to the z critical value from the z table that corresponds to α/2. The most common values for zα/2. This tutorial explains the following: To calculate the z test statistic: Find the critical values for a 95% confidence interval.
from www.wikihow.com
To calculate the z test statistic: How to find zα/2 using a z table. In this lesson, we learn how to find critical z value aka z alpha in the context of statistics. Enter a probability value between zero and one to calculate critical value. Whenever you come across the term zα/2 in statistics, it is simply referring to the z critical value from the z table that corresponds to α/2. Compute the arithmetic mean of your sample. The most common values for zα/2. How to find zα/2 using a calculator. From this mean subtract the mean postulated in null. Critical values determine what probability a particular.
How to Calculate Z Scores 15 Steps (with Pictures) wikiHow
Calculate Z From Alpha Enter a probability value between zero and one to calculate critical value. Enter a probability value between zero and one to calculate critical value. The most common values for zα/2. In this lesson, we learn how to find critical z value aka z alpha in the context of statistics. To calculate the z test statistic: How to find zα/2 using a z table. To find a z critical value for a given confidence level α: How to find zα/2 using a calculator. Critical values determine what probability a particular. Find the critical values for a 95% confidence interval. Note that when alpha =.05 we are using. Whenever you come across the term zα/2 in statistics, it is simply referring to the z critical value from the z table that corresponds to α/2. Compute the arithmetic mean of your sample. From this mean subtract the mean postulated in null. This tutorial explains the following:
From access-excel.tips
Calculate Z Score and probability using SPSS and Excel Calculate Z From Alpha Find the critical values for a 95% confidence interval. Note that when alpha =.05 we are using. Whenever you come across the term zα/2 in statistics, it is simply referring to the z critical value from the z table that corresponds to α/2. In this lesson, we learn how to find critical z value aka z alpha in the context. Calculate Z From Alpha.
From www.youtube.com
What Are And How To Calculate Z Scores Z Score Statistics Formula Calculate Z From Alpha Enter a probability value between zero and one to calculate critical value. Note that when alpha =.05 we are using. Whenever you come across the term zα/2 in statistics, it is simply referring to the z critical value from the z table that corresponds to α/2. The most common values for zα/2. This tutorial explains the following: Compute the arithmetic. Calculate Z From Alpha.
From www.youtube.com
Normalized Table Understand z scores, p values, critical values YouTube Calculate Z From Alpha This tutorial explains the following: To find a z critical value for a given confidence level α: To calculate the z test statistic: Note that when alpha =.05 we are using. Compute the arithmetic mean of your sample. Whenever you come across the term zα/2 in statistics, it is simply referring to the z critical value from the z table. Calculate Z From Alpha.
From mathsathome.com
How To Understand And Calculate ZScores Calculate Z From Alpha To calculate the z test statistic: To find a z critical value for a given confidence level α: Critical values determine what probability a particular. How to find zα/2 using a z table. How to find zα/2 using a calculator. Note that when alpha =.05 we are using. Enter a probability value between zero and one to calculate critical value.. Calculate Z From Alpha.
From www.youtube.com
Finding the Appropriate z Value for the Confidence Interval Formula Calculate Z From Alpha How to find zα/2 using a z table. Find the critical values for a 95% confidence interval. How to find zα/2 using a calculator. Compute the arithmetic mean of your sample. Enter a probability value between zero and one to calculate critical value. The most common values for zα/2. Note that when alpha =.05 we are using. To calculate the. Calculate Z From Alpha.
From freeteenbys.blogspot.com
Calculo De Z Score freeteenbys Calculate Z From Alpha In this lesson, we learn how to find critical z value aka z alpha in the context of statistics. From this mean subtract the mean postulated in null. To find a z critical value for a given confidence level α: Note that when alpha =.05 we are using. To calculate the z test statistic: This tutorial explains the following: Enter. Calculate Z From Alpha.
From www.youtube.com
How to Find the Z Score By Using the Alpha Value. [HD] YouTube Calculate Z From Alpha To find a z critical value for a given confidence level α: From this mean subtract the mean postulated in null. The most common values for zα/2. Enter a probability value between zero and one to calculate critical value. Find the critical values for a 95% confidence interval. How to find zα/2 using a calculator. How to find zα/2 using. Calculate Z From Alpha.
From mathsathome.com
How To Understand And Calculate ZScores Calculate Z From Alpha How to find zα/2 using a calculator. To calculate the z test statistic: In this lesson, we learn how to find critical z value aka z alpha in the context of statistics. Compute the arithmetic mean of your sample. Enter a probability value between zero and one to calculate critical value. Note that when alpha =.05 we are using. Critical. Calculate Z From Alpha.
From www.sophia.org
Using zScores to find a Probability Tutorial Sophia Learning Calculate Z From Alpha How to find zα/2 using a calculator. To find a z critical value for a given confidence level α: Compute the arithmetic mean of your sample. From this mean subtract the mean postulated in null. In this lesson, we learn how to find critical z value aka z alpha in the context of statistics. Whenever you come across the term. Calculate Z From Alpha.
From www.youtube.com
How to Calculate the z sub alpha 2 critical value YouTube Calculate Z From Alpha Critical values determine what probability a particular. This tutorial explains the following: In this lesson, we learn how to find critical z value aka z alpha in the context of statistics. To calculate the z test statistic: Find the critical values for a 95% confidence interval. Whenever you come across the term zα/2 in statistics, it is simply referring to. Calculate Z From Alpha.
From www.zippia.com
How To Calculate ZScore (With Examples) Zippia Calculate Z From Alpha Critical values determine what probability a particular. The most common values for zα/2. Compute the arithmetic mean of your sample. To calculate the z test statistic: To find a z critical value for a given confidence level α: How to find zα/2 using a calculator. Enter a probability value between zero and one to calculate critical value. Whenever you come. Calculate Z From Alpha.
From mathsux.org
How to Calculate ZScore? Statistics Math Lessons Calculate Z From Alpha Whenever you come across the term zα/2 in statistics, it is simply referring to the z critical value from the z table that corresponds to α/2. Find the critical values for a 95% confidence interval. This tutorial explains the following: Note that when alpha =.05 we are using. Enter a probability value between zero and one to calculate critical value.. Calculate Z From Alpha.
From www.youtube.com
How to Calculate Z Scores YouTube Calculate Z From Alpha In this lesson, we learn how to find critical z value aka z alpha in the context of statistics. How to find zα/2 using a calculator. Enter a probability value between zero and one to calculate critical value. Compute the arithmetic mean of your sample. Critical values determine what probability a particular. To calculate the z test statistic: To find. Calculate Z From Alpha.
From statkat.com
Find the critical z value given a significance level alpha Calculate Z From Alpha Compute the arithmetic mean of your sample. From this mean subtract the mean postulated in null. How to find zα/2 using a z table. To find a z critical value for a given confidence level α: The most common values for zα/2. To calculate the z test statistic: Enter a probability value between zero and one to calculate critical value.. Calculate Z From Alpha.
From www.inertialearning.com
ZScore Standardization of Normal Variables InertiaLearning Calculate Z From Alpha Enter a probability value between zero and one to calculate critical value. To calculate the z test statistic: Find the critical values for a 95% confidence interval. How to find zα/2 using a z table. Note that when alpha =.05 we are using. How to find zα/2 using a calculator. Compute the arithmetic mean of your sample. In this lesson,. Calculate Z From Alpha.
From www.youtube.com
How To Find The Z Score Given The Confidence Level of a Normal Calculate Z From Alpha Compute the arithmetic mean of your sample. Enter a probability value between zero and one to calculate critical value. From this mean subtract the mean postulated in null. This tutorial explains the following: Note that when alpha =.05 we are using. Whenever you come across the term zα/2 in statistics, it is simply referring to the z critical value from. Calculate Z From Alpha.
From www.wikihow.com
How to Calculate Z Scores 15 Steps (with Pictures) wikiHow Calculate Z From Alpha To calculate the z test statistic: In this lesson, we learn how to find critical z value aka z alpha in the context of statistics. Note that when alpha =.05 we are using. Enter a probability value between zero and one to calculate critical value. Compute the arithmetic mean of your sample. How to find zα/2 using a z table.. Calculate Z From Alpha.
From www.vedantu.com
What is the critical value of {{Z}_{\\alpha \/2}} that corresponds to Calculate Z From Alpha Enter a probability value between zero and one to calculate critical value. From this mean subtract the mean postulated in null. Critical values determine what probability a particular. To find a z critical value for a given confidence level α: The most common values for zα/2. How to find zα/2 using a z table. This tutorial explains the following: Note. Calculate Z From Alpha.
From www.scribd.com
How To Calculate Z Alpha PDF Calculate Z From Alpha To calculate the z test statistic: From this mean subtract the mean postulated in null. Enter a probability value between zero and one to calculate critical value. Find the critical values for a 95% confidence interval. Critical values determine what probability a particular. To find a z critical value for a given confidence level α: Compute the arithmetic mean of. Calculate Z From Alpha.
From mathsathome.com
How To Understand And Calculate ZScores Calculate Z From Alpha How to find zα/2 using a calculator. Enter a probability value between zero and one to calculate critical value. Find the critical values for a 95% confidence interval. To find a z critical value for a given confidence level α: From this mean subtract the mean postulated in null. Compute the arithmetic mean of your sample. This tutorial explains the. Calculate Z From Alpha.
From www.youtube.com
Statistics 101 Single Sample Hypothesis Ztest Alpha and pvalues Calculate Z From Alpha The most common values for zα/2. From this mean subtract the mean postulated in null. To calculate the z test statistic: In this lesson, we learn how to find critical z value aka z alpha in the context of statistics. Whenever you come across the term zα/2 in statistics, it is simply referring to the z critical value from the. Calculate Z From Alpha.
From www.youtube.com
P Values, z Scores, Alpha, Critical Values YouTube Calculate Z From Alpha Enter a probability value between zero and one to calculate critical value. From this mean subtract the mean postulated in null. This tutorial explains the following: How to find zα/2 using a calculator. To calculate the z test statistic: How to find zα/2 using a z table. Find the critical values for a 95% confidence interval. In this lesson, we. Calculate Z From Alpha.
From culc.pages.dev
Calculating Z Score A Comprehensive Guide // culc.pages.dev Calculate Z From Alpha Compute the arithmetic mean of your sample. The most common values for zα/2. From this mean subtract the mean postulated in null. Note that when alpha =.05 we are using. Critical values determine what probability a particular. Whenever you come across the term zα/2 in statistics, it is simply referring to the z critical value from the z table that. Calculate Z From Alpha.
From quickexcel.com
How to calculate ZScore in Excel? QuickExcel Calculate Z From Alpha How to find zα/2 using a calculator. This tutorial explains the following: Find the critical values for a 95% confidence interval. Critical values determine what probability a particular. From this mean subtract the mean postulated in null. Enter a probability value between zero and one to calculate critical value. To find a z critical value for a given confidence level. Calculate Z From Alpha.
From mathsux.org
How to Calculate ZScore? Statistics Math Lessons Calculate Z From Alpha Compute the arithmetic mean of your sample. The most common values for zα/2. How to find zα/2 using a calculator. How to find zα/2 using a z table. From this mean subtract the mean postulated in null. Critical values determine what probability a particular. To calculate the z test statistic: Find the critical values for a 95% confidence interval. Note. Calculate Z From Alpha.
From www.youtube.com
determining critical value of z for a 2 tailed test with an alpha of Calculate Z From Alpha Compute the arithmetic mean of your sample. From this mean subtract the mean postulated in null. To calculate the z test statistic: How to find zα/2 using a z table. Find the critical values for a 95% confidence interval. In this lesson, we learn how to find critical z value aka z alpha in the context of statistics. Enter a. Calculate Z From Alpha.
From www.exceldemy.com
How to Calculate Probability from ZScore in Excel (with Quick Steps) Calculate Z From Alpha Critical values determine what probability a particular. In this lesson, we learn how to find critical z value aka z alpha in the context of statistics. Note that when alpha =.05 we are using. How to find zα/2 using a z table. Whenever you come across the term zα/2 in statistics, it is simply referring to the z critical value. Calculate Z From Alpha.
From www.youtube.com
Finding z critical values using a z table YouTube Calculate Z From Alpha How to find zα/2 using a calculator. Critical values determine what probability a particular. This tutorial explains the following: In this lesson, we learn how to find critical z value aka z alpha in the context of statistics. Find the critical values for a 95% confidence interval. Whenever you come across the term zα/2 in statistics, it is simply referring. Calculate Z From Alpha.
From www.statology.org
How to Find ZScores Given Area (With Examples) Calculate Z From Alpha In this lesson, we learn how to find critical z value aka z alpha in the context of statistics. Find the critical values for a 95% confidence interval. Note that when alpha =.05 we are using. Enter a probability value between zero and one to calculate critical value. To calculate the z test statistic: From this mean subtract the mean. Calculate Z From Alpha.
From www.mathandstatistics.com
Finding z Critical Values (zc) Learn Math and Stats with Dr. G Calculate Z From Alpha How to find zα/2 using a calculator. How to find zα/2 using a z table. To find a z critical value for a given confidence level α: The most common values for zα/2. Enter a probability value between zero and one to calculate critical value. Compute the arithmetic mean of your sample. This tutorial explains the following: From this mean. Calculate Z From Alpha.
From www.statology.org
How to Find Z Alpha/2 (za/2) Calculate Z From Alpha This tutorial explains the following: How to find zα/2 using a calculator. To calculate the z test statistic: Whenever you come across the term zα/2 in statistics, it is simply referring to the z critical value from the z table that corresponds to α/2. To find a z critical value for a given confidence level α: Enter a probability value. Calculate Z From Alpha.
From www.educba.com
Z Test Statistics Formula Calculator (Examples With Excel Template) Calculate Z From Alpha From this mean subtract the mean postulated in null. This tutorial explains the following: Enter a probability value between zero and one to calculate critical value. The most common values for zα/2. To calculate the z test statistic: Compute the arithmetic mean of your sample. How to find zα/2 using a calculator. How to find zα/2 using a z table.. Calculate Z From Alpha.
From www.showme.com
How to find z alpha over two Math, Statistics, Normal Distribution Calculate Z From Alpha This tutorial explains the following: From this mean subtract the mean postulated in null. Enter a probability value between zero and one to calculate critical value. To find a z critical value for a given confidence level α: Find the critical values for a 95% confidence interval. Whenever you come across the term zα/2 in statistics, it is simply referring. Calculate Z From Alpha.
From www.youtube.com
finding critical value Z alpha over 2 in normal distribution YouTube Calculate Z From Alpha To calculate the z test statistic: Whenever you come across the term zα/2 in statistics, it is simply referring to the z critical value from the z table that corresponds to α/2. In this lesson, we learn how to find critical z value aka z alpha in the context of statistics. How to find zα/2 using a z table. How. Calculate Z From Alpha.
From www.branchor.com
How to Calculate Z Score A StepbyStep Guide The Explanation Express Calculate Z From Alpha Note that when alpha =.05 we are using. From this mean subtract the mean postulated in null. To find a z critical value for a given confidence level α: How to find zα/2 using a z table. How to find zα/2 using a calculator. To calculate the z test statistic: In this lesson, we learn how to find critical z. Calculate Z From Alpha.