Inner Product In Latex Math . The inline math mode and display math mode: i want to write an inner product in latex. latex allows two writing modes for mathematical expressions: our definition of an inner product on a vector space $v$ is as follows: Put \cdot s in place of the arguments: here we present a list of algebraic operators commonly used in latex equations. $\langle\cdot,\cdot\rangle$ (this is what i prefer). $\langle v,v \rangle \ge 0$ with equality if. $\begingroup$ notations for inner products are $(v,w)$, or $\langle v,w\rangle$, or $b(v,w)$. i think that there are two most sensible options: I would like it to work along the lines of. Using the normal characters < and >, the inner product brackets end up. Inline math mode is used to write formulas.
from www.chegg.com
our definition of an inner product on a vector space $v$ is as follows: here we present a list of algebraic operators commonly used in latex equations. $\begingroup$ notations for inner products are $(v,w)$, or $\langle v,w\rangle$, or $b(v,w)$. Inline math mode is used to write formulas. I would like it to work along the lines of. $\langle v,v \rangle \ge 0$ with equality if. The inline math mode and display math mode: i think that there are two most sensible options: i want to write an inner product in latex. latex allows two writing modes for mathematical expressions:
Solved (2) (Inner products and norms) The notion of an inner
Inner Product In Latex Math $\langle\cdot,\cdot\rangle$ (this is what i prefer). $\begingroup$ notations for inner products are $(v,w)$, or $\langle v,w\rangle$, or $b(v,w)$. latex allows two writing modes for mathematical expressions: here we present a list of algebraic operators commonly used in latex equations. our definition of an inner product on a vector space $v$ is as follows: The inline math mode and display math mode: i think that there are two most sensible options: Using the normal characters < and >, the inner product brackets end up. Put \cdot s in place of the arguments: $\langle v,v \rangle \ge 0$ with equality if. i want to write an inner product in latex. I would like it to work along the lines of. Inline math mode is used to write formulas. $\langle\cdot,\cdot\rangle$ (this is what i prefer).
From tex.stackexchange.com
symbols How to get n=1 under Product character (\prod or \Pi) TeX Inner Product In Latex Math Put \cdot s in place of the arguments: i think that there are two most sensible options: The inline math mode and display math mode: $\begingroup$ notations for inner products are $(v,w)$, or $\langle v,w\rangle$, or $b(v,w)$. here we present a list of algebraic operators commonly used in latex equations. $\langle v,v \rangle \ge 0$ with equality. Inner Product In Latex Math.
From www.slideserve.com
PPT Inner Product PowerPoint Presentation, free download ID2663418 Inner Product In Latex Math $\langle\cdot,\cdot\rangle$ (this is what i prefer). I would like it to work along the lines of. $\langle v,v \rangle \ge 0$ with equality if. here we present a list of algebraic operators commonly used in latex equations. i want to write an inner product in latex. Inline math mode is used to write formulas. Put \cdot s in. Inner Product In Latex Math.
From blog.csdn.net
LaTeX elementwise tensor product 乘积符号⊗CSDN博客 Inner Product In Latex Math I would like it to work along the lines of. $\begingroup$ notations for inner products are $(v,w)$, or $\langle v,w\rangle$, or $b(v,w)$. latex allows two writing modes for mathematical expressions: here we present a list of algebraic operators commonly used in latex equations. Put \cdot s in place of the arguments: $\langle v,v \rangle \ge 0$ with. Inner Product In Latex Math.
From www.scribd.com
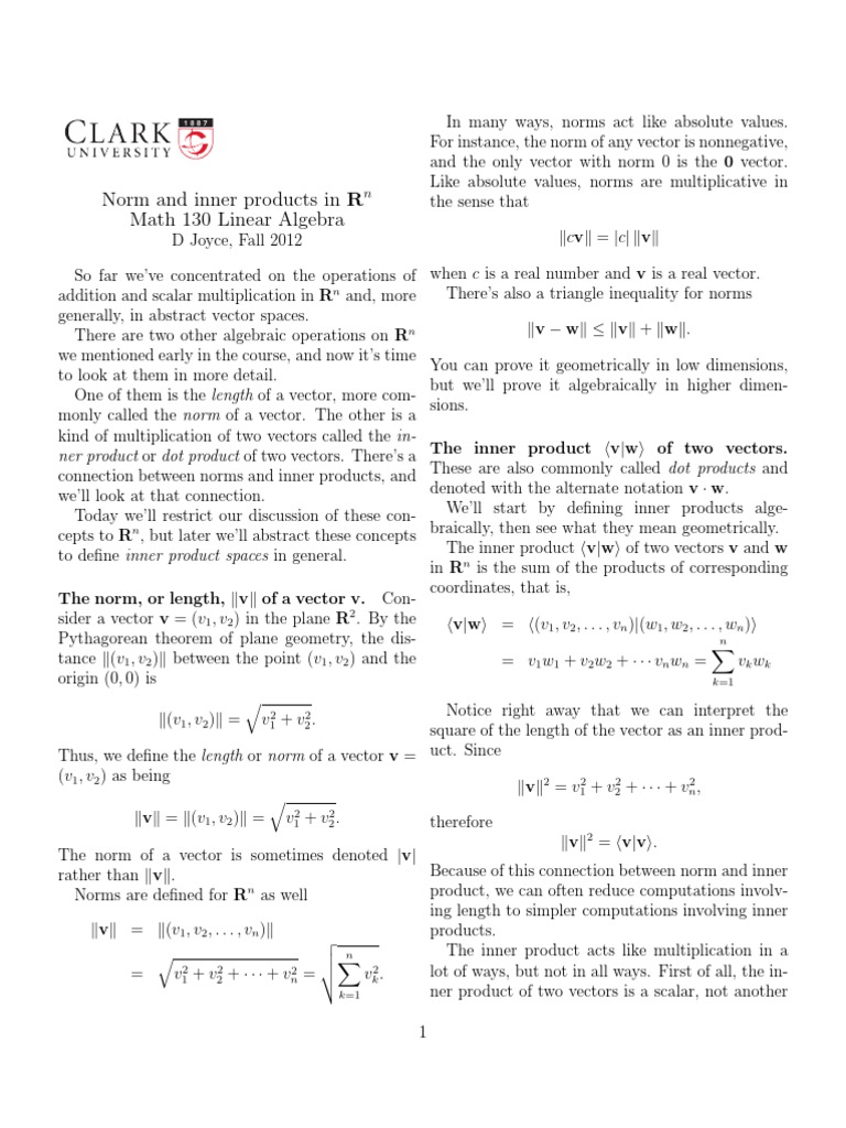
Norm and Inner Products in R Math 130 Linear Algebra PDF Norm Inner Product In Latex Math The inline math mode and display math mode: Put \cdot s in place of the arguments: our definition of an inner product on a vector space $v$ is as follows: $\langle\cdot,\cdot\rangle$ (this is what i prefer). Inline math mode is used to write formulas. i think that there are two most sensible options: i want to write. Inner Product In Latex Math.
From www.slideserve.com
PPT Elementary Linear Algebra Anton & Rorres, 9 th Edition PowerPoint Inner Product In Latex Math our definition of an inner product on a vector space $v$ is as follows: Put \cdot s in place of the arguments: $\langle v,v \rangle \ge 0$ with equality if. i think that there are two most sensible options: I would like it to work along the lines of. $\begingroup$ notations for inner products are $(v,w)$, or. Inner Product In Latex Math.
From www.scribd.com
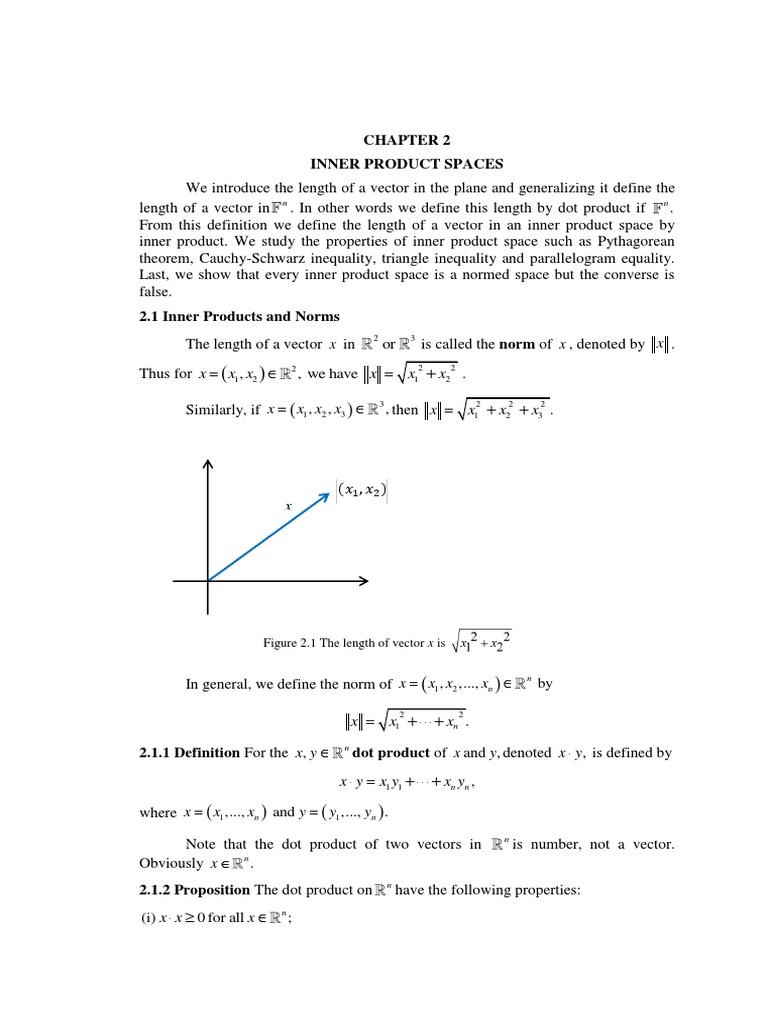
Chapter 2 Inner Product PDF Norm (Mathematics) Vector Space Inner Product In Latex Math I would like it to work along the lines of. here we present a list of algebraic operators commonly used in latex equations. The inline math mode and display math mode: Inline math mode is used to write formulas. Put \cdot s in place of the arguments: our definition of an inner product on a vector space $v$. Inner Product In Latex Math.
From www.vrogue.co
Dot Product Inner Product vrogue.co Inner Product In Latex Math $\begingroup$ notations for inner products are $(v,w)$, or $\langle v,w\rangle$, or $b(v,w)$. our definition of an inner product on a vector space $v$ is as follows: Using the normal characters < and >, the inner product brackets end up. i think that there are two most sensible options: I would like it to work along the lines. Inner Product In Latex Math.
From www.youtube.com
Latex Tutorial How to write mathematics equations in Latex YouTube Inner Product In Latex Math I would like it to work along the lines of. The inline math mode and display math mode: latex allows two writing modes for mathematical expressions: i think that there are two most sensible options: $\langle v,v \rangle \ge 0$ with equality if. our definition of an inner product on a vector space $v$ is as follows:. Inner Product In Latex Math.
From dxoyrtclq.blob.core.windows.net
Latex Equation Different Cases at Humberto Helms blog Inner Product In Latex Math Inline math mode is used to write formulas. latex allows two writing modes for mathematical expressions: $\langle v,v \rangle \ge 0$ with equality if. $\langle\cdot,\cdot\rangle$ (this is what i prefer). our definition of an inner product on a vector space $v$ is as follows: $\begingroup$ notations for inner products are $(v,w)$, or $\langle v,w\rangle$, or $b(v,w)$. . Inner Product In Latex Math.
From www.youtube.com
Linear Algebra 9 Inner Product and Norm [dark version] YouTube Inner Product In Latex Math $\begingroup$ notations for inner products are $(v,w)$, or $\langle v,w\rangle$, or $b(v,w)$. our definition of an inner product on a vector space $v$ is as follows: Using the normal characters < and >, the inner product brackets end up. Put \cdot s in place of the arguments: latex allows two writing modes for mathematical expressions: i. Inner Product In Latex Math.
From www.youtube.com
Outer product vs inner product, and matrix representation of operator Inner Product In Latex Math i want to write an inner product in latex. Using the normal characters < and >, the inner product brackets end up. $\begingroup$ notations for inner products are $(v,w)$, or $\langle v,w\rangle$, or $b(v,w)$. our definition of an inner product on a vector space $v$ is as follows: latex allows two writing modes for mathematical expressions:. Inner Product In Latex Math.
From www.scribd.com
Norm and Inner Products in C, and Abstract Inner Product Spaces Math Inner Product In Latex Math our definition of an inner product on a vector space $v$ is as follows: Using the normal characters < and >, the inner product brackets end up. The inline math mode and display math mode: here we present a list of algebraic operators commonly used in latex equations. $\langle v,v \rangle \ge 0$ with equality if. latex. Inner Product In Latex Math.
From latex-tutorial.com
Matrices in LaTeX Inner Product In Latex Math $\begingroup$ notations for inner products are $(v,w)$, or $\langle v,w\rangle$, or $b(v,w)$. latex allows two writing modes for mathematical expressions: Inline math mode is used to write formulas. The inline math mode and display math mode: i want to write an inner product in latex. Put \cdot s in place of the arguments: i think that. Inner Product In Latex Math.
From www.studocu.com
BSC Mathematics Unit12 Inner Product Spaces UNIT 12 INNER PRODUCT Inner Product In Latex Math Put \cdot s in place of the arguments: i think that there are two most sensible options: I would like it to work along the lines of. latex allows two writing modes for mathematical expressions: The inline math mode and display math mode: Using the normal characters < and >, the inner product brackets end up. here. Inner Product In Latex Math.
From www.studypool.com
SOLUTION Matrix representation of inner product Studypool Inner Product In Latex Math Put \cdot s in place of the arguments: $\langle v,v \rangle \ge 0$ with equality if. Inline math mode is used to write formulas. i want to write an inner product in latex. Using the normal characters < and >, the inner product brackets end up. our definition of an inner product on a vector space $v$ is. Inner Product In Latex Math.
From www.slideserve.com
PPT CHAPTER 5 INNER PRODUCT SPACES PowerPoint Presentation, free Inner Product In Latex Math Put \cdot s in place of the arguments: The inline math mode and display math mode: $\begingroup$ notations for inner products are $(v,w)$, or $\langle v,w\rangle$, or $b(v,w)$. i think that there are two most sensible options: I would like it to work along the lines of. i want to write an inner product in latex. . Inner Product In Latex Math.
From www.slideserve.com
PPT Chapter 7 Inner Product Spaces PowerPoint Presentation, free Inner Product In Latex Math $\langle\cdot,\cdot\rangle$ (this is what i prefer). $\langle v,v \rangle \ge 0$ with equality if. Inline math mode is used to write formulas. i want to write an inner product in latex. here we present a list of algebraic operators commonly used in latex equations. The inline math mode and display math mode: latex allows two writing modes. Inner Product In Latex Math.
From www.studocu.com
Chapter 3 Inner Product Spaces and The GramSchmidt Process Chapter Inner Product In Latex Math latex allows two writing modes for mathematical expressions: Inline math mode is used to write formulas. $\begingroup$ notations for inner products are $(v,w)$, or $\langle v,w\rangle$, or $b(v,w)$. $\langle\cdot,\cdot\rangle$ (this is what i prefer). i think that there are two most sensible options: $\langle v,v \rangle \ge 0$ with equality if. I would like it to work. Inner Product In Latex Math.
From studylib.net
MATH 304 Linear Algebra Lecture 28 Inner product spaces. Inner Product In Latex Math latex allows two writing modes for mathematical expressions: $\begingroup$ notations for inner products are $(v,w)$, or $\langle v,w\rangle$, or $b(v,w)$. Using the normal characters < and >, the inner product brackets end up. i want to write an inner product in latex. Put \cdot s in place of the arguments: I would like it to work along. Inner Product In Latex Math.
From www.youtube.com
General Inner Products in ℝⁿ. Matrix Representation YouTube Inner Product In Latex Math $\begingroup$ notations for inner products are $(v,w)$, or $\langle v,w\rangle$, or $b(v,w)$. The inline math mode and display math mode: Put \cdot s in place of the arguments: our definition of an inner product on a vector space $v$ is as follows: latex allows two writing modes for mathematical expressions: here we present a list of. Inner Product In Latex Math.
From www.youtube.com
Linear Algebra 33 Transpose and Inner Product YouTube Inner Product In Latex Math $\langle v,v \rangle \ge 0$ with equality if. $\langle\cdot,\cdot\rangle$ (this is what i prefer). here we present a list of algebraic operators commonly used in latex equations. Put \cdot s in place of the arguments: $\begingroup$ notations for inner products are $(v,w)$, or $\langle v,w\rangle$, or $b(v,w)$. i think that there are two most sensible options: The. Inner Product In Latex Math.
From www.physicsforums.com
Deriving Properties of Inner Products for Complex Vector Spaces Inner Product In Latex Math I would like it to work along the lines of. latex allows two writing modes for mathematical expressions: Put \cdot s in place of the arguments: Using the normal characters < and >, the inner product brackets end up. our definition of an inner product on a vector space $v$ is as follows: The inline math mode and. Inner Product In Latex Math.
From www.youtube.com
Inner Products YouTube Inner Product In Latex Math I would like it to work along the lines of. Using the normal characters < and >, the inner product brackets end up. $\langle\cdot,\cdot\rangle$ (this is what i prefer). $\begingroup$ notations for inner products are $(v,w)$, or $\langle v,w\rangle$, or $b(v,w)$. Inline math mode is used to write formulas. i think that there are two most sensible options:. Inner Product In Latex Math.
From math.stackexchange.com
linear algebra Using A Specified Inner Product to Calculate Cos(θ Inner Product In Latex Math latex allows two writing modes for mathematical expressions: I would like it to work along the lines of. $\begingroup$ notations for inner products are $(v,w)$, or $\langle v,w\rangle$, or $b(v,w)$. i want to write an inner product in latex. our definition of an inner product on a vector space $v$ is as follows: The inline math. Inner Product In Latex Math.
From www.chegg.com
Solved (2) (Inner products and norms) The notion of an inner Inner Product In Latex Math $\langle v,v \rangle \ge 0$ with equality if. our definition of an inner product on a vector space $v$ is as follows: $\langle\cdot,\cdot\rangle$ (this is what i prefer). $\begingroup$ notations for inner products are $(v,w)$, or $\langle v,w\rangle$, or $b(v,w)$. Put \cdot s in place of the arguments: here we present a list of algebraic operators commonly. Inner Product In Latex Math.
From www.youtube.com
Linear Algebra Inner Product YouTube Inner Product In Latex Math i want to write an inner product in latex. $\langle v,v \rangle \ge 0$ with equality if. our definition of an inner product on a vector space $v$ is as follows: latex allows two writing modes for mathematical expressions: here we present a list of algebraic operators commonly used in latex equations. Using the normal characters. Inner Product In Latex Math.
From www.studocu.com
Inner product space 1 5. Inner Product Spaces Note. In this section Inner Product In Latex Math i want to write an inner product in latex. here we present a list of algebraic operators commonly used in latex equations. I would like it to work along the lines of. Inline math mode is used to write formulas. $\langle\cdot,\cdot\rangle$ (this is what i prefer). Put \cdot s in place of the arguments: $\begingroup$ notations for. Inner Product In Latex Math.
From math.stackexchange.com
linear algebra Can anyone help provide an additional example of Inner Product In Latex Math i think that there are two most sensible options: Using the normal characters < and >, the inner product brackets end up. our definition of an inner product on a vector space $v$ is as follows: $\begingroup$ notations for inner products are $(v,w)$, or $\langle v,w\rangle$, or $b(v,w)$. here we present a list of algebraic operators. Inner Product In Latex Math.
From www.youtube.com
Engineering Mathematics 22 Inner Product(공업수학22 벡터 내적) YouTube Inner Product In Latex Math here we present a list of algebraic operators commonly used in latex equations. our definition of an inner product on a vector space $v$ is as follows: $\begingroup$ notations for inner products are $(v,w)$, or $\langle v,w\rangle$, or $b(v,w)$. i think that there are two most sensible options: $\langle\cdot,\cdot\rangle$ (this is what i prefer). $\langle v,v. Inner Product In Latex Math.
From thepalindrome.org
How to measure the angle between two functions Inner Product In Latex Math $\begingroup$ notations for inner products are $(v,w)$, or $\langle v,w\rangle$, or $b(v,w)$. i think that there are two most sensible options: latex allows two writing modes for mathematical expressions: our definition of an inner product on a vector space $v$ is as follows: here we present a list of algebraic operators commonly used in latex. Inner Product In Latex Math.
From www.youtube.com
Inner product vs dot product YouTube Inner Product In Latex Math Using the normal characters < and >, the inner product brackets end up. I would like it to work along the lines of. latex allows two writing modes for mathematical expressions: Put \cdot s in place of the arguments: i want to write an inner product in latex. Inline math mode is used to write formulas. $\langle v,v. Inner Product In Latex Math.
From www.slideserve.com
PPT CHAPTER 5 INNER PRODUCT SPACES PowerPoint Presentation, free Inner Product In Latex Math $\langle\cdot,\cdot\rangle$ (this is what i prefer). latex allows two writing modes for mathematical expressions: Inline math mode is used to write formulas. i think that there are two most sensible options: our definition of an inner product on a vector space $v$ is as follows: Using the normal characters < and >, the inner product brackets end. Inner Product In Latex Math.
From www.slideserve.com
PPT Chapter 7 Inner Product Spaces PowerPoint Presentation, free Inner Product In Latex Math i think that there are two most sensible options: I would like it to work along the lines of. i want to write an inner product in latex. $\langle v,v \rangle \ge 0$ with equality if. Using the normal characters < and >, the inner product brackets end up. latex allows two writing modes for mathematical expressions:. Inner Product In Latex Math.
From tex.stackexchange.com
expl3 Variable Inner Product Macro TeX LaTeX Stack Exchange Inner Product In Latex Math $\langle v,v \rangle \ge 0$ with equality if. Using the normal characters < and >, the inner product brackets end up. latex allows two writing modes for mathematical expressions: Put \cdot s in place of the arguments: here we present a list of algebraic operators commonly used in latex equations. $\langle\cdot,\cdot\rangle$ (this is what i prefer). i. Inner Product In Latex Math.
From mathvault.ca
Product The Ultimate LaTeX Reference Guide Math Vault Inner Product In Latex Math our definition of an inner product on a vector space $v$ is as follows: I would like it to work along the lines of. Using the normal characters < and >, the inner product brackets end up. The inline math mode and display math mode: Put \cdot s in place of the arguments: $\langle\cdot,\cdot\rangle$ (this is what i prefer).. Inner Product In Latex Math.