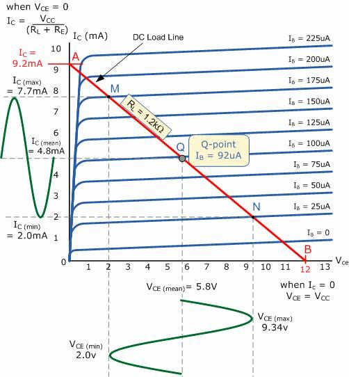
Ideally The Q-Point Should Be Centered On The Load Line In A Class A Amplifier . for a class a amplifier, the q point is centered as shown: by examining equations \ref{8.1} and \ref{8.2} it is apparent that in order to achieve a centered q point on the ac load line, the following must be true: the point on a transistor's dc load line where the transistor is biased to operate for a specific application is known as the q point of. there are three possible ways this can be configured: \[\frac{v_{ceq}}{i_{cq}} = r_e+r_c \label{8.3} \] when the q point is below the center of the ac load line, the maximum peak (mp) output is icqrc, as shown in fig. And the maximum signal that can be obtained is when the peak value of the current is icq. in general, the output signal power is the product of the rms load current and the rms load voltage. Q point closer to saturation, q point closer to cutoff, or q point centered. The maximum unclipped ac signal occurs when the q.
from www.youtube.com
The maximum unclipped ac signal occurs when the q. the point on a transistor's dc load line where the transistor is biased to operate for a specific application is known as the q point of. when the q point is below the center of the ac load line, the maximum peak (mp) output is icqrc, as shown in fig. there are three possible ways this can be configured: Q point closer to saturation, q point closer to cutoff, or q point centered. for a class a amplifier, the q point is centered as shown: by examining equations \ref{8.1} and \ref{8.2} it is apparent that in order to achieve a centered q point on the ac load line, the following must be true: \[\frac{v_{ceq}}{i_{cq}} = r_e+r_c \label{8.3} \] in general, the output signal power is the product of the rms load current and the rms load voltage. And the maximum signal that can be obtained is when the peak value of the current is icq.
Lect7BJTDC load Line, Operating point, QPoint, Bias Stabilization
Ideally The Q-Point Should Be Centered On The Load Line In A Class A Amplifier And the maximum signal that can be obtained is when the peak value of the current is icq. there are three possible ways this can be configured: in general, the output signal power is the product of the rms load current and the rms load voltage. the point on a transistor's dc load line where the transistor is biased to operate for a specific application is known as the q point of. \[\frac{v_{ceq}}{i_{cq}} = r_e+r_c \label{8.3} \] when the q point is below the center of the ac load line, the maximum peak (mp) output is icqrc, as shown in fig. by examining equations \ref{8.1} and \ref{8.2} it is apparent that in order to achieve a centered q point on the ac load line, the following must be true: Q point closer to saturation, q point closer to cutoff, or q point centered. The maximum unclipped ac signal occurs when the q. And the maximum signal that can be obtained is when the peak value of the current is icq. for a class a amplifier, the q point is centered as shown:
From www.chegg.com
Derive and draw the dc load line for that circuit. Ideally The Q-Point Should Be Centered On The Load Line In A Class A Amplifier And the maximum signal that can be obtained is when the peak value of the current is icq. Q point closer to saturation, q point closer to cutoff, or q point centered. when the q point is below the center of the ac load line, the maximum peak (mp) output is icqrc, as shown in fig. The maximum unclipped. Ideally The Q-Point Should Be Centered On The Load Line In A Class A Amplifier.
From www.numerade.com
'Ideally, a dc load line is a straight line drawn on the collector Ideally The Q-Point Should Be Centered On The Load Line In A Class A Amplifier Q point closer to saturation, q point closer to cutoff, or q point centered. And the maximum signal that can be obtained is when the peak value of the current is icq. for a class a amplifier, the q point is centered as shown: in general, the output signal power is the product of the rms load current. Ideally The Q-Point Should Be Centered On The Load Line In A Class A Amplifier.
From www.youtube.com
Lec.92 Load line and Qpoint / 朱士維老師 YouTube Ideally The Q-Point Should Be Centered On The Load Line In A Class A Amplifier \[\frac{v_{ceq}}{i_{cq}} = r_e+r_c \label{8.3} \] when the q point is below the center of the ac load line, the maximum peak (mp) output is icqrc, as shown in fig. for a class a amplifier, the q point is centered as shown: Q point closer to saturation, q point closer to cutoff, or q point centered. by examining. Ideally The Q-Point Should Be Centered On The Load Line In A Class A Amplifier.
From ar.inspiredpencil.com
Amplifier Class And Type Ideally The Q-Point Should Be Centered On The Load Line In A Class A Amplifier by examining equations \ref{8.1} and \ref{8.2} it is apparent that in order to achieve a centered q point on the ac load line, the following must be true: there are three possible ways this can be configured: \[\frac{v_{ceq}}{i_{cq}} = r_e+r_c \label{8.3} \] for a class a amplifier, the q point is centered as shown: in general,. Ideally The Q-Point Should Be Centered On The Load Line In A Class A Amplifier.
From www.chegg.com
Solved 1. Graphically determine the Qpoint for the circuit Ideally The Q-Point Should Be Centered On The Load Line In A Class A Amplifier for a class a amplifier, the q point is centered as shown: in general, the output signal power is the product of the rms load current and the rms load voltage. by examining equations \ref{8.1} and \ref{8.2} it is apparent that in order to achieve a centered q point on the ac load line, the following must. Ideally The Q-Point Should Be Centered On The Load Line In A Class A Amplifier.
From byjus.com
Two positive point charges q are placed on the x axis,one at the x=a Ideally The Q-Point Should Be Centered On The Load Line In A Class A Amplifier there are three possible ways this can be configured: And the maximum signal that can be obtained is when the peak value of the current is icq. in general, the output signal power is the product of the rms load current and the rms load voltage. \[\frac{v_{ceq}}{i_{cq}} = r_e+r_c \label{8.3} \] by examining equations \ref{8.1} and \ref{8.2}. Ideally The Q-Point Should Be Centered On The Load Line In A Class A Amplifier.
From www.chegg.com
Solved (a) Plot the load line and find the Qpoint for the Ideally The Q-Point Should Be Centered On The Load Line In A Class A Amplifier there are three possible ways this can be configured: in general, the output signal power is the product of the rms load current and the rms load voltage. by examining equations \ref{8.1} and \ref{8.2} it is apparent that in order to achieve a centered q point on the ac load line, the following must be true: Q. Ideally The Q-Point Should Be Centered On The Load Line In A Class A Amplifier.
From www.youtube.com
Transistor Biasing What is Qpoint? What is Load Line? Fixed Bias Ideally The Q-Point Should Be Centered On The Load Line In A Class A Amplifier for a class a amplifier, the q point is centered as shown: there are three possible ways this can be configured: when the q point is below the center of the ac load line, the maximum peak (mp) output is icqrc, as shown in fig. And the maximum signal that can be obtained is when the peak. Ideally The Q-Point Should Be Centered On The Load Line In A Class A Amplifier.
From www.chegg.com
Solved Draw the load line and find the Qpoint for the diode Ideally The Q-Point Should Be Centered On The Load Line In A Class A Amplifier Q point closer to saturation, q point closer to cutoff, or q point centered. when the q point is below the center of the ac load line, the maximum peak (mp) output is icqrc, as shown in fig. by examining equations \ref{8.1} and \ref{8.2} it is apparent that in order to achieve a centered q point on the. Ideally The Q-Point Should Be Centered On The Load Line In A Class A Amplifier.
From www.theengineeringknowledge.com
Introduction to Class A Amplifier The Engineering Knowledge Ideally The Q-Point Should Be Centered On The Load Line In A Class A Amplifier Q point closer to saturation, q point closer to cutoff, or q point centered. \[\frac{v_{ceq}}{i_{cq}} = r_e+r_c \label{8.3} \] when the q point is below the center of the ac load line, the maximum peak (mp) output is icqrc, as shown in fig. there are three possible ways this can be configured: And the maximum signal that can. Ideally The Q-Point Should Be Centered On The Load Line In A Class A Amplifier.
From www.circuitstoday.com
Transformer coupled class a power amplifier Ideally The Q-Point Should Be Centered On The Load Line In A Class A Amplifier The maximum unclipped ac signal occurs when the q. the point on a transistor's dc load line where the transistor is biased to operate for a specific application is known as the q point of. when the q point is below the center of the ac load line, the maximum peak (mp) output is icqrc, as shown in. Ideally The Q-Point Should Be Centered On The Load Line In A Class A Amplifier.
From manuallibcorals.z13.web.core.windows.net
Dc Load Line Circuit Diagram Ideally The Q-Point Should Be Centered On The Load Line In A Class A Amplifier And the maximum signal that can be obtained is when the peak value of the current is icq. for a class a amplifier, the q point is centered as shown: The maximum unclipped ac signal occurs when the q. in general, the output signal power is the product of the rms load current and the rms load voltage.. Ideally The Q-Point Should Be Centered On The Load Line In A Class A Amplifier.
From www.vrogue.co
What Is Dc Load Line vrogue.co Ideally The Q-Point Should Be Centered On The Load Line In A Class A Amplifier the point on a transistor's dc load line where the transistor is biased to operate for a specific application is known as the q point of. The maximum unclipped ac signal occurs when the q. for a class a amplifier, the q point is centered as shown: Q point closer to saturation, q point closer to cutoff, or. Ideally The Q-Point Should Be Centered On The Load Line In A Class A Amplifier.
From www.numerade.com
SOLVEDIdeally, a de loud line is a straight fine drawn on the Ideally The Q-Point Should Be Centered On The Load Line In A Class A Amplifier there are three possible ways this can be configured: the point on a transistor's dc load line where the transistor is biased to operate for a specific application is known as the q point of. when the q point is below the center of the ac load line, the maximum peak (mp) output is icqrc, as shown. Ideally The Q-Point Should Be Centered On The Load Line In A Class A Amplifier.
From www.theengineeringknowledge.com
Introduction to Class A Amplifier The Engineering Knowledge Ideally The Q-Point Should Be Centered On The Load Line In A Class A Amplifier for a class a amplifier, the q point is centered as shown: \[\frac{v_{ceq}}{i_{cq}} = r_e+r_c \label{8.3} \] the point on a transistor's dc load line where the transistor is biased to operate for a specific application is known as the q point of. there are three possible ways this can be configured: The maximum unclipped ac signal. Ideally The Q-Point Should Be Centered On The Load Line In A Class A Amplifier.
From www.youtube.com
Transistor Base Bias Circuits Finding The DC Load Line & The Q Point Ideally The Q-Point Should Be Centered On The Load Line In A Class A Amplifier by examining equations \ref{8.1} and \ref{8.2} it is apparent that in order to achieve a centered q point on the ac load line, the following must be true: The maximum unclipped ac signal occurs when the q. there are three possible ways this can be configured: in general, the output signal power is the product of the. Ideally The Q-Point Should Be Centered On The Load Line In A Class A Amplifier.
From warreninstitute.org
Mastering Transistor Base Bias Circuits DC Load Line & Q Point Analysis Ideally The Q-Point Should Be Centered On The Load Line In A Class A Amplifier Q point closer to saturation, q point closer to cutoff, or q point centered. when the q point is below the center of the ac load line, the maximum peak (mp) output is icqrc, as shown in fig. for a class a amplifier, the q point is centered as shown: the point on a transistor's dc load. Ideally The Q-Point Should Be Centered On The Load Line In A Class A Amplifier.
From www.chegg.com
Solved 2) Plot the load line and find the Qpoint for the Ideally The Q-Point Should Be Centered On The Load Line In A Class A Amplifier in general, the output signal power is the product of the rms load current and the rms load voltage. The maximum unclipped ac signal occurs when the q. \[\frac{v_{ceq}}{i_{cq}} = r_e+r_c \label{8.3} \] And the maximum signal that can be obtained is when the peak value of the current is icq. the point on a transistor's dc load. Ideally The Q-Point Should Be Centered On The Load Line In A Class A Amplifier.
From engineeringtutorial.com
Transistor Amplifier Working Principle Engineering Tutorial Ideally The Q-Point Should Be Centered On The Load Line In A Class A Amplifier by examining equations \ref{8.1} and \ref{8.2} it is apparent that in order to achieve a centered q point on the ac load line, the following must be true: And the maximum signal that can be obtained is when the peak value of the current is icq. Q point closer to saturation, q point closer to cutoff, or q point. Ideally The Q-Point Should Be Centered On The Load Line In A Class A Amplifier.
From forum.allaboutcircuits.com
How to find Q point load line All About Circuits Ideally The Q-Point Should Be Centered On The Load Line In A Class A Amplifier The maximum unclipped ac signal occurs when the q. there are three possible ways this can be configured: for a class a amplifier, the q point is centered as shown: by examining equations \ref{8.1} and \ref{8.2} it is apparent that in order to achieve a centered q point on the ac load line, the following must be. Ideally The Q-Point Should Be Centered On The Load Line In A Class A Amplifier.
From www.circuitbread.com
Power Amplifiers CircuitBread Ideally The Q-Point Should Be Centered On The Load Line In A Class A Amplifier The maximum unclipped ac signal occurs when the q. And the maximum signal that can be obtained is when the peak value of the current is icq. in general, the output signal power is the product of the rms load current and the rms load voltage. when the q point is below the center of the ac load. Ideally The Q-Point Should Be Centered On The Load Line In A Class A Amplifier.
From eevibes.com
What is the DC Load Line? Example EEVibes Ideally The Q-Point Should Be Centered On The Load Line In A Class A Amplifier And the maximum signal that can be obtained is when the peak value of the current is icq. The maximum unclipped ac signal occurs when the q. when the q point is below the center of the ac load line, the maximum peak (mp) output is icqrc, as shown in fig. by examining equations \ref{8.1} and \ref{8.2} it. Ideally The Q-Point Should Be Centered On The Load Line In A Class A Amplifier.
From www.chegg.com
Solved 5.58 (a) Determine the Qpoint values for the circuit Ideally The Q-Point Should Be Centered On The Load Line In A Class A Amplifier The maximum unclipped ac signal occurs when the q. there are three possible ways this can be configured: in general, the output signal power is the product of the rms load current and the rms load voltage. when the q point is below the center of the ac load line, the maximum peak (mp) output is icqrc,. Ideally The Q-Point Should Be Centered On The Load Line In A Class A Amplifier.
From www.theengineeringknowledge.com
Introduction to Class A Amplifier The Engineering Knowledge Ideally The Q-Point Should Be Centered On The Load Line In A Class A Amplifier The maximum unclipped ac signal occurs when the q. And the maximum signal that can be obtained is when the peak value of the current is icq. Q point closer to saturation, q point closer to cutoff, or q point centered. for a class a amplifier, the q point is centered as shown: the point on a transistor's. Ideally The Q-Point Should Be Centered On The Load Line In A Class A Amplifier.
From www.youtube.com
Lect7BJTDC load Line, Operating point, QPoint, Bias Stabilization Ideally The Q-Point Should Be Centered On The Load Line In A Class A Amplifier there are three possible ways this can be configured: Q point closer to saturation, q point closer to cutoff, or q point centered. when the q point is below the center of the ac load line, the maximum peak (mp) output is icqrc, as shown in fig. The maximum unclipped ac signal occurs when the q. the. Ideally The Q-Point Should Be Centered On The Load Line In A Class A Amplifier.
From www.circuitbread.com
Power Amplifiers CircuitBread Ideally The Q-Point Should Be Centered On The Load Line In A Class A Amplifier by examining equations \ref{8.1} and \ref{8.2} it is apparent that in order to achieve a centered q point on the ac load line, the following must be true: \[\frac{v_{ceq}}{i_{cq}} = r_e+r_c \label{8.3} \] Q point closer to saturation, q point closer to cutoff, or q point centered. for a class a amplifier, the q point is centered as. Ideally The Q-Point Should Be Centered On The Load Line In A Class A Amplifier.
From www.circuitbread.com
Power Amplifiers CircuitBread Ideally The Q-Point Should Be Centered On The Load Line In A Class A Amplifier by examining equations \ref{8.1} and \ref{8.2} it is apparent that in order to achieve a centered q point on the ac load line, the following must be true: there are three possible ways this can be configured: And the maximum signal that can be obtained is when the peak value of the current is icq. the point. Ideally The Q-Point Should Be Centered On The Load Line In A Class A Amplifier.
From www.youtube.com
4 Q point, DC Load Line, AC Load Line , Maximum Swing for the BJT Ideally The Q-Point Should Be Centered On The Load Line In A Class A Amplifier when the q point is below the center of the ac load line, the maximum peak (mp) output is icqrc, as shown in fig. the point on a transistor's dc load line where the transistor is biased to operate for a specific application is known as the q point of. for a class a amplifier, the q. Ideally The Q-Point Should Be Centered On The Load Line In A Class A Amplifier.
From www.transtutors.com
(Get Answer) Q3/ Draw The LoadLine Characteristics For The Circuit Ideally The Q-Point Should Be Centered On The Load Line In A Class A Amplifier And the maximum signal that can be obtained is when the peak value of the current is icq. for a class a amplifier, the q point is centered as shown: The maximum unclipped ac signal occurs when the q. \[\frac{v_{ceq}}{i_{cq}} = r_e+r_c \label{8.3} \] the point on a transistor's dc load line where the transistor is biased to. Ideally The Q-Point Should Be Centered On The Load Line In A Class A Amplifier.
From www.chegg.com
Solved Determine the Qpoint (operating point) values ICQ, Ideally The Q-Point Should Be Centered On The Load Line In A Class A Amplifier \[\frac{v_{ceq}}{i_{cq}} = r_e+r_c \label{8.3} \] The maximum unclipped ac signal occurs when the q. the point on a transistor's dc load line where the transistor is biased to operate for a specific application is known as the q point of. there are three possible ways this can be configured: when the q point is below the center. Ideally The Q-Point Should Be Centered On The Load Line In A Class A Amplifier.
From qooljaq.net
QPoint Ideally The Q-Point Should Be Centered On The Load Line In A Class A Amplifier The maximum unclipped ac signal occurs when the q. And the maximum signal that can be obtained is when the peak value of the current is icq. for a class a amplifier, the q point is centered as shown: there are three possible ways this can be configured: the point on a transistor's dc load line where. Ideally The Q-Point Should Be Centered On The Load Line In A Class A Amplifier.
From www.numerade.com
SOLVED Consider the circuit in Figure.1 by assuming =200.Find the Q Ideally The Q-Point Should Be Centered On The Load Line In A Class A Amplifier And the maximum signal that can be obtained is when the peak value of the current is icq. the point on a transistor's dc load line where the transistor is biased to operate for a specific application is known as the q point of. The maximum unclipped ac signal occurs when the q. \[\frac{v_{ceq}}{i_{cq}} = r_e+r_c \label{8.3} \] . Ideally The Q-Point Should Be Centered On The Load Line In A Class A Amplifier.
From www.youtube.com
DC Load line & QPoint YouTube Ideally The Q-Point Should Be Centered On The Load Line In A Class A Amplifier there are three possible ways this can be configured: by examining equations \ref{8.1} and \ref{8.2} it is apparent that in order to achieve a centered q point on the ac load line, the following must be true: for a class a amplifier, the q point is centered as shown: when the q point is below the. Ideally The Q-Point Should Be Centered On The Load Line In A Class A Amplifier.
From www.tutorialspoint.com
Class AB and Class C Power Amplifiers Ideally The Q-Point Should Be Centered On The Load Line In A Class A Amplifier The maximum unclipped ac signal occurs when the q. \[\frac{v_{ceq}}{i_{cq}} = r_e+r_c \label{8.3} \] in general, the output signal power is the product of the rms load current and the rms load voltage. when the q point is below the center of the ac load line, the maximum peak (mp) output is icqrc, as shown in fig. . Ideally The Q-Point Should Be Centered On The Load Line In A Class A Amplifier.
From www.chegg.com
Solved 3. Sketch the load line and plot the Qpoint for (a) Ideally The Q-Point Should Be Centered On The Load Line In A Class A Amplifier The maximum unclipped ac signal occurs when the q. And the maximum signal that can be obtained is when the peak value of the current is icq. by examining equations \ref{8.1} and \ref{8.2} it is apparent that in order to achieve a centered q point on the ac load line, the following must be true: when the q. Ideally The Q-Point Should Be Centered On The Load Line In A Class A Amplifier.