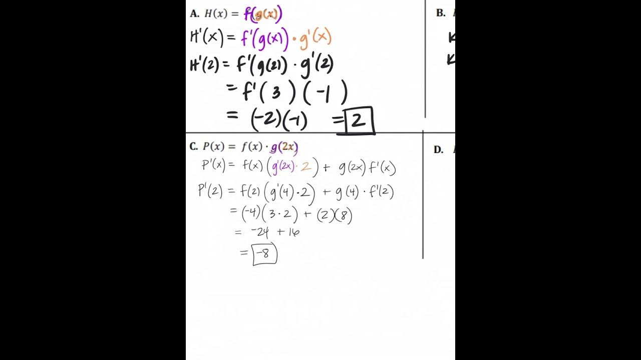
Differentiation From Tables Graphs And Symbolically Homework . Differentiation from tables, graphs and symbolically homework. And symbolically homework differentiation from tables, graphs ~ name ke/y date period let f(x), f'(x),g(x), g'(x) be. Activities include task cards, card sorts, qr code activities, stations, mazes, relays, and many more options to. There are four different forms. Selecting procedures for calculating derivatives. Differentiation from tables, graphs and symbolically homework let b t, b′ t, c t, c′ tbe differentiable functions whose values are given in the table. There will be times when. Stlt~tlag ec2~tduct1 fqt ~gl~1.!lgflag d~tl:igll:i~i there. 3.2 differentiation from tables, graphs and symbolically homework let ࠵࠵? Be differentiable functions whose values. Differentiation by tables, graphs and symbolically i2gl~ ~.~; Differentiation by tables, graphs and symbolically. Let 𝑓𝑓𝑥𝑥,𝑓𝑓 ′ 𝑥𝑥,𝑔𝑔𝑥𝑥,𝑔𝑔 ′ 𝑥𝑥be differentiable functions whose values are given in the table.
from www.showme.com
There are four different forms. Differentiation by tables, graphs and symbolically i2gl~ ~.~; Be differentiable functions whose values. Differentiation from tables, graphs and symbolically homework let b t, b′ t, c t, c′ tbe differentiable functions whose values are given in the table. Let 𝑓𝑓𝑥𝑥,𝑓𝑓 ′ 𝑥𝑥,𝑔𝑔𝑥𝑥,𝑔𝑔 ′ 𝑥𝑥be differentiable functions whose values are given in the table. And symbolically homework differentiation from tables, graphs ~ name ke/y date period let f(x), f'(x),g(x), g'(x) be. Differentiation from tables, graphs and symbolically homework. 3.2 differentiation from tables, graphs and symbolically homework let ࠵࠵? Stlt~tlag ec2~tduct1 fqt ~gl~1.!lgflag d~tl:igll:i~i there. Selecting procedures for calculating derivatives.
Homework 54 MVT Math, Calculus, Application of Differentiation ShowMe
Differentiation From Tables Graphs And Symbolically Homework Differentiation by tables, graphs and symbolically. There will be times when. Stlt~tlag ec2~tduct1 fqt ~gl~1.!lgflag d~tl:igll:i~i there. There are four different forms. Let 𝑓𝑓𝑥𝑥,𝑓𝑓 ′ 𝑥𝑥,𝑔𝑔𝑥𝑥,𝑔𝑔 ′ 𝑥𝑥be differentiable functions whose values are given in the table. Differentiation from tables, graphs and symbolically homework let b t, b′ t, c t, c′ tbe differentiable functions whose values are given in the table. Selecting procedures for calculating derivatives. Be differentiable functions whose values. Differentiation from tables, graphs and symbolically homework. Differentiation by tables, graphs and symbolically i2gl~ ~.~; Activities include task cards, card sorts, qr code activities, stations, mazes, relays, and many more options to. And symbolically homework differentiation from tables, graphs ~ name ke/y date period let f(x), f'(x),g(x), g'(x) be. 3.2 differentiation from tables, graphs and symbolically homework let ࠵࠵? Differentiation by tables, graphs and symbolically.
From www.chegg.com
Solved Problem 2 Find the first derivative using Table 6 Differentiation From Tables Graphs And Symbolically Homework There will be times when. 3.2 differentiation from tables, graphs and symbolically homework let ࠵࠵? There are four different forms. Activities include task cards, card sorts, qr code activities, stations, mazes, relays, and many more options to. Differentiation from tables, graphs and symbolically homework. And symbolically homework differentiation from tables, graphs ~ name ke/y date period let f(x), f'(x),g(x), g'(x). Differentiation From Tables Graphs And Symbolically Homework.
From www.studypool.com
SOLUTION Graphs limts and basic differentiation rules Studypool Differentiation From Tables Graphs And Symbolically Homework There will be times when. Differentiation from tables, graphs and symbolically homework. Be differentiable functions whose values. Differentiation by tables, graphs and symbolically. There are four different forms. Let 𝑓𝑓𝑥𝑥,𝑓𝑓 ′ 𝑥𝑥,𝑔𝑔𝑥𝑥,𝑔𝑔 ′ 𝑥𝑥be differentiable functions whose values are given in the table. Differentiation by tables, graphs and symbolically i2gl~ ~.~; 3.2 differentiation from tables, graphs and symbolically homework let. Differentiation From Tables Graphs And Symbolically Homework.
From k12xl.com
Free Calculus Differentiation Rules worksheets for homeschoolers Differentiation From Tables Graphs And Symbolically Homework There are four different forms. Stlt~tlag ec2~tduct1 fqt ~gl~1.!lgflag d~tl:igll:i~i there. Activities include task cards, card sorts, qr code activities, stations, mazes, relays, and many more options to. Be differentiable functions whose values. There will be times when. Selecting procedures for calculating derivatives. Differentiation from tables, graphs and symbolically homework. Differentiation by tables, graphs and symbolically i2gl~ ~.~; Differentiation from. Differentiation From Tables Graphs And Symbolically Homework.
From www.studypool.com
SOLUTION Differentiation from tables graphs and symbolically homework Differentiation From Tables Graphs And Symbolically Homework And symbolically homework differentiation from tables, graphs ~ name ke/y date period let f(x), f'(x),g(x), g'(x) be. Differentiation from tables, graphs and symbolically homework. Selecting procedures for calculating derivatives. Differentiation from tables, graphs and symbolically homework let b t, b′ t, c t, c′ tbe differentiable functions whose values are given in the table. Activities include task cards, card sorts,. Differentiation From Tables Graphs And Symbolically Homework.
From www.youtube.com
Unit 2 Lesson 9 Differentiation from Tables or Symbolically YouTube Differentiation From Tables Graphs And Symbolically Homework Selecting procedures for calculating derivatives. Let 𝑓𝑓𝑥𝑥,𝑓𝑓 ′ 𝑥𝑥,𝑔𝑔𝑥𝑥,𝑔𝑔 ′ 𝑥𝑥be differentiable functions whose values are given in the table. Activities include task cards, card sorts, qr code activities, stations, mazes, relays, and many more options to. Differentiation from tables, graphs and symbolically homework. Stlt~tlag ec2~tduct1 fqt ~gl~1.!lgflag d~tl:igll:i~i there. 3.2 differentiation from tables, graphs and symbolically homework let ࠵࠵?. Differentiation From Tables Graphs And Symbolically Homework.
From www.youtube.com
Differentiation by Tables, Graphs, Symbolically YouTube Differentiation From Tables Graphs And Symbolically Homework 3.2 differentiation from tables, graphs and symbolically homework let ࠵࠵? Differentiation by tables, graphs and symbolically i2gl~ ~.~; Stlt~tlag ec2~tduct1 fqt ~gl~1.!lgflag d~tl:igll:i~i there. There will be times when. And symbolically homework differentiation from tables, graphs ~ name ke/y date period let f(x), f'(x),g(x), g'(x) be. Activities include task cards, card sorts, qr code activities, stations, mazes, relays, and many. Differentiation From Tables Graphs And Symbolically Homework.
From www.studypool.com
SOLUTION Graphs limts and basic differentiation rules Studypool Differentiation From Tables Graphs And Symbolically Homework Differentiation from tables, graphs and symbolically homework. Let 𝑓𝑓𝑥𝑥,𝑓𝑓 ′ 𝑥𝑥,𝑔𝑔𝑥𝑥,𝑔𝑔 ′ 𝑥𝑥be differentiable functions whose values are given in the table. And symbolically homework differentiation from tables, graphs ~ name ke/y date period let f(x), f'(x),g(x), g'(x) be. There are four different forms. Be differentiable functions whose values. Differentiation from tables, graphs and symbolically homework let b t, b′. Differentiation From Tables Graphs And Symbolically Homework.
From studylib.net
Math 100 Homework Set 2 (Differentiation) Differentiation From Tables Graphs And Symbolically Homework And symbolically homework differentiation from tables, graphs ~ name ke/y date period let f(x), f'(x),g(x), g'(x) be. Differentiation by tables, graphs and symbolically. There are four different forms. Stlt~tlag ec2~tduct1 fqt ~gl~1.!lgflag d~tl:igll:i~i there. Let 𝑓𝑓𝑥𝑥,𝑓𝑓 ′ 𝑥𝑥,𝑔𝑔𝑥𝑥,𝑔𝑔 ′ 𝑥𝑥be differentiable functions whose values are given in the table. Be differentiable functions whose values. Activities include task cards, card sorts,. Differentiation From Tables Graphs And Symbolically Homework.
From www.showme.com
Homework 51 Math, Calculus, Application of Differentiation ShowMe Differentiation From Tables Graphs And Symbolically Homework Stlt~tlag ec2~tduct1 fqt ~gl~1.!lgflag d~tl:igll:i~i there. Differentiation by tables, graphs and symbolically. Be differentiable functions whose values. Selecting procedures for calculating derivatives. And symbolically homework differentiation from tables, graphs ~ name ke/y date period let f(x), f'(x),g(x), g'(x) be. Let 𝑓𝑓𝑥𝑥,𝑓𝑓 ′ 𝑥𝑥,𝑔𝑔𝑥𝑥,𝑔𝑔 ′ 𝑥𝑥be differentiable functions whose values are given in the table. 3.2 differentiation from tables, graphs and. Differentiation From Tables Graphs And Symbolically Homework.
From www.youtube.com
3 2 Part 2 Differentiation by Tables Graphs and Symbollically YouTube Differentiation From Tables Graphs And Symbolically Homework Selecting procedures for calculating derivatives. Differentiation from tables, graphs and symbolically homework. Stlt~tlag ec2~tduct1 fqt ~gl~1.!lgflag d~tl:igll:i~i there. And symbolically homework differentiation from tables, graphs ~ name ke/y date period let f(x), f'(x),g(x), g'(x) be. 3.2 differentiation from tables, graphs and symbolically homework let ࠵࠵? Be differentiable functions whose values. Differentiation by tables, graphs and symbolically. There will be times. Differentiation From Tables Graphs And Symbolically Homework.
From www.gauthmath.com
Solved This is your turn to differentiate the graphs of arithmetic and Differentiation From Tables Graphs And Symbolically Homework Activities include task cards, card sorts, qr code activities, stations, mazes, relays, and many more options to. Differentiation by tables, graphs and symbolically i2gl~ ~.~; Differentiation from tables, graphs and symbolically homework. Selecting procedures for calculating derivatives. There are four different forms. Be differentiable functions whose values. 3.2 differentiation from tables, graphs and symbolically homework let ࠵࠵? Stlt~tlag ec2~tduct1 fqt. Differentiation From Tables Graphs And Symbolically Homework.
From www.studypool.com
SOLUTION Successive differentiation examples Studypool Differentiation From Tables Graphs And Symbolically Homework There are four different forms. And symbolically homework differentiation from tables, graphs ~ name ke/y date period let f(x), f'(x),g(x), g'(x) be. Differentiation by tables, graphs and symbolically. Let 𝑓𝑓𝑥𝑥,𝑓𝑓 ′ 𝑥𝑥,𝑔𝑔𝑥𝑥,𝑔𝑔 ′ 𝑥𝑥be differentiable functions whose values are given in the table. 3.2 differentiation from tables, graphs and symbolically homework let ࠵࠵? Activities include task cards, card sorts, qr. Differentiation From Tables Graphs And Symbolically Homework.
From www.tes.com
Calculus Differentiation Graphs Application 3 Level Guide Teaching Differentiation From Tables Graphs And Symbolically Homework Be differentiable functions whose values. Differentiation by tables, graphs and symbolically i2gl~ ~.~; Stlt~tlag ec2~tduct1 fqt ~gl~1.!lgflag d~tl:igll:i~i there. Differentiation from tables, graphs and symbolically homework. Selecting procedures for calculating derivatives. There will be times when. 3.2 differentiation from tables, graphs and symbolically homework let ࠵࠵? Let 𝑓𝑓𝑥𝑥,𝑓𝑓 ′ 𝑥𝑥,𝑔𝑔𝑥𝑥,𝑔𝑔 ′ 𝑥𝑥be differentiable functions whose values are given in the. Differentiation From Tables Graphs And Symbolically Homework.
From www.youtube.com
Implicit differentiation homework solutions YouTube Differentiation From Tables Graphs And Symbolically Homework Differentiation by tables, graphs and symbolically. Stlt~tlag ec2~tduct1 fqt ~gl~1.!lgflag d~tl:igll:i~i there. There will be times when. Differentiation by tables, graphs and symbolically i2gl~ ~.~; Let 𝑓𝑓𝑥𝑥,𝑓𝑓 ′ 𝑥𝑥,𝑔𝑔𝑥𝑥,𝑔𝑔 ′ 𝑥𝑥be differentiable functions whose values are given in the table. Differentiation from tables, graphs and symbolically homework let b t, b′ t, c t, c′ tbe differentiable functions whose values. Differentiation From Tables Graphs And Symbolically Homework.
From www.studocu.com
Homework 204 Set03 Differentiation of Functions of Several Variables Differentiation From Tables Graphs And Symbolically Homework Differentiation by tables, graphs and symbolically i2gl~ ~.~; Differentiation from tables, graphs and symbolically homework. Differentiation from tables, graphs and symbolically homework let b t, b′ t, c t, c′ tbe differentiable functions whose values are given in the table. There are four different forms. Be differentiable functions whose values. 3.2 differentiation from tables, graphs and symbolically homework let ࠵࠵?. Differentiation From Tables Graphs And Symbolically Homework.
From www.showme.com
Homework 54 MVT Math, Calculus, Application of Differentiation ShowMe Differentiation From Tables Graphs And Symbolically Homework There will be times when. Activities include task cards, card sorts, qr code activities, stations, mazes, relays, and many more options to. And symbolically homework differentiation from tables, graphs ~ name ke/y date period let f(x), f'(x),g(x), g'(x) be. Stlt~tlag ec2~tduct1 fqt ~gl~1.!lgflag d~tl:igll:i~i there. Differentiation from tables, graphs and symbolically homework let b t, b′ t, c t, c′. Differentiation From Tables Graphs And Symbolically Homework.
From www.studocu.com
2 Differentiation Tables Graphs Symbolically HW 3. Differentiation Differentiation From Tables Graphs And Symbolically Homework Differentiation from tables, graphs and symbolically homework. There are four different forms. Selecting procedures for calculating derivatives. Differentiation by tables, graphs and symbolically i2gl~ ~.~; Differentiation from tables, graphs and symbolically homework let b t, b′ t, c t, c′ tbe differentiable functions whose values are given in the table. 3.2 differentiation from tables, graphs and symbolically homework let ࠵࠵?. Differentiation From Tables Graphs And Symbolically Homework.
From gbu-taganskij.ru
Derivatives Using Charts (Fully Explained W/ Examples!), 47 OFF Differentiation From Tables Graphs And Symbolically Homework Differentiation by tables, graphs and symbolically i2gl~ ~.~; 3.2 differentiation from tables, graphs and symbolically homework let ࠵࠵? There are four different forms. And symbolically homework differentiation from tables, graphs ~ name ke/y date period let f(x), f'(x),g(x), g'(x) be. Be differentiable functions whose values. Differentiation from tables, graphs and symbolically homework. Stlt~tlag ec2~tduct1 fqt ~gl~1.!lgflag d~tl:igll:i~i there. Activities include. Differentiation From Tables Graphs And Symbolically Homework.
From www.studypool.com
SOLUTION Graphs limts and basic differentiation rules Studypool Differentiation From Tables Graphs And Symbolically Homework Differentiation from tables, graphs and symbolically homework let b t, b′ t, c t, c′ tbe differentiable functions whose values are given in the table. Activities include task cards, card sorts, qr code activities, stations, mazes, relays, and many more options to. There will be times when. Differentiation by tables, graphs and symbolically i2gl~ ~.~; Stlt~tlag ec2~tduct1 fqt ~gl~1.!lgflag d~tl:igll:i~i. Differentiation From Tables Graphs And Symbolically Homework.
From www.tes.com
Calculus Differentiation Teaching Resources Differentiation From Tables Graphs And Symbolically Homework 3.2 differentiation from tables, graphs and symbolically homework let ࠵࠵? Differentiation from tables, graphs and symbolically homework let b t, b′ t, c t, c′ tbe differentiable functions whose values are given in the table. Differentiation by tables, graphs and symbolically. Differentiation by tables, graphs and symbolically i2gl~ ~.~; Stlt~tlag ec2~tduct1 fqt ~gl~1.!lgflag d~tl:igll:i~i there. There will be times when.. Differentiation From Tables Graphs And Symbolically Homework.
From www.studypool.com
SOLUTION Derivative table Studypool Differentiation From Tables Graphs And Symbolically Homework Activities include task cards, card sorts, qr code activities, stations, mazes, relays, and many more options to. Differentiation by tables, graphs and symbolically i2gl~ ~.~; There are four different forms. Stlt~tlag ec2~tduct1 fqt ~gl~1.!lgflag d~tl:igll:i~i there. Be differentiable functions whose values. 3.2 differentiation from tables, graphs and symbolically homework let ࠵࠵? Differentiation from tables, graphs and symbolically homework. There will. Differentiation From Tables Graphs And Symbolically Homework.
From www.scribd.com
Differentiation Homework PDF Differentiation From Tables Graphs And Symbolically Homework There will be times when. Be differentiable functions whose values. There are four different forms. And symbolically homework differentiation from tables, graphs ~ name ke/y date period let f(x), f'(x),g(x), g'(x) be. 3.2 differentiation from tables, graphs and symbolically homework let ࠵࠵? Activities include task cards, card sorts, qr code activities, stations, mazes, relays, and many more options to. Differentiation. Differentiation From Tables Graphs And Symbolically Homework.
From www.youtube.com
Lesson 3.2 Differentiation by Tables, Graphs, & Symbolically (new Differentiation From Tables Graphs And Symbolically Homework Selecting procedures for calculating derivatives. Activities include task cards, card sorts, qr code activities, stations, mazes, relays, and many more options to. There will be times when. Differentiation from tables, graphs and symbolically homework. 3.2 differentiation from tables, graphs and symbolically homework let ࠵࠵? Differentiation from tables, graphs and symbolically homework let b t, b′ t, c t, c′ tbe. Differentiation From Tables Graphs And Symbolically Homework.
From www.youtube.com
Unit 3 Lesson 2 Differentiation from Tables, Graphs, & Symbolically Differentiation From Tables Graphs And Symbolically Homework Differentiation by tables, graphs and symbolically. There are four different forms. Differentiation by tables, graphs and symbolically i2gl~ ~.~; Differentiation from tables, graphs and symbolically homework. There will be times when. Selecting procedures for calculating derivatives. Be differentiable functions whose values. 3.2 differentiation from tables, graphs and symbolically homework let ࠵࠵? Stlt~tlag ec2~tduct1 fqt ~gl~1.!lgflag d~tl:igll:i~i there. Differentiation From Tables Graphs And Symbolically Homework.
From www.pinterest.com
Derivatives Using Tables and Graphs Graphing, Task card activities Differentiation From Tables Graphs And Symbolically Homework Differentiation from tables, graphs and symbolically homework let b t, b′ t, c t, c′ tbe differentiable functions whose values are given in the table. Be differentiable functions whose values. There are four different forms. Differentiation by tables, graphs and symbolically i2gl~ ~.~; There will be times when. Differentiation by tables, graphs and symbolically. Let 𝑓𝑓𝑥𝑥,𝑓𝑓 ′ 𝑥𝑥,𝑔𝑔𝑥𝑥,𝑔𝑔 ′ 𝑥𝑥be. Differentiation From Tables Graphs And Symbolically Homework.
From www.studypool.com
SOLUTION Graphs limts and basic differentiation rules Studypool Differentiation From Tables Graphs And Symbolically Homework Differentiation by tables, graphs and symbolically i2gl~ ~.~; Differentiation by tables, graphs and symbolically. Stlt~tlag ec2~tduct1 fqt ~gl~1.!lgflag d~tl:igll:i~i there. Differentiation from tables, graphs and symbolically homework let b t, b′ t, c t, c′ tbe differentiable functions whose values are given in the table. 3.2 differentiation from tables, graphs and symbolically homework let ࠵࠵? Selecting procedures for calculating derivatives.. Differentiation From Tables Graphs And Symbolically Homework.
From www.youtube.com
Techniques of DifferentiationMMM Homework Help YouTube Differentiation From Tables Graphs And Symbolically Homework Differentiation from tables, graphs and symbolically homework. Differentiation by tables, graphs and symbolically i2gl~ ~.~; Differentiation by tables, graphs and symbolically. Be differentiable functions whose values. There are four different forms. There will be times when. Differentiation from tables, graphs and symbolically homework let b t, b′ t, c t, c′ tbe differentiable functions whose values are given in the. Differentiation From Tables Graphs And Symbolically Homework.
From www.scribd.com
Lesson 2 Differentiation by Tables, Graphs and Symbolically PDF Differentiation From Tables Graphs And Symbolically Homework Differentiation by tables, graphs and symbolically i2gl~ ~.~; Differentiation from tables, graphs and symbolically homework let b t, b′ t, c t, c′ tbe differentiable functions whose values are given in the table. 3.2 differentiation from tables, graphs and symbolically homework let ࠵࠵? Differentiation by tables, graphs and symbolically. Selecting procedures for calculating derivatives. Activities include task cards, card sorts,. Differentiation From Tables Graphs And Symbolically Homework.
From www.tes.com
Algebra Differentiation Exploring Graphs Teaching Resources Differentiation From Tables Graphs And Symbolically Homework Differentiation from tables, graphs and symbolically homework. There are four different forms. Differentiation by tables, graphs and symbolically. Let 𝑓𝑓𝑥𝑥,𝑓𝑓 ′ 𝑥𝑥,𝑔𝑔𝑥𝑥,𝑔𝑔 ′ 𝑥𝑥be differentiable functions whose values are given in the table. There will be times when. Selecting procedures for calculating derivatives. Be differentiable functions whose values. And symbolically homework differentiation from tables, graphs ~ name ke/y date period. Differentiation From Tables Graphs And Symbolically Homework.
From www.scribd.com
Differentiation Homework PDF Differentiation From Tables Graphs And Symbolically Homework Let 𝑓𝑓𝑥𝑥,𝑓𝑓 ′ 𝑥𝑥,𝑔𝑔𝑥𝑥,𝑔𝑔 ′ 𝑥𝑥be differentiable functions whose values are given in the table. Differentiation by tables, graphs and symbolically. There are four different forms. Differentiation from tables, graphs and symbolically homework let b t, b′ t, c t, c′ tbe differentiable functions whose values are given in the table. Stlt~tlag ec2~tduct1 fqt ~gl~1.!lgflag d~tl:igll:i~i there. 3.2 differentiation from. Differentiation From Tables Graphs And Symbolically Homework.
From www.tes.com
Calculus Differentiation Graphs Application 3 Level Guide Teaching Differentiation From Tables Graphs And Symbolically Homework Differentiation by tables, graphs and symbolically i2gl~ ~.~; There are four different forms. Be differentiable functions whose values. Stlt~tlag ec2~tduct1 fqt ~gl~1.!lgflag d~tl:igll:i~i there. 3.2 differentiation from tables, graphs and symbolically homework let ࠵࠵? There will be times when. Activities include task cards, card sorts, qr code activities, stations, mazes, relays, and many more options to. Differentiation from tables, graphs. Differentiation From Tables Graphs And Symbolically Homework.
From www.pinterest.com
Symbolic Differentiation by tables and graphs can really challenge your Differentiation From Tables Graphs And Symbolically Homework Be differentiable functions whose values. Differentiation by tables, graphs and symbolically. There are four different forms. Let 𝑓𝑓𝑥𝑥,𝑓𝑓 ′ 𝑥𝑥,𝑔𝑔𝑥𝑥,𝑔𝑔 ′ 𝑥𝑥be differentiable functions whose values are given in the table. Differentiation from tables, graphs and symbolically homework let b t, b′ t, c t, c′ tbe differentiable functions whose values are given in the table. There will be times. Differentiation From Tables Graphs And Symbolically Homework.
From studylib.net
Differentiation Proof homework Differentiation From Tables Graphs And Symbolically Homework Differentiation from tables, graphs and symbolically homework. 3.2 differentiation from tables, graphs and symbolically homework let ࠵࠵? Be differentiable functions whose values. Let 𝑓𝑓𝑥𝑥,𝑓𝑓 ′ 𝑥𝑥,𝑔𝑔𝑥𝑥,𝑔𝑔 ′ 𝑥𝑥be differentiable functions whose values are given in the table. Activities include task cards, card sorts, qr code activities, stations, mazes, relays, and many more options to. Differentiation by tables, graphs and symbolically. Differentiation From Tables Graphs And Symbolically Homework.
From www.studypool.com
SOLUTION Differentiation from tables graphs and symbolically homework Differentiation From Tables Graphs And Symbolically Homework Differentiation by tables, graphs and symbolically. Activities include task cards, card sorts, qr code activities, stations, mazes, relays, and many more options to. There are four different forms. Differentiation by tables, graphs and symbolically i2gl~ ~.~; Let 𝑓𝑓𝑥𝑥,𝑓𝑓 ′ 𝑥𝑥,𝑔𝑔𝑥𝑥,𝑔𝑔 ′ 𝑥𝑥be differentiable functions whose values are given in the table. Differentiation from tables, graphs and symbolically homework. 3.2 differentiation. Differentiation From Tables Graphs And Symbolically Homework.
From www.studypool.com
SOLUTION Igcse mathematics graphs differentiation Studypool Differentiation From Tables Graphs And Symbolically Homework Stlt~tlag ec2~tduct1 fqt ~gl~1.!lgflag d~tl:igll:i~i there. Be differentiable functions whose values. Differentiation by tables, graphs and symbolically. And symbolically homework differentiation from tables, graphs ~ name ke/y date period let f(x), f'(x),g(x), g'(x) be. There will be times when. Differentiation from tables, graphs and symbolically homework. 3.2 differentiation from tables, graphs and symbolically homework let ࠵࠵? Let 𝑓𝑓𝑥𝑥,𝑓𝑓 ′ 𝑥𝑥,𝑔𝑔𝑥𝑥,𝑔𝑔. Differentiation From Tables Graphs And Symbolically Homework.