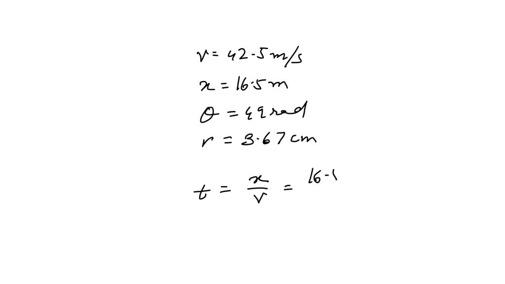
A Baseball Pitcher Throws A Baseball Horizontally At A Linear Speed Of 42.5 M/S . It has magnitude but no direction. The rate of change in the object’s distance is known as the object’s speed. The formula for tangential speed is v = rω, where v is the tangential speed, r is the radius, and ω is the angular velocity (rotational. A baseball pitcher throws a baseball horizontally at a linear speed of 42.5 m/s (about 95 mi/h). The initial velocity is v. A baseball pitcher throws a baseball horizontally at a linear speed of $42.5 \mathrm{m} / \mathrm{s}$ (about $95 \mathrm{mi} /. Before being caught, the baseball travels a. A baseball pitcher throws a baseball horizontally at a linear speed of $42.5 \mathrm{m} / \mathrm{s}$ (about $95 \mathrm{mi} /. Before being caught, the baseball travels a horizontal. A baseball pitcher throws a baseball horizontally at a linear speed of $42.5 \mathrm{m} / \mathrm{s}$ (about $95 \mathrm{mi} /. A baseball pitcher throws a baseball horizontally at a linear speed of 44.0 m / s.
from www.numerade.com
Before being caught, the baseball travels a horizontal. A baseball pitcher throws a baseball horizontally at a linear speed of 44.0 m / s. A baseball pitcher throws a baseball horizontally at a linear speed of 42.5 m/s (about 95 mi/h). The formula for tangential speed is v = rω, where v is the tangential speed, r is the radius, and ω is the angular velocity (rotational. The initial velocity is v. A baseball pitcher throws a baseball horizontally at a linear speed of $42.5 \mathrm{m} / \mathrm{s}$ (about $95 \mathrm{mi} /. It has magnitude but no direction. A baseball pitcher throws a baseball horizontally at a linear speed of $42.5 \mathrm{m} / \mathrm{s}$ (about $95 \mathrm{mi} /. The rate of change in the object’s distance is known as the object’s speed. A baseball pitcher throws a baseball horizontally at a linear speed of $42.5 \mathrm{m} / \mathrm{s}$ (about $95 \mathrm{mi} /.
SOLVED A baseball pitcher throws a baseball horizontally at a linear
A Baseball Pitcher Throws A Baseball Horizontally At A Linear Speed Of 42.5 M/S A baseball pitcher throws a baseball horizontally at a linear speed of 42.5 m/s (about 95 mi/h). The formula for tangential speed is v = rω, where v is the tangential speed, r is the radius, and ω is the angular velocity (rotational. Before being caught, the baseball travels a horizontal. The initial velocity is v. A baseball pitcher throws a baseball horizontally at a linear speed of $42.5 \mathrm{m} / \mathrm{s}$ (about $95 \mathrm{mi} /. Before being caught, the baseball travels a. It has magnitude but no direction. A baseball pitcher throws a baseball horizontally at a linear speed of 44.0 m / s. The rate of change in the object’s distance is known as the object’s speed. A baseball pitcher throws a baseball horizontally at a linear speed of $42.5 \mathrm{m} / \mathrm{s}$ (about $95 \mathrm{mi} /. A baseball pitcher throws a baseball horizontally at a linear speed of 42.5 m/s (about 95 mi/h). A baseball pitcher throws a baseball horizontally at a linear speed of $42.5 \mathrm{m} / \mathrm{s}$ (about $95 \mathrm{mi} /.
From www.chegg.com
Solved A baseball pitcher throws a fastball horizontally at A Baseball Pitcher Throws A Baseball Horizontally At A Linear Speed Of 42.5 M/S A baseball pitcher throws a baseball horizontally at a linear speed of $42.5 \mathrm{m} / \mathrm{s}$ (about $95 \mathrm{mi} /. The initial velocity is v. Before being caught, the baseball travels a. A baseball pitcher throws a baseball horizontally at a linear speed of $42.5 \mathrm{m} / \mathrm{s}$ (about $95 \mathrm{mi} /. A baseball pitcher throws a baseball horizontally at. A Baseball Pitcher Throws A Baseball Horizontally At A Linear Speed Of 42.5 M/S.
From www.numerade.com
SOLVED A baseball pitcher throws a baseball horizontally at a linear A Baseball Pitcher Throws A Baseball Horizontally At A Linear Speed Of 42.5 M/S Before being caught, the baseball travels a horizontal. The rate of change in the object’s distance is known as the object’s speed. It has magnitude but no direction. A baseball pitcher throws a baseball horizontally at a linear speed of $42.5 \mathrm{m} / \mathrm{s}$ (about $95 \mathrm{mi} /. Before being caught, the baseball travels a. A baseball pitcher throws a. A Baseball Pitcher Throws A Baseball Horizontally At A Linear Speed Of 42.5 M/S.
From www.chegg.com
Solved A baseball pitcher throws a fastball horizontally at A Baseball Pitcher Throws A Baseball Horizontally At A Linear Speed Of 42.5 M/S The formula for tangential speed is v = rω, where v is the tangential speed, r is the radius, and ω is the angular velocity (rotational. Before being caught, the baseball travels a horizontal. Before being caught, the baseball travels a. A baseball pitcher throws a baseball horizontally at a linear speed of $42.5 \mathrm{m} / \mathrm{s}$ (about $95 \mathrm{mi}. A Baseball Pitcher Throws A Baseball Horizontally At A Linear Speed Of 42.5 M/S.
From www.numerade.com
SOLVED A pitcher throws a baseball horizontally with speed of 90 mph A Baseball Pitcher Throws A Baseball Horizontally At A Linear Speed Of 42.5 M/S The initial velocity is v. A baseball pitcher throws a baseball horizontally at a linear speed of $42.5 \mathrm{m} / \mathrm{s}$ (about $95 \mathrm{mi} /. Before being caught, the baseball travels a. A baseball pitcher throws a baseball horizontally at a linear speed of 42.5 m/s (about 95 mi/h). It has magnitude but no direction. The rate of change in. A Baseball Pitcher Throws A Baseball Horizontally At A Linear Speed Of 42.5 M/S.
From www.numerade.com
SOLVED A baseball pitcher throws a baseball horizontally at a linear A Baseball Pitcher Throws A Baseball Horizontally At A Linear Speed Of 42.5 M/S A baseball pitcher throws a baseball horizontally at a linear speed of $42.5 \mathrm{m} / \mathrm{s}$ (about $95 \mathrm{mi} /. A baseball pitcher throws a baseball horizontally at a linear speed of $42.5 \mathrm{m} / \mathrm{s}$ (about $95 \mathrm{mi} /. It has magnitude but no direction. Before being caught, the baseball travels a horizontal. A baseball pitcher throws a baseball. A Baseball Pitcher Throws A Baseball Horizontally At A Linear Speed Of 42.5 M/S.
From www.chegg.com
Solved A pitcher throws a baseball horizontally with a speed A Baseball Pitcher Throws A Baseball Horizontally At A Linear Speed Of 42.5 M/S The formula for tangential speed is v = rω, where v is the tangential speed, r is the radius, and ω is the angular velocity (rotational. A baseball pitcher throws a baseball horizontally at a linear speed of $42.5 \mathrm{m} / \mathrm{s}$ (about $95 \mathrm{mi} /. A baseball pitcher throws a baseball horizontally at a linear speed of 42.5 m/s. A Baseball Pitcher Throws A Baseball Horizontally At A Linear Speed Of 42.5 M/S.
From www.numerade.com
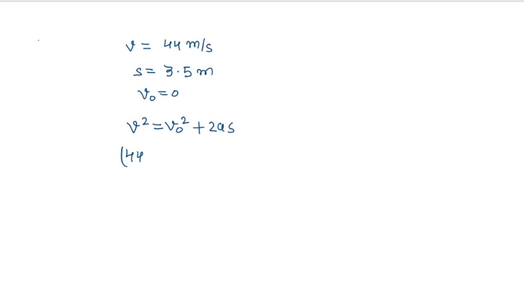
SOLVEDA baseball pitcher throws a fastball horizontally at a speed of A Baseball Pitcher Throws A Baseball Horizontally At A Linear Speed Of 42.5 M/S The initial velocity is v. A baseball pitcher throws a baseball horizontally at a linear speed of 42.5 m/s (about 95 mi/h). A baseball pitcher throws a baseball horizontally at a linear speed of $42.5 \mathrm{m} / \mathrm{s}$ (about $95 \mathrm{mi} /. A baseball pitcher throws a baseball horizontally at a linear speed of 44.0 m / s. A baseball. A Baseball Pitcher Throws A Baseball Horizontally At A Linear Speed Of 42.5 M/S.
From brainly.com
A pitcher throws a baseball as shown in the diagram below. Which of A Baseball Pitcher Throws A Baseball Horizontally At A Linear Speed Of 42.5 M/S A baseball pitcher throws a baseball horizontally at a linear speed of $42.5 \mathrm{m} / \mathrm{s}$ (about $95 \mathrm{mi} /. A baseball pitcher throws a baseball horizontally at a linear speed of $42.5 \mathrm{m} / \mathrm{s}$ (about $95 \mathrm{mi} /. The rate of change in the object’s distance is known as the object’s speed. The formula for tangential speed is. A Baseball Pitcher Throws A Baseball Horizontally At A Linear Speed Of 42.5 M/S.
From www.numerade.com
SOLVEDA baseball pitcher throws a fastball horizontally at a speed of A Baseball Pitcher Throws A Baseball Horizontally At A Linear Speed Of 42.5 M/S A baseball pitcher throws a baseball horizontally at a linear speed of $42.5 \mathrm{m} / \mathrm{s}$ (about $95 \mathrm{mi} /. A baseball pitcher throws a baseball horizontally at a linear speed of 44.0 m / s. A baseball pitcher throws a baseball horizontally at a linear speed of $42.5 \mathrm{m} / \mathrm{s}$ (about $95 \mathrm{mi} /. It has magnitude but. A Baseball Pitcher Throws A Baseball Horizontally At A Linear Speed Of 42.5 M/S.
From www.numerade.com
SOLVEDA majorleague pitcher can throw a baseball in excess of 41.0 m A Baseball Pitcher Throws A Baseball Horizontally At A Linear Speed Of 42.5 M/S A baseball pitcher throws a baseball horizontally at a linear speed of 42.5 m/s (about 95 mi/h). The formula for tangential speed is v = rω, where v is the tangential speed, r is the radius, and ω is the angular velocity (rotational. A baseball pitcher throws a baseball horizontally at a linear speed of 44.0 m / s. The. A Baseball Pitcher Throws A Baseball Horizontally At A Linear Speed Of 42.5 M/S.
From www.chegg.com
Solved A baseball pitcher throws a baseball with a speed of A Baseball Pitcher Throws A Baseball Horizontally At A Linear Speed Of 42.5 M/S The initial velocity is v. A baseball pitcher throws a baseball horizontally at a linear speed of $42.5 \mathrm{m} / \mathrm{s}$ (about $95 \mathrm{mi} /. Before being caught, the baseball travels a horizontal. The rate of change in the object’s distance is known as the object’s speed. A baseball pitcher throws a baseball horizontally at a linear speed of $42.5. A Baseball Pitcher Throws A Baseball Horizontally At A Linear Speed Of 42.5 M/S.
From www.chegg.com
Solved A baseball pitcher throws a fastball horizontally at A Baseball Pitcher Throws A Baseball Horizontally At A Linear Speed Of 42.5 M/S A baseball pitcher throws a baseball horizontally at a linear speed of $42.5 \mathrm{m} / \mathrm{s}$ (about $95 \mathrm{mi} /. The initial velocity is v. A baseball pitcher throws a baseball horizontally at a linear speed of 44.0 m / s. It has magnitude but no direction. Before being caught, the baseball travels a horizontal. A baseball pitcher throws a. A Baseball Pitcher Throws A Baseball Horizontally At A Linear Speed Of 42.5 M/S.
From www.chegg.com
Solved A baseball leaves a pitcher's hand horizontally at a A Baseball Pitcher Throws A Baseball Horizontally At A Linear Speed Of 42.5 M/S A baseball pitcher throws a baseball horizontally at a linear speed of $42.5 \mathrm{m} / \mathrm{s}$ (about $95 \mathrm{mi} /. A baseball pitcher throws a baseball horizontally at a linear speed of 44.0 m / s. The initial velocity is v. A baseball pitcher throws a baseball horizontally at a linear speed of 42.5 m/s (about 95 mi/h). A baseball. A Baseball Pitcher Throws A Baseball Horizontally At A Linear Speed Of 42.5 M/S.
From www.chegg.com
Solved A baseball pitcher throws a baseball with a speed of A Baseball Pitcher Throws A Baseball Horizontally At A Linear Speed Of 42.5 M/S It has magnitude but no direction. The rate of change in the object’s distance is known as the object’s speed. A baseball pitcher throws a baseball horizontally at a linear speed of 44.0 m / s. A baseball pitcher throws a baseball horizontally at a linear speed of $42.5 \mathrm{m} / \mathrm{s}$ (about $95 \mathrm{mi} /. The initial velocity is. A Baseball Pitcher Throws A Baseball Horizontally At A Linear Speed Of 42.5 M/S.
From www.chegg.com
Solved A baseball pitcher throws a baseball with a speed of A Baseball Pitcher Throws A Baseball Horizontally At A Linear Speed Of 42.5 M/S Before being caught, the baseball travels a. A baseball pitcher throws a baseball horizontally at a linear speed of $42.5 \mathrm{m} / \mathrm{s}$ (about $95 \mathrm{mi} /. The initial velocity is v. Before being caught, the baseball travels a horizontal. A baseball pitcher throws a baseball horizontally at a linear speed of 44.0 m / s. A baseball pitcher throws. A Baseball Pitcher Throws A Baseball Horizontally At A Linear Speed Of 42.5 M/S.
From www.coursehero.com
[Solved] A baseball pitcher throws a ball horizontally at a speed of 31 A Baseball Pitcher Throws A Baseball Horizontally At A Linear Speed Of 42.5 M/S A baseball pitcher throws a baseball horizontally at a linear speed of 44.0 m / s. Before being caught, the baseball travels a horizontal. It has magnitude but no direction. The formula for tangential speed is v = rω, where v is the tangential speed, r is the radius, and ω is the angular velocity (rotational. Before being caught, the. A Baseball Pitcher Throws A Baseball Horizontally At A Linear Speed Of 42.5 M/S.
From www.chegg.com
Solved 19. A pitcher throws a baseball horizontally at a A Baseball Pitcher Throws A Baseball Horizontally At A Linear Speed Of 42.5 M/S It has magnitude but no direction. The initial velocity is v. Before being caught, the baseball travels a. A baseball pitcher throws a baseball horizontally at a linear speed of $42.5 \mathrm{m} / \mathrm{s}$ (about $95 \mathrm{mi} /. A baseball pitcher throws a baseball horizontally at a linear speed of 42.5 m/s (about 95 mi/h). The rate of change in. A Baseball Pitcher Throws A Baseball Horizontally At A Linear Speed Of 42.5 M/S.
From www.numerade.com
SOLVEDA baseball pitcher throws a base ball horizontally at a linear A Baseball Pitcher Throws A Baseball Horizontally At A Linear Speed Of 42.5 M/S The formula for tangential speed is v = rω, where v is the tangential speed, r is the radius, and ω is the angular velocity (rotational. The rate of change in the object’s distance is known as the object’s speed. A baseball pitcher throws a baseball horizontally at a linear speed of 42.5 m/s (about 95 mi/h). A baseball pitcher. A Baseball Pitcher Throws A Baseball Horizontally At A Linear Speed Of 42.5 M/S.
From www.chegg.com
Solved A baseball pitcher throws a baseball horizontally at A Baseball Pitcher Throws A Baseball Horizontally At A Linear Speed Of 42.5 M/S A baseball pitcher throws a baseball horizontally at a linear speed of $42.5 \mathrm{m} / \mathrm{s}$ (about $95 \mathrm{mi} /. Before being caught, the baseball travels a. A baseball pitcher throws a baseball horizontally at a linear speed of 42.5 m/s (about 95 mi/h). Before being caught, the baseball travels a horizontal. A baseball pitcher throws a baseball horizontally at. A Baseball Pitcher Throws A Baseball Horizontally At A Linear Speed Of 42.5 M/S.
From www.numerade.com
SOLVED A baseball pitcher throws a baseball horizontally at a linear A Baseball Pitcher Throws A Baseball Horizontally At A Linear Speed Of 42.5 M/S A baseball pitcher throws a baseball horizontally at a linear speed of $42.5 \mathrm{m} / \mathrm{s}$ (about $95 \mathrm{mi} /. A baseball pitcher throws a baseball horizontally at a linear speed of 42.5 m/s (about 95 mi/h). The initial velocity is v. The rate of change in the object’s distance is known as the object’s speed. The formula for tangential. A Baseball Pitcher Throws A Baseball Horizontally At A Linear Speed Of 42.5 M/S.
From www.numerade.com
SOLVED A baseball pitcher throws a fastball at a speed of 44 m/s. The A Baseball Pitcher Throws A Baseball Horizontally At A Linear Speed Of 42.5 M/S Before being caught, the baseball travels a horizontal. A baseball pitcher throws a baseball horizontally at a linear speed of 44.0 m / s. A baseball pitcher throws a baseball horizontally at a linear speed of $42.5 \mathrm{m} / \mathrm{s}$ (about $95 \mathrm{mi} /. A baseball pitcher throws a baseball horizontally at a linear speed of $42.5 \mathrm{m} / \mathrm{s}$. A Baseball Pitcher Throws A Baseball Horizontally At A Linear Speed Of 42.5 M/S.
From www.numerade.com
A baseball pitcher throws a ball horizontally at a speed of 42.4 m/s. A A Baseball Pitcher Throws A Baseball Horizontally At A Linear Speed Of 42.5 M/S Before being caught, the baseball travels a horizontal. A baseball pitcher throws a baseball horizontally at a linear speed of $42.5 \mathrm{m} / \mathrm{s}$ (about $95 \mathrm{mi} /. A baseball pitcher throws a baseball horizontally at a linear speed of 42.5 m/s (about 95 mi/h). Before being caught, the baseball travels a. The formula for tangential speed is v =. A Baseball Pitcher Throws A Baseball Horizontally At A Linear Speed Of 42.5 M/S.
From www.chegg.com
Solved A baseball pitcher throws a baseball with a speed of A Baseball Pitcher Throws A Baseball Horizontally At A Linear Speed Of 42.5 M/S A baseball pitcher throws a baseball horizontally at a linear speed of $42.5 \mathrm{m} / \mathrm{s}$ (about $95 \mathrm{mi} /. It has magnitude but no direction. A baseball pitcher throws a baseball horizontally at a linear speed of 42.5 m/s (about 95 mi/h). The rate of change in the object’s distance is known as the object’s speed. The initial velocity. A Baseball Pitcher Throws A Baseball Horizontally At A Linear Speed Of 42.5 M/S.
From www.youtube.com
A pitcher can throw a baseball in excess of 41.0 m/s. If a ball is A Baseball Pitcher Throws A Baseball Horizontally At A Linear Speed Of 42.5 M/S Before being caught, the baseball travels a horizontal. A baseball pitcher throws a baseball horizontally at a linear speed of $42.5 \mathrm{m} / \mathrm{s}$ (about $95 \mathrm{mi} /. It has magnitude but no direction. A baseball pitcher throws a baseball horizontally at a linear speed of 44.0 m / s. The initial velocity is v. A baseball pitcher throws a. A Baseball Pitcher Throws A Baseball Horizontally At A Linear Speed Of 42.5 M/S.
From www.chegg.com
Solved A baseball pitcher throws a baseball horizontally at A Baseball Pitcher Throws A Baseball Horizontally At A Linear Speed Of 42.5 M/S Before being caught, the baseball travels a horizontal. The rate of change in the object’s distance is known as the object’s speed. A baseball pitcher throws a baseball horizontally at a linear speed of $42.5 \mathrm{m} / \mathrm{s}$ (about $95 \mathrm{mi} /. Before being caught, the baseball travels a. A baseball pitcher throws a baseball horizontally at a linear speed. A Baseball Pitcher Throws A Baseball Horizontally At A Linear Speed Of 42.5 M/S.
From www.chegg.com
Solved A baseball pitcher throws a baseball horizontally at A Baseball Pitcher Throws A Baseball Horizontally At A Linear Speed Of 42.5 M/S A baseball pitcher throws a baseball horizontally at a linear speed of $42.5 \mathrm{m} / \mathrm{s}$ (about $95 \mathrm{mi} /. The rate of change in the object’s distance is known as the object’s speed. The initial velocity is v. Before being caught, the baseball travels a horizontal. A baseball pitcher throws a baseball horizontally at a linear speed of 44.0. A Baseball Pitcher Throws A Baseball Horizontally At A Linear Speed Of 42.5 M/S.
From www.numerade.com
SOLVEDA baseball leaves a pitcher's hand horizontally at a speed of A Baseball Pitcher Throws A Baseball Horizontally At A Linear Speed Of 42.5 M/S Before being caught, the baseball travels a horizontal. A baseball pitcher throws a baseball horizontally at a linear speed of 44.0 m / s. The formula for tangential speed is v = rω, where v is the tangential speed, r is the radius, and ω is the angular velocity (rotational. The initial velocity is v. It has magnitude but no. A Baseball Pitcher Throws A Baseball Horizontally At A Linear Speed Of 42.5 M/S.
From www.chegg.com
Solved A baseball pitcher throws a fastball horizontally at A Baseball Pitcher Throws A Baseball Horizontally At A Linear Speed Of 42.5 M/S It has magnitude but no direction. A baseball pitcher throws a baseball horizontally at a linear speed of $42.5 \mathrm{m} / \mathrm{s}$ (about $95 \mathrm{mi} /. Before being caught, the baseball travels a. A baseball pitcher throws a baseball horizontally at a linear speed of $42.5 \mathrm{m} / \mathrm{s}$ (about $95 \mathrm{mi} /. A baseball pitcher throws a baseball horizontally. A Baseball Pitcher Throws A Baseball Horizontally At A Linear Speed Of 42.5 M/S.
From www.chegg.com
Solved 7. A baseball pitcher throws a fastball horizontally A Baseball Pitcher Throws A Baseball Horizontally At A Linear Speed Of 42.5 M/S A baseball pitcher throws a baseball horizontally at a linear speed of 42.5 m/s (about 95 mi/h). The initial velocity is v. A baseball pitcher throws a baseball horizontally at a linear speed of $42.5 \mathrm{m} / \mathrm{s}$ (about $95 \mathrm{mi} /. Before being caught, the baseball travels a. The formula for tangential speed is v = rω, where v. A Baseball Pitcher Throws A Baseball Horizontally At A Linear Speed Of 42.5 M/S.
From www.chegg.com
Solved (II) A baseball pitcher throws a baseball with a A Baseball Pitcher Throws A Baseball Horizontally At A Linear Speed Of 42.5 M/S The formula for tangential speed is v = rω, where v is the tangential speed, r is the radius, and ω is the angular velocity (rotational. The rate of change in the object’s distance is known as the object’s speed. A baseball pitcher throws a baseball horizontally at a linear speed of 42.5 m/s (about 95 mi/h). A baseball pitcher. A Baseball Pitcher Throws A Baseball Horizontally At A Linear Speed Of 42.5 M/S.
From www.numerade.com
SOLVED A baseball pitcher throws a ball at 91.0 mi/h in the horizontal A Baseball Pitcher Throws A Baseball Horizontally At A Linear Speed Of 42.5 M/S Before being caught, the baseball travels a horizontal. A baseball pitcher throws a baseball horizontally at a linear speed of $42.5 \mathrm{m} / \mathrm{s}$ (about $95 \mathrm{mi} /. A baseball pitcher throws a baseball horizontally at a linear speed of 42.5 m/s (about 95 mi/h). Before being caught, the baseball travels a. The formula for tangential speed is v =. A Baseball Pitcher Throws A Baseball Horizontally At A Linear Speed Of 42.5 M/S.
From www.numerade.com
SOLVEDA baseball pitcher throws a base ball horizontally at a linear A Baseball Pitcher Throws A Baseball Horizontally At A Linear Speed Of 42.5 M/S A baseball pitcher throws a baseball horizontally at a linear speed of $42.5 \mathrm{m} / \mathrm{s}$ (about $95 \mathrm{mi} /. A baseball pitcher throws a baseball horizontally at a linear speed of 44.0 m / s. A baseball pitcher throws a baseball horizontally at a linear speed of $42.5 \mathrm{m} / \mathrm{s}$ (about $95 \mathrm{mi} /. The initial velocity is. A Baseball Pitcher Throws A Baseball Horizontally At A Linear Speed Of 42.5 M/S.
From www.numerade.com
A 0.145 kg baseball is pitched at 42 m / s. The batter hits it A Baseball Pitcher Throws A Baseball Horizontally At A Linear Speed Of 42.5 M/S A baseball pitcher throws a baseball horizontally at a linear speed of 44.0 m / s. The formula for tangential speed is v = rω, where v is the tangential speed, r is the radius, and ω is the angular velocity (rotational. A baseball pitcher throws a baseball horizontally at a linear speed of $42.5 \mathrm{m} / \mathrm{s}$ (about $95. A Baseball Pitcher Throws A Baseball Horizontally At A Linear Speed Of 42.5 M/S.
From www.numerade.com
SOLVED A baseball pitcher throws a baseball horizontally at a linear A Baseball Pitcher Throws A Baseball Horizontally At A Linear Speed Of 42.5 M/S A baseball pitcher throws a baseball horizontally at a linear speed of $42.5 \mathrm{m} / \mathrm{s}$ (about $95 \mathrm{mi} /. The rate of change in the object’s distance is known as the object’s speed. The formula for tangential speed is v = rω, where v is the tangential speed, r is the radius, and ω is the angular velocity (rotational.. A Baseball Pitcher Throws A Baseball Horizontally At A Linear Speed Of 42.5 M/S.
From www.chegg.com
Solved The pitcher throws the baseball horizontally with a A Baseball Pitcher Throws A Baseball Horizontally At A Linear Speed Of 42.5 M/S A baseball pitcher throws a baseball horizontally at a linear speed of 44.0 m / s. Before being caught, the baseball travels a horizontal. The rate of change in the object’s distance is known as the object’s speed. A baseball pitcher throws a baseball horizontally at a linear speed of $42.5 \mathrm{m} / \mathrm{s}$ (about $95 \mathrm{mi} /. A baseball. A Baseball Pitcher Throws A Baseball Horizontally At A Linear Speed Of 42.5 M/S.