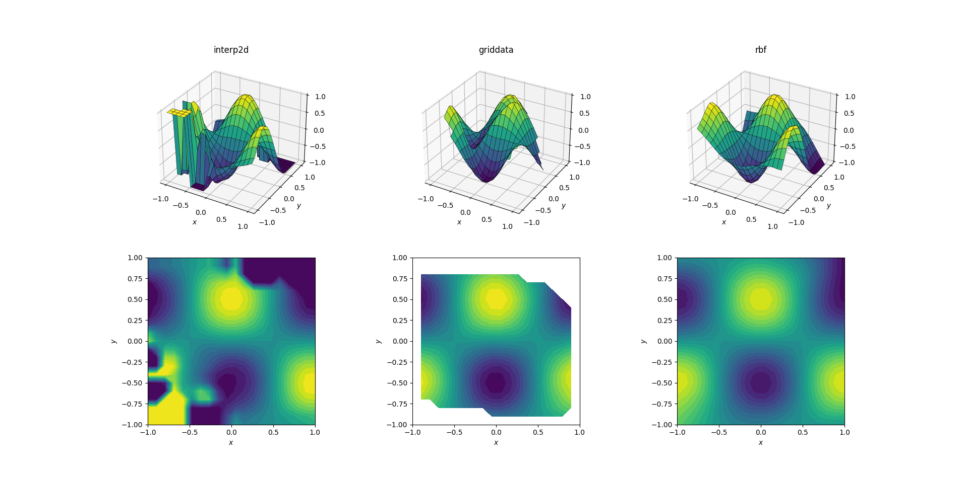
Griddata Example . As of version 0.98.3, matplotlib provides a griddata function that behaves similarly to the matlab version. This example demonstrates the most straightforward use of griddata(): Create a sample data set of 50 scattered points. Compare the results of several different interpolation algorithms offered by griddata. The basic idea of implementing extrapolation manually in a wrapper class or function can be easily generalized to higher dimensions. The answer is, first you interpolate it to a regular grid. Interpolating scattered data to a regular grid using linear interpolation. >>> import numpy as np >>> from scipy.interpolate import rbfinterpolator >>> import matplotlib.pyplot as plt. The number of points is artificially small to highlight the differences. The code below illustrates the different kinds of interpolation method available for scipy.interpolate.griddata using.
from stackoverflow.com
The basic idea of implementing extrapolation manually in a wrapper class or function can be easily generalized to higher dimensions. The number of points is artificially small to highlight the differences. The answer is, first you interpolate it to a regular grid. The code below illustrates the different kinds of interpolation method available for scipy.interpolate.griddata using. Compare the results of several different interpolation algorithms offered by griddata. As of version 0.98.3, matplotlib provides a griddata function that behaves similarly to the matlab version. >>> import numpy as np >>> from scipy.interpolate import rbfinterpolator >>> import matplotlib.pyplot as plt. Interpolating scattered data to a regular grid using linear interpolation. Create a sample data set of 50 scattered points. This example demonstrates the most straightforward use of griddata():
python interpolate.griddata results inconsistent Stack Overflow
Griddata Example The answer is, first you interpolate it to a regular grid. Compare the results of several different interpolation algorithms offered by griddata. Create a sample data set of 50 scattered points. The code below illustrates the different kinds of interpolation method available for scipy.interpolate.griddata using. The answer is, first you interpolate it to a regular grid. The number of points is artificially small to highlight the differences. >>> import numpy as np >>> from scipy.interpolate import rbfinterpolator >>> import matplotlib.pyplot as plt. As of version 0.98.3, matplotlib provides a griddata function that behaves similarly to the matlab version. This example demonstrates the most straightforward use of griddata(): The basic idea of implementing extrapolation manually in a wrapper class or function can be easily generalized to higher dimensions. Interpolating scattered data to a regular grid using linear interpolation.
From www.youtube.com
What is MATLAB griddata function using Script YouTube Griddata Example Compare the results of several different interpolation algorithms offered by griddata. >>> import numpy as np >>> from scipy.interpolate import rbfinterpolator >>> import matplotlib.pyplot as plt. Create a sample data set of 50 scattered points. The number of points is artificially small to highlight the differences. Interpolating scattered data to a regular grid using linear interpolation. The code below illustrates. Griddata Example.
From slidetodoc.com
Advanced Plotting Techniques Chapter 11 Above Principal contraction Griddata Example As of version 0.98.3, matplotlib provides a griddata function that behaves similarly to the matlab version. The number of points is artificially small to highlight the differences. Create a sample data set of 50 scattered points. The answer is, first you interpolate it to a regular grid. This example demonstrates the most straightforward use of griddata(): Compare the results of. Griddata Example.
From www.slideserve.com
PPT DB Programming Cont PowerPoint Presentation, free download ID Griddata Example The number of points is artificially small to highlight the differences. Compare the results of several different interpolation algorithms offered by griddata. The basic idea of implementing extrapolation manually in a wrapper class or function can be easily generalized to higher dimensions. The code below illustrates the different kinds of interpolation method available for scipy.interpolate.griddata using. The answer is, first. Griddata Example.
From geoexamples.blogspot.com
GeoExamples Creating a grid from scattered data using inverse of the Griddata Example The answer is, first you interpolate it to a regular grid. This example demonstrates the most straightforward use of griddata(): Create a sample data set of 50 scattered points. As of version 0.98.3, matplotlib provides a griddata function that behaves similarly to the matlab version. Interpolating scattered data to a regular grid using linear interpolation. >>> import numpy as np. Griddata Example.
From ceolasopa376.weebly.com
Scipy griddata ceolasopa Griddata Example This example demonstrates the most straightforward use of griddata(): As of version 0.98.3, matplotlib provides a griddata function that behaves similarly to the matlab version. The number of points is artificially small to highlight the differences. The answer is, first you interpolate it to a regular grid. Create a sample data set of 50 scattered points. Compare the results of. Griddata Example.
From stackoverflow.com
Countour lines Matplotlib Python Stack Overflow Griddata Example The answer is, first you interpolate it to a regular grid. Interpolating scattered data to a regular grid using linear interpolation. Compare the results of several different interpolation algorithms offered by griddata. The number of points is artificially small to highlight the differences. This example demonstrates the most straightforward use of griddata(): As of version 0.98.3, matplotlib provides a griddata. Griddata Example.
From stackoverflow.com
python Matplotlib contour from xyz data griddata invalid index Griddata Example Compare the results of several different interpolation algorithms offered by griddata. Interpolating scattered data to a regular grid using linear interpolation. The basic idea of implementing extrapolation manually in a wrapper class or function can be easily generalized to higher dimensions. Create a sample data set of 50 scattered points. >>> import numpy as np >>> from scipy.interpolate import rbfinterpolator. Griddata Example.
From stackoverflow.com
matlab griddata generating data outside desired areas Stack Overflow Griddata Example As of version 0.98.3, matplotlib provides a griddata function that behaves similarly to the matlab version. Interpolating scattered data to a regular grid using linear interpolation. This example demonstrates the most straightforward use of griddata(): >>> import numpy as np >>> from scipy.interpolate import rbfinterpolator >>> import matplotlib.pyplot as plt. The number of points is artificially small to highlight the. Griddata Example.
From stackoverflow.com
grid griddata and polar plots Stack Overflow Griddata Example The basic idea of implementing extrapolation manually in a wrapper class or function can be easily generalized to higher dimensions. Compare the results of several different interpolation algorithms offered by griddata. The number of points is artificially small to highlight the differences. As of version 0.98.3, matplotlib provides a griddata function that behaves similarly to the matlab version. >>> import. Griddata Example.
From www.sharpsightlabs.com
Numpy Meshgrid, Explained Sharp Sight Griddata Example The basic idea of implementing extrapolation manually in a wrapper class or function can be easily generalized to higher dimensions. Compare the results of several different interpolation algorithms offered by griddata. The answer is, first you interpolate it to a regular grid. >>> import numpy as np >>> from scipy.interpolate import rbfinterpolator >>> import matplotlib.pyplot as plt. Create a sample. Griddata Example.
From octave.sourceforge.io
Function Reference griddata Griddata Example The answer is, first you interpolate it to a regular grid. Interpolating scattered data to a regular grid using linear interpolation. Compare the results of several different interpolation algorithms offered by griddata. As of version 0.98.3, matplotlib provides a griddata function that behaves similarly to the matlab version. >>> import numpy as np >>> from scipy.interpolate import rbfinterpolator >>> import. Griddata Example.
From www.wavemetrics.com
Surface Plots Griddata Example Interpolating scattered data to a regular grid using linear interpolation. The number of points is artificially small to highlight the differences. Compare the results of several different interpolation algorithms offered by griddata. As of version 0.98.3, matplotlib provides a griddata function that behaves similarly to the matlab version. This example demonstrates the most straightforward use of griddata(): The basic idea. Griddata Example.
From slidetodoc.com
Advanced Plotting Techniques Chapter 11 Above Principal contraction Griddata Example Create a sample data set of 50 scattered points. As of version 0.98.3, matplotlib provides a griddata function that behaves similarly to the matlab version. The basic idea of implementing extrapolation manually in a wrapper class or function can be easily generalized to higher dimensions. The number of points is artificially small to highlight the differences. This example demonstrates the. Griddata Example.
From matplotlib.org
pylab_examples example code griddata_demo.py — Matplotlib 1.3.1 Griddata Example Create a sample data set of 50 scattered points. As of version 0.98.3, matplotlib provides a griddata function that behaves similarly to the matlab version. The basic idea of implementing extrapolation manually in a wrapper class or function can be easily generalized to higher dimensions. >>> import numpy as np >>> from scipy.interpolate import rbfinterpolator >>> import matplotlib.pyplot as plt.. Griddata Example.
From stackoverflow.com
python interpolate.griddata results inconsistent Stack Overflow Griddata Example Create a sample data set of 50 scattered points. The basic idea of implementing extrapolation manually in a wrapper class or function can be easily generalized to higher dimensions. >>> import numpy as np >>> from scipy.interpolate import rbfinterpolator >>> import matplotlib.pyplot as plt. Compare the results of several different interpolation algorithms offered by griddata. The code below illustrates the. Griddata Example.
From slideplayer.com
DB Programming Cont Database Systems. ppt download Griddata Example As of version 0.98.3, matplotlib provides a griddata function that behaves similarly to the matlab version. The answer is, first you interpolate it to a regular grid. Interpolating scattered data to a regular grid using linear interpolation. The basic idea of implementing extrapolation manually in a wrapper class or function can be easily generalized to higher dimensions. The code below. Griddata Example.
From www.itbaoku.cn
如何用scipy进行二维插值? IT宝库 Griddata Example Compare the results of several different interpolation algorithms offered by griddata. The basic idea of implementing extrapolation manually in a wrapper class or function can be easily generalized to higher dimensions. Create a sample data set of 50 scattered points. Interpolating scattered data to a regular grid using linear interpolation. This example demonstrates the most straightforward use of griddata(): The. Griddata Example.
From www.slideserve.com
PPT 12.010 Computational Methods of Scientific Programming PowerPoint Griddata Example The code below illustrates the different kinds of interpolation method available for scipy.interpolate.griddata using. This example demonstrates the most straightforward use of griddata(): The answer is, first you interpolate it to a regular grid. Compare the results of several different interpolation algorithms offered by griddata. Interpolating scattered data to a regular grid using linear interpolation. As of version 0.98.3, matplotlib. Griddata Example.
From slideplayer.com
DB Programming Cont Database Systems. ppt download Griddata Example The basic idea of implementing extrapolation manually in a wrapper class or function can be easily generalized to higher dimensions. The number of points is artificially small to highlight the differences. >>> import numpy as np >>> from scipy.interpolate import rbfinterpolator >>> import matplotlib.pyplot as plt. As of version 0.98.3, matplotlib provides a griddata function that behaves similarly to the. Griddata Example.
From docs.huihoo.com
pylab_examples example code tricontour_vs_griddata.py — Matplotlib 1.4 Griddata Example The code below illustrates the different kinds of interpolation method available for scipy.interpolate.griddata using. This example demonstrates the most straightforward use of griddata(): >>> import numpy as np >>> from scipy.interpolate import rbfinterpolator >>> import matplotlib.pyplot as plt. Create a sample data set of 50 scattered points. The number of points is artificially small to highlight the differences. The basic. Griddata Example.
From www.researchgate.net
Fig. SB1. Example of GridData request to obtain (top) numeric Griddata Example The number of points is artificially small to highlight the differences. The answer is, first you interpolate it to a regular grid. >>> import numpy as np >>> from scipy.interpolate import rbfinterpolator >>> import matplotlib.pyplot as plt. The basic idea of implementing extrapolation manually in a wrapper class or function can be easily generalized to higher dimensions. The code below. Griddata Example.
From www.slideserve.com
PPT Building GUIs with SWT PowerPoint Presentation, free download Griddata Example Create a sample data set of 50 scattered points. The code below illustrates the different kinds of interpolation method available for scipy.interpolate.griddata using. Interpolating scattered data to a regular grid using linear interpolation. The basic idea of implementing extrapolation manually in a wrapper class or function can be easily generalized to higher dimensions. The answer is, first you interpolate it. Griddata Example.
From stackoverflow.com
python How can I perform twodimensional interpolation using scipy Griddata Example This example demonstrates the most straightforward use of griddata(): Compare the results of several different interpolation algorithms offered by griddata. As of version 0.98.3, matplotlib provides a griddata function that behaves similarly to the matlab version. Interpolating scattered data to a regular grid using linear interpolation. The code below illustrates the different kinds of interpolation method available for scipy.interpolate.griddata using.. Griddata Example.
From earthscience.stackexchange.com
meteorology How to interpolate scattered data to a regular grid in Griddata Example The code below illustrates the different kinds of interpolation method available for scipy.interpolate.griddata using. >>> import numpy as np >>> from scipy.interpolate import rbfinterpolator >>> import matplotlib.pyplot as plt. The basic idea of implementing extrapolation manually in a wrapper class or function can be easily generalized to higher dimensions. The answer is, first you interpolate it to a regular grid.. Griddata Example.
From www.tpsearchtool.com
Interpolation Using Griddata In 2d And 3d Spaces In Matlab Matlab Images Griddata Example The number of points is artificially small to highlight the differences. The basic idea of implementing extrapolation manually in a wrapper class or function can be easily generalized to higher dimensions. As of version 0.98.3, matplotlib provides a griddata function that behaves similarly to the matlab version. The answer is, first you interpolate it to a regular grid. The code. Griddata Example.
From www.slideserve.com
PPT Interpolation and Approximation using Radial Base Functions (RBF Griddata Example Compare the results of several different interpolation algorithms offered by griddata. >>> import numpy as np >>> from scipy.interpolate import rbfinterpolator >>> import matplotlib.pyplot as plt. Create a sample data set of 50 scattered points. The code below illustrates the different kinds of interpolation method available for scipy.interpolate.griddata using. This example demonstrates the most straightforward use of griddata(): As of. Griddata Example.
From slideplayer.com
DB Programming Cont Database Systems. ppt download Griddata Example Create a sample data set of 50 scattered points. The basic idea of implementing extrapolation manually in a wrapper class or function can be easily generalized to higher dimensions. The number of points is artificially small to highlight the differences. The code below illustrates the different kinds of interpolation method available for scipy.interpolate.griddata using. >>> import numpy as np >>>. Griddata Example.
From stackoverflow.com
python Different results for 2d interpolation with scipy.interpolate Griddata Example Compare the results of several different interpolation algorithms offered by griddata. The basic idea of implementing extrapolation manually in a wrapper class or function can be easily generalized to higher dimensions. This example demonstrates the most straightforward use of griddata(): As of version 0.98.3, matplotlib provides a griddata function that behaves similarly to the matlab version. The code below illustrates. Griddata Example.
From docs.scipy.org
griddata — SciPy v1.14.1 Manual Griddata Example This example demonstrates the most straightforward use of griddata(): The code below illustrates the different kinds of interpolation method available for scipy.interpolate.griddata using. Create a sample data set of 50 scattered points. Interpolating scattered data to a regular grid using linear interpolation. The answer is, first you interpolate it to a regular grid. Compare the results of several different interpolation. Griddata Example.
From stackoverflow.com
numpy Python interpolation 2D irregular points with Griddata Griddata Example The number of points is artificially small to highlight the differences. Interpolating scattered data to a regular grid using linear interpolation. As of version 0.98.3, matplotlib provides a griddata function that behaves similarly to the matlab version. The basic idea of implementing extrapolation manually in a wrapper class or function can be easily generalized to higher dimensions. The code below. Griddata Example.
From www.slideserve.com
PPT Understanding Layouts in SWT PowerPoint Presentation, free Griddata Example >>> import numpy as np >>> from scipy.interpolate import rbfinterpolator >>> import matplotlib.pyplot as plt. The answer is, first you interpolate it to a regular grid. The number of points is artificially small to highlight the differences. The code below illustrates the different kinds of interpolation method available for scipy.interpolate.griddata using. This example demonstrates the most straightforward use of griddata():. Griddata Example.
From giobchlpz.blob.core.windows.net
Ag Grid Reset Filter Button at Oscar Rodriguez blog Griddata Example The number of points is artificially small to highlight the differences. >>> import numpy as np >>> from scipy.interpolate import rbfinterpolator >>> import matplotlib.pyplot as plt. Compare the results of several different interpolation algorithms offered by griddata. Interpolating scattered data to a regular grid using linear interpolation. Create a sample data set of 50 scattered points. This example demonstrates the. Griddata Example.
From octave.sourceforge.io
Function Reference griddata Griddata Example The number of points is artificially small to highlight the differences. Create a sample data set of 50 scattered points. Interpolating scattered data to a regular grid using linear interpolation. Compare the results of several different interpolation algorithms offered by griddata. This example demonstrates the most straightforward use of griddata(): The basic idea of implementing extrapolation manually in a wrapper. Griddata Example.
From stackoverflow.com
python Extrapolate GridData utilizing RBF Stack Overflow Griddata Example The answer is, first you interpolate it to a regular grid. >>> import numpy as np >>> from scipy.interpolate import rbfinterpolator >>> import matplotlib.pyplot as plt. The basic idea of implementing extrapolation manually in a wrapper class or function can be easily generalized to higher dimensions. Create a sample data set of 50 scattered points. Compare the results of several. Griddata Example.
From www.slideserve.com
PPT Standard Widget Toolkit PowerPoint Presentation, free download Griddata Example Compare the results of several different interpolation algorithms offered by griddata. The answer is, first you interpolate it to a regular grid. The number of points is artificially small to highlight the differences. Interpolating scattered data to a regular grid using linear interpolation. The code below illustrates the different kinds of interpolation method available for scipy.interpolate.griddata using. The basic idea. Griddata Example.