How Do You Politely Decline A Rental Application . Explicit explanation of the legal reasoning behind the denial;. Incomplete, inaccurate, falsified, or unverifiable information on the application. There are a few legal reasons why you can reject a rental application. As a landlord, the best way to decline a rental application is to write a polite and detailed rejection letter. The common factors that can lead to a tenant application rejection include: In your letter, you should politely decline the applicant. Find out what they are and how to write a rental application denial letter. A rental application denial letter, also called an adverse action letter, states that the applicant has been denied and what screening reports influenced the decision (if any). By choosing to accept digital rental applications through tenantcube, you can easily accept/decline potential tenants through the app itself. Applicants will receive an automatic,. To withdraw a rental offer, you can say “i’m sorry, but some better options came along.” it shows you’ve considered other options while. The keys to an effective rental application denial letter are:
from www.youtube.com
In your letter, you should politely decline the applicant. The keys to an effective rental application denial letter are: By choosing to accept digital rental applications through tenantcube, you can easily accept/decline potential tenants through the app itself. A rental application denial letter, also called an adverse action letter, states that the applicant has been denied and what screening reports influenced the decision (if any). The common factors that can lead to a tenant application rejection include: Incomplete, inaccurate, falsified, or unverifiable information on the application. There are a few legal reasons why you can reject a rental application. As a landlord, the best way to decline a rental application is to write a polite and detailed rejection letter. Applicants will receive an automatic,. Explicit explanation of the legal reasoning behind the denial;.
How Do I Properly Decline a Rental Application? YouTube
How Do You Politely Decline A Rental Application Find out what they are and how to write a rental application denial letter. In your letter, you should politely decline the applicant. To withdraw a rental offer, you can say “i’m sorry, but some better options came along.” it shows you’ve considered other options while. By choosing to accept digital rental applications through tenantcube, you can easily accept/decline potential tenants through the app itself. Find out what they are and how to write a rental application denial letter. Incomplete, inaccurate, falsified, or unverifiable information on the application. There are a few legal reasons why you can reject a rental application. As a landlord, the best way to decline a rental application is to write a polite and detailed rejection letter. The keys to an effective rental application denial letter are: Applicants will receive an automatic,. Explicit explanation of the legal reasoning behind the denial;. A rental application denial letter, also called an adverse action letter, states that the applicant has been denied and what screening reports influenced the decision (if any). The common factors that can lead to a tenant application rejection include:
From www.vrogue.co
Free Rental Application Rejection Letter Template Doc vrogue.co How Do You Politely Decline A Rental Application Incomplete, inaccurate, falsified, or unverifiable information on the application. Find out what they are and how to write a rental application denial letter. Applicants will receive an automatic,. To withdraw a rental offer, you can say “i’m sorry, but some better options came along.” it shows you’ve considered other options while. There are a few legal reasons why you can. How Do You Politely Decline A Rental Application.
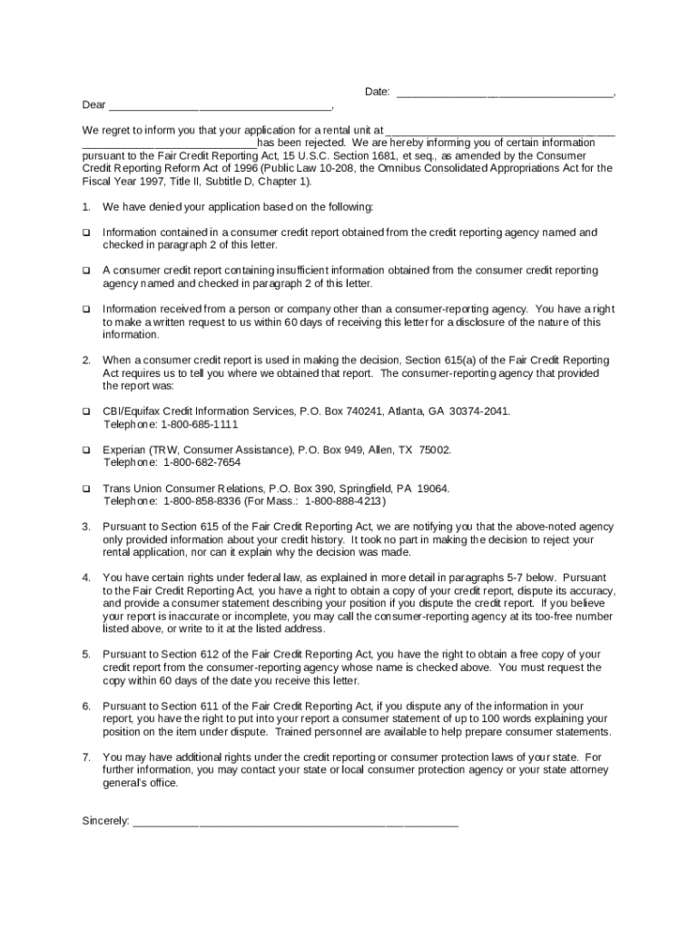
From worksheetlistvim.z21.web.core.windows.net
How To Politely Decline A Tenant Application How Do You Politely Decline A Rental Application As a landlord, the best way to decline a rental application is to write a polite and detailed rejection letter. To withdraw a rental offer, you can say “i’m sorry, but some better options came along.” it shows you’ve considered other options while. The common factors that can lead to a tenant application rejection include: The keys to an effective. How Do You Politely Decline A Rental Application.
From www.pdffiller.com
Rental Application Denial Letter How to Politely Reject a Doc How Do You Politely Decline A Rental Application The common factors that can lead to a tenant application rejection include: Incomplete, inaccurate, falsified, or unverifiable information on the application. To withdraw a rental offer, you can say “i’m sorry, but some better options came along.” it shows you’ve considered other options while. In your letter, you should politely decline the applicant. The keys to an effective rental application. How Do You Politely Decline A Rental Application.
From www.template.net
14+ Polite Rejection Letter Free Sample, Example format Download How Do You Politely Decline A Rental Application As a landlord, the best way to decline a rental application is to write a polite and detailed rejection letter. By choosing to accept digital rental applications through tenantcube, you can easily accept/decline potential tenants through the app itself. Incomplete, inaccurate, falsified, or unverifiable information on the application. To withdraw a rental offer, you can say “i’m sorry, but some. How Do You Politely Decline A Rental Application.
From www.template.net
14+ Polite Rejection Letter Free Sample, Example format Download How Do You Politely Decline A Rental Application Explicit explanation of the legal reasoning behind the denial;. The keys to an effective rental application denial letter are: By choosing to accept digital rental applications through tenantcube, you can easily accept/decline potential tenants through the app itself. A rental application denial letter, also called an adverse action letter, states that the applicant has been denied and what screening reports. How Do You Politely Decline A Rental Application.
From printablelibsadat.z21.web.core.windows.net
How To Politely Decline A Tenant Application How Do You Politely Decline A Rental Application A rental application denial letter, also called an adverse action letter, states that the applicant has been denied and what screening reports influenced the decision (if any). The keys to an effective rental application denial letter are: There are a few legal reasons why you can reject a rental application. Applicants will receive an automatic,. Find out what they are. How Do You Politely Decline A Rental Application.
From www.pinterest.com
Create a Professional Rental Application Rejection Letter How Do You Politely Decline A Rental Application Incomplete, inaccurate, falsified, or unverifiable information on the application. Find out what they are and how to write a rental application denial letter. The common factors that can lead to a tenant application rejection include: In your letter, you should politely decline the applicant. There are a few legal reasons why you can reject a rental application. As a landlord,. How Do You Politely Decline A Rental Application.
From www.youtube.com
How to Decline a Tenant's Rental Application... POLITELY! YouTube How Do You Politely Decline A Rental Application A rental application denial letter, also called an adverse action letter, states that the applicant has been denied and what screening reports influenced the decision (if any). The keys to an effective rental application denial letter are: By choosing to accept digital rental applications through tenantcube, you can easily accept/decline potential tenants through the app itself. Applicants will receive an. How Do You Politely Decline A Rental Application.
From studydbhenry.z13.web.core.windows.net
How To Politely Decline A Tenant Application How Do You Politely Decline A Rental Application Find out what they are and how to write a rental application denial letter. As a landlord, the best way to decline a rental application is to write a polite and detailed rejection letter. There are a few legal reasons why you can reject a rental application. To withdraw a rental offer, you can say “i’m sorry, but some better. How Do You Politely Decline A Rental Application.
From www.propmgmtforms.com
Denial Of Rental Application Property Management Forms Contracts How Do You Politely Decline A Rental Application In your letter, you should politely decline the applicant. Find out what they are and how to write a rental application denial letter. A rental application denial letter, also called an adverse action letter, states that the applicant has been denied and what screening reports influenced the decision (if any). The keys to an effective rental application denial letter are:. How Do You Politely Decline A Rental Application.
From influno.com
How to Politely Decline a Business Offer Templates & Examples How Do You Politely Decline A Rental Application Incomplete, inaccurate, falsified, or unverifiable information on the application. The common factors that can lead to a tenant application rejection include: A rental application denial letter, also called an adverse action letter, states that the applicant has been denied and what screening reports influenced the decision (if any). By choosing to accept digital rental applications through tenantcube, you can easily. How Do You Politely Decline A Rental Application.
From printablekakusiloth.z19.web.core.windows.net
How To Politely Decline A Rental Applicant How Do You Politely Decline A Rental Application To withdraw a rental offer, you can say “i’m sorry, but some better options came along.” it shows you’ve considered other options while. There are a few legal reasons why you can reject a rental application. Incomplete, inaccurate, falsified, or unverifiable information on the application. Find out what they are and how to write a rental application denial letter. In. How Do You Politely Decline A Rental Application.
From template.mapadapalavra.ba.gov.br
How To Decline A Client Politely Template How Do You Politely Decline A Rental Application Find out what they are and how to write a rental application denial letter. Applicants will receive an automatic,. There are a few legal reasons why you can reject a rental application. Incomplete, inaccurate, falsified, or unverifiable information on the application. The common factors that can lead to a tenant application rejection include: To withdraw a rental offer, you can. How Do You Politely Decline A Rental Application.
From simpleinvoice17.net
Rejection Letter Template For Payment Invoice Template Ideas How Do You Politely Decline A Rental Application Explicit explanation of the legal reasoning behind the denial;. Find out what they are and how to write a rental application denial letter. A rental application denial letter, also called an adverse action letter, states that the applicant has been denied and what screening reports influenced the decision (if any). In your letter, you should politely decline the applicant. The. How Do You Politely Decline A Rental Application.
From www.template.net
14+ Polite Rejection Letter Free Sample, Example format Download How Do You Politely Decline A Rental Application Applicants will receive an automatic,. There are a few legal reasons why you can reject a rental application. By choosing to accept digital rental applications through tenantcube, you can easily accept/decline potential tenants through the app itself. Explicit explanation of the legal reasoning behind the denial;. Incomplete, inaccurate, falsified, or unverifiable information on the application. As a landlord, the best. How Do You Politely Decline A Rental Application.
From worksheetsahranimlg.z13.web.core.windows.net
How To Politely Decline A Rental Applicant How Do You Politely Decline A Rental Application In your letter, you should politely decline the applicant. A rental application denial letter, also called an adverse action letter, states that the applicant has been denied and what screening reports influenced the decision (if any). The common factors that can lead to a tenant application rejection include: As a landlord, the best way to decline a rental application is. How Do You Politely Decline A Rental Application.
From legaltemplates.net
Free Rental Application Denial Letter PDF & Word How Do You Politely Decline A Rental Application To withdraw a rental offer, you can say “i’m sorry, but some better options came along.” it shows you’ve considered other options while. Find out what they are and how to write a rental application denial letter. A rental application denial letter, also called an adverse action letter, states that the applicant has been denied and what screening reports influenced. How Do You Politely Decline A Rental Application.
From worksheetlibfleerers.z14.web.core.windows.net
How To Politely Decline A Rental Applicant How Do You Politely Decline A Rental Application In your letter, you should politely decline the applicant. The keys to an effective rental application denial letter are: By choosing to accept digital rental applications through tenantcube, you can easily accept/decline potential tenants through the app itself. Find out what they are and how to write a rental application denial letter. Explicit explanation of the legal reasoning behind the. How Do You Politely Decline A Rental Application.
From materialfulltumbrels.z21.web.core.windows.net
How To Politely Decline A Tenant Application How Do You Politely Decline A Rental Application By choosing to accept digital rental applications through tenantcube, you can easily accept/decline potential tenants through the app itself. There are a few legal reasons why you can reject a rental application. As a landlord, the best way to decline a rental application is to write a polite and detailed rejection letter. Incomplete, inaccurate, falsified, or unverifiable information on the. How Do You Politely Decline A Rental Application.
From www.youtube.com
How Do I Properly Decline a Rental Application? YouTube How Do You Politely Decline A Rental Application The common factors that can lead to a tenant application rejection include: There are a few legal reasons why you can reject a rental application. By choosing to accept digital rental applications through tenantcube, you can easily accept/decline potential tenants through the app itself. Applicants will receive an automatic,. Explicit explanation of the legal reasoning behind the denial;. Find out. How Do You Politely Decline A Rental Application.
From legaltemplates.net
Free Decline Offer Letter Template ( With Example ) PDF & Word How Do You Politely Decline A Rental Application Explicit explanation of the legal reasoning behind the denial;. To withdraw a rental offer, you can say “i’m sorry, but some better options came along.” it shows you’ve considered other options while. The keys to an effective rental application denial letter are: Incomplete, inaccurate, falsified, or unverifiable information on the application. The common factors that can lead to a tenant. How Do You Politely Decline A Rental Application.
From iamlandlord.com
Polite Rejection Letter to Decline Tenant Sample I am Landlord How Do You Politely Decline A Rental Application Explicit explanation of the legal reasoning behind the denial;. As a landlord, the best way to decline a rental application is to write a polite and detailed rejection letter. Incomplete, inaccurate, falsified, or unverifiable information on the application. Applicants will receive an automatic,. Find out what they are and how to write a rental application denial letter. There are a. How Do You Politely Decline A Rental Application.
From www.pdffiller.com
Fillable Online Rental Application Denial Letter How to Politely How Do You Politely Decline A Rental Application The keys to an effective rental application denial letter are: The common factors that can lead to a tenant application rejection include: Applicants will receive an automatic,. A rental application denial letter, also called an adverse action letter, states that the applicant has been denied and what screening reports influenced the decision (if any). In your letter, you should politely. How Do You Politely Decline A Rental Application.
From merojob.com
Rejection Email How To Turn Down A Candidate Politely Career Guide How Do You Politely Decline A Rental Application The common factors that can lead to a tenant application rejection include: There are a few legal reasons why you can reject a rental application. In your letter, you should politely decline the applicant. Applicants will receive an automatic,. As a landlord, the best way to decline a rental application is to write a polite and detailed rejection letter. To. How Do You Politely Decline A Rental Application.
From simpleartifact.com
Polite Letter To Decline Tenant Sample For Your Needs Letter Template How Do You Politely Decline A Rental Application There are a few legal reasons why you can reject a rental application. To withdraw a rental offer, you can say “i’m sorry, but some better options came along.” it shows you’ve considered other options while. Explicit explanation of the legal reasoning behind the denial;. As a landlord, the best way to decline a rental application is to write a. How Do You Politely Decline A Rental Application.
From www.rentals.com
Rental Application Denial Letter How to Politely Reject a Tenant How Do You Politely Decline A Rental Application By choosing to accept digital rental applications through tenantcube, you can easily accept/decline potential tenants through the app itself. The common factors that can lead to a tenant application rejection include: The keys to an effective rental application denial letter are: There are a few legal reasons why you can reject a rental application. To withdraw a rental offer, you. How Do You Politely Decline A Rental Application.
From old.sermitsiaq.ag
Candidate Decline Email Template How Do You Politely Decline A Rental Application The keys to an effective rental application denial letter are: Incomplete, inaccurate, falsified, or unverifiable information on the application. As a landlord, the best way to decline a rental application is to write a polite and detailed rejection letter. In your letter, you should politely decline the applicant. Explicit explanation of the legal reasoning behind the denial;. By choosing to. How Do You Politely Decline A Rental Application.
From worksheetmundoshedir6s.z21.web.core.windows.net
How To Politely Decline A Rental Applicant How Do You Politely Decline A Rental Application Find out what they are and how to write a rental application denial letter. Applicants will receive an automatic,. The common factors that can lead to a tenant application rejection include: The keys to an effective rental application denial letter are: As a landlord, the best way to decline a rental application is to write a polite and detailed rejection. How Do You Politely Decline A Rental Application.
From learningschooljbword1x.z4.web.core.windows.net
How To Politely Decline A Rental Applicant How Do You Politely Decline A Rental Application To withdraw a rental offer, you can say “i’m sorry, but some better options came along.” it shows you’ve considered other options while. Find out what they are and how to write a rental application denial letter. As a landlord, the best way to decline a rental application is to write a polite and detailed rejection letter. In your letter,. How Do You Politely Decline A Rental Application.
From www.etsy.com
Rental Application Rejection Letter Template, Rental Application How Do You Politely Decline A Rental Application In your letter, you should politely decline the applicant. The keys to an effective rental application denial letter are: The common factors that can lead to a tenant application rejection include: As a landlord, the best way to decline a rental application is to write a polite and detailed rejection letter. Incomplete, inaccurate, falsified, or unverifiable information on the application.. How Do You Politely Decline A Rental Application.
From www.allbusinesstemplates.com
Télécharger Gratuit Rejection Letter To Candidate How Do You Politely Decline A Rental Application To withdraw a rental offer, you can say “i’m sorry, but some better options came along.” it shows you’ve considered other options while. Explicit explanation of the legal reasoning behind the denial;. Incomplete, inaccurate, falsified, or unverifiable information on the application. By choosing to accept digital rental applications through tenantcube, you can easily accept/decline potential tenants through the app itself.. How Do You Politely Decline A Rental Application.
From influno.com
How to Politely Decline a Business Offer Templates & Examples How Do You Politely Decline A Rental Application Explicit explanation of the legal reasoning behind the denial;. By choosing to accept digital rental applications through tenantcube, you can easily accept/decline potential tenants through the app itself. In your letter, you should politely decline the applicant. Applicants will receive an automatic,. Find out what they are and how to write a rental application denial letter. To withdraw a rental. How Do You Politely Decline A Rental Application.
From eforms.com
Free Tenant Rejection Letter Template Word PDF eForms How Do You Politely Decline A Rental Application To withdraw a rental offer, you can say “i’m sorry, but some better options came along.” it shows you’ve considered other options while. Applicants will receive an automatic,. There are a few legal reasons why you can reject a rental application. A rental application denial letter, also called an adverse action letter, states that the applicant has been denied and. How Do You Politely Decline A Rental Application.
From www.template.net
14+ Polite Rejection Letter Free Sample, Example format Download How Do You Politely Decline A Rental Application A rental application denial letter, also called an adverse action letter, states that the applicant has been denied and what screening reports influenced the decision (if any). The common factors that can lead to a tenant application rejection include: As a landlord, the best way to decline a rental application is to write a polite and detailed rejection letter. Find. How Do You Politely Decline A Rental Application.
From template.mapadapalavra.ba.gov.br
How To Decline A Client Politely Template How Do You Politely Decline A Rental Application Incomplete, inaccurate, falsified, or unverifiable information on the application. In your letter, you should politely decline the applicant. The keys to an effective rental application denial letter are: Applicants will receive an automatic,. There are a few legal reasons why you can reject a rental application. The common factors that can lead to a tenant application rejection include: Explicit explanation. How Do You Politely Decline A Rental Application.