Question Paper Bilaspur University . abvv bilaspur university question papers all courses all part , abvv bsc papers abvv atal bihari vajpayee vishwavidyalaya bilaspur university. download bilaspur university previous year question paper 2023. here you can find out atal bihari vajpayee vishwavidyalaya (abvp) solved question paper of the year 2023, 2022, 2021, 2020,. university news /press release nirf research/journal publications affiliated colleges. Candidates can download ba/ bba/ b.com/ ma and other courses from the previous year’s question paper, model, or sample paper from the link mention below. download exam question papers 2024 for final exams of atal university. This is the official web portal. access abvv question papers at cec bilaspur for exam preparation and academic reference.
from www.indcareer.com
here you can find out atal bihari vajpayee vishwavidyalaya (abvp) solved question paper of the year 2023, 2022, 2021, 2020,. access abvv question papers at cec bilaspur for exam preparation and academic reference. Candidates can download ba/ bba/ b.com/ ma and other courses from the previous year’s question paper, model, or sample paper from the link mention below. download exam question papers 2024 for final exams of atal university. abvv bilaspur university question papers all courses all part , abvv bsc papers abvv atal bihari vajpayee vishwavidyalaya bilaspur university. This is the official web portal. university news /press release nirf research/journal publications affiliated colleges. download bilaspur university previous year question paper 2023.
Bilaspur University Question Paper 20212022B. Sc. PartII (Two
Question Paper Bilaspur University access abvv question papers at cec bilaspur for exam preparation and academic reference. This is the official web portal. here you can find out atal bihari vajpayee vishwavidyalaya (abvp) solved question paper of the year 2023, 2022, 2021, 2020,. university news /press release nirf research/journal publications affiliated colleges. access abvv question papers at cec bilaspur for exam preparation and academic reference. download bilaspur university previous year question paper 2023. Candidates can download ba/ bba/ b.com/ ma and other courses from the previous year’s question paper, model, or sample paper from the link mention below. download exam question papers 2024 for final exams of atal university. abvv bilaspur university question papers all courses all part , abvv bsc papers abvv atal bihari vajpayee vishwavidyalaya bilaspur university.
From www.indcareer.com
Bilaspur University Question Paper June 2022Master Of Science In Question Paper Bilaspur University university news /press release nirf research/journal publications affiliated colleges. Candidates can download ba/ bba/ b.com/ ma and other courses from the previous year’s question paper, model, or sample paper from the link mention below. This is the official web portal. download exam question papers 2024 for final exams of atal university. abvv bilaspur university question papers all. Question Paper Bilaspur University.
From www.indcareer.com
Bilaspur University Question Paper 20212022 B. SC. Part I (BIOGROUP Question Paper Bilaspur University access abvv question papers at cec bilaspur for exam preparation and academic reference. download exam question papers 2024 for final exams of atal university. here you can find out atal bihari vajpayee vishwavidyalaya (abvp) solved question paper of the year 2023, 2022, 2021, 2020,. download bilaspur university previous year question paper 2023. abvv bilaspur university. Question Paper Bilaspur University.
From www.indcareer.com
Bilaspur University Question Paper 20212022M.A (Previous) Mathematics Question Paper Bilaspur University abvv bilaspur university question papers all courses all part , abvv bsc papers abvv atal bihari vajpayee vishwavidyalaya bilaspur university. download exam question papers 2024 for final exams of atal university. university news /press release nirf research/journal publications affiliated colleges. Candidates can download ba/ bba/ b.com/ ma and other courses from the previous year’s question paper, model,. Question Paper Bilaspur University.
From www.indcareer.com
Bilaspur University Question Paper 20212022B.B.A. PartI (One) (II Question Paper Bilaspur University This is the official web portal. access abvv question papers at cec bilaspur for exam preparation and academic reference. download bilaspur university previous year question paper 2023. abvv bilaspur university question papers all courses all part , abvv bsc papers abvv atal bihari vajpayee vishwavidyalaya bilaspur university. download exam question papers 2024 for final exams of. Question Paper Bilaspur University.
From www.indcareer.com
Bilaspur University Question Paper 20212022B. Sc. PartII (Two Question Paper Bilaspur University university news /press release nirf research/journal publications affiliated colleges. download exam question papers 2024 for final exams of atal university. access abvv question papers at cec bilaspur for exam preparation and academic reference. here you can find out atal bihari vajpayee vishwavidyalaya (abvp) solved question paper of the year 2023, 2022, 2021, 2020,. download bilaspur. Question Paper Bilaspur University.
From www.indcareer.com
Bilaspur University Question Paper 20212022P.G. Diploma In Computer Question Paper Bilaspur University university news /press release nirf research/journal publications affiliated colleges. download exam question papers 2024 for final exams of atal university. Candidates can download ba/ bba/ b.com/ ma and other courses from the previous year’s question paper, model, or sample paper from the link mention below. access abvv question papers at cec bilaspur for exam preparation and academic. Question Paper Bilaspur University.
From www.indcareer.com
Bilaspur University Question Paper 20212022Diploma In Computer Question Paper Bilaspur University download exam question papers 2024 for final exams of atal university. access abvv question papers at cec bilaspur for exam preparation and academic reference. Candidates can download ba/ bba/ b.com/ ma and other courses from the previous year’s question paper, model, or sample paper from the link mention below. university news /press release nirf research/journal publications affiliated. Question Paper Bilaspur University.
From www.indcareer.com
Bilaspur University Question Paper July 2022B.A. L.L.B.(II Sem Question Paper Bilaspur University download bilaspur university previous year question paper 2023. Candidates can download ba/ bba/ b.com/ ma and other courses from the previous year’s question paper, model, or sample paper from the link mention below. access abvv question papers at cec bilaspur for exam preparation and academic reference. here you can find out atal bihari vajpayee vishwavidyalaya (abvp) solved. Question Paper Bilaspur University.
From www.indcareer.com
Bilaspur University Question Paper 20212022 PartI (One) (10+2 Question Paper Bilaspur University university news /press release nirf research/journal publications affiliated colleges. here you can find out atal bihari vajpayee vishwavidyalaya (abvp) solved question paper of the year 2023, 2022, 2021, 2020,. access abvv question papers at cec bilaspur for exam preparation and academic reference. download bilaspur university previous year question paper 2023. Candidates can download ba/ bba/ b.com/. Question Paper Bilaspur University.
From www.indcareer.com
Bilaspur University Question Paper 20212022M.A (Final) Geography Question Paper Bilaspur University access abvv question papers at cec bilaspur for exam preparation and academic reference. here you can find out atal bihari vajpayee vishwavidyalaya (abvp) solved question paper of the year 2023, 2022, 2021, 2020,. university news /press release nirf research/journal publications affiliated colleges. abvv bilaspur university question papers all courses all part , abvv bsc papers abvv. Question Paper Bilaspur University.
From www.indcareer.com
Bilaspur University Question Paper 20212022M.Sc (Final) Mathematics Question Paper Bilaspur University access abvv question papers at cec bilaspur for exam preparation and academic reference. This is the official web portal. abvv bilaspur university question papers all courses all part , abvv bsc papers abvv atal bihari vajpayee vishwavidyalaya bilaspur university. download bilaspur university previous year question paper 2023. here you can find out atal bihari vajpayee vishwavidyalaya. Question Paper Bilaspur University.
From www.indcareer.com
Bilaspur University Question Paper June (Second Semester Question Paper Bilaspur University download bilaspur university previous year question paper 2023. abvv bilaspur university question papers all courses all part , abvv bsc papers abvv atal bihari vajpayee vishwavidyalaya bilaspur university. access abvv question papers at cec bilaspur for exam preparation and academic reference. download exam question papers 2024 for final exams of atal university. here you can. Question Paper Bilaspur University.
From www.indcareer.com
Bilaspur University Question Paper 20212022B. Sc. PartII (Two Question Paper Bilaspur University abvv bilaspur university question papers all courses all part , abvv bsc papers abvv atal bihari vajpayee vishwavidyalaya bilaspur university. This is the official web portal. university news /press release nirf research/journal publications affiliated colleges. download bilaspur university previous year question paper 2023. here you can find out atal bihari vajpayee vishwavidyalaya (abvp) solved question paper. Question Paper Bilaspur University.
From www.indcareer.com
Bilaspur University Question Paper 20212022Bachelor Of Physical Question Paper Bilaspur University This is the official web portal. download exam question papers 2024 for final exams of atal university. university news /press release nirf research/journal publications affiliated colleges. here you can find out atal bihari vajpayee vishwavidyalaya (abvp) solved question paper of the year 2023, 2022, 2021, 2020,. download bilaspur university previous year question paper 2023. Candidates can. Question Paper Bilaspur University.
From www.indcareer.com
Bilaspur University Question Paper June (Second Semester Question Paper Bilaspur University This is the official web portal. abvv bilaspur university question papers all courses all part , abvv bsc papers abvv atal bihari vajpayee vishwavidyalaya bilaspur university. download exam question papers 2024 for final exams of atal university. university news /press release nirf research/journal publications affiliated colleges. download bilaspur university previous year question paper 2023. Candidates can. Question Paper Bilaspur University.
From www.indcareer.com
Bilaspur University Question Paper June 2022M.A./M.Sc. Mathematics Question Paper Bilaspur University university news /press release nirf research/journal publications affiliated colleges. abvv bilaspur university question papers all courses all part , abvv bsc papers abvv atal bihari vajpayee vishwavidyalaya bilaspur university. access abvv question papers at cec bilaspur for exam preparation and academic reference. download bilaspur university previous year question paper 2023. here you can find out. Question Paper Bilaspur University.
From www.indcareer.com
Bilaspur University Question Paper 20212022M.Sc (Final) Mathematics Question Paper Bilaspur University here you can find out atal bihari vajpayee vishwavidyalaya (abvp) solved question paper of the year 2023, 2022, 2021, 2020,. download exam question papers 2024 for final exams of atal university. abvv bilaspur university question papers all courses all part , abvv bsc papers abvv atal bihari vajpayee vishwavidyalaya bilaspur university. access abvv question papers at. Question Paper Bilaspur University.
From www.indcareer.com
Bilaspur University Question Paper 20212022 PartI (One) (10+2 Question Paper Bilaspur University Candidates can download ba/ bba/ b.com/ ma and other courses from the previous year’s question paper, model, or sample paper from the link mention below. abvv bilaspur university question papers all courses all part , abvv bsc papers abvv atal bihari vajpayee vishwavidyalaya bilaspur university. This is the official web portal. university news /press release nirf research/journal publications. Question Paper Bilaspur University.
From www.indcareer.com
Bilaspur University Question Paper June 2022Master Of Science In Question Paper Bilaspur University download bilaspur university previous year question paper 2023. download exam question papers 2024 for final exams of atal university. abvv bilaspur university question papers all courses all part , abvv bsc papers abvv atal bihari vajpayee vishwavidyalaya bilaspur university. university news /press release nirf research/journal publications affiliated colleges. access abvv question papers at cec bilaspur. Question Paper Bilaspur University.
From www.indcareer.com
Bilaspur University Question Paper 20212022B. Sc. PartII (Two Question Paper Bilaspur University download bilaspur university previous year question paper 2023. university news /press release nirf research/journal publications affiliated colleges. access abvv question papers at cec bilaspur for exam preparation and academic reference. This is the official web portal. here you can find out atal bihari vajpayee vishwavidyalaya (abvp) solved question paper of the year 2023, 2022, 2021, 2020,.. Question Paper Bilaspur University.
From www.indcareer.com
Bilaspur University Question Paper 20212022 B. SC. Part I (BIOGROUP Question Paper Bilaspur University university news /press release nirf research/journal publications affiliated colleges. Candidates can download ba/ bba/ b.com/ ma and other courses from the previous year’s question paper, model, or sample paper from the link mention below. abvv bilaspur university question papers all courses all part , abvv bsc papers abvv atal bihari vajpayee vishwavidyalaya bilaspur university. access abvv question. Question Paper Bilaspur University.
From www.indcareer.com
Bilaspur University Question Paper June 2022M.A. Psychology (Fourth Question Paper Bilaspur University access abvv question papers at cec bilaspur for exam preparation and academic reference. This is the official web portal. download exam question papers 2024 for final exams of atal university. here you can find out atal bihari vajpayee vishwavidyalaya (abvp) solved question paper of the year 2023, 2022, 2021, 2020,. Candidates can download ba/ bba/ b.com/ ma. Question Paper Bilaspur University.
From www.indcareer.com
Bilaspur University Question Paper June 2022M.A. Economics (Second Question Paper Bilaspur University university news /press release nirf research/journal publications affiliated colleges. access abvv question papers at cec bilaspur for exam preparation and academic reference. Candidates can download ba/ bba/ b.com/ ma and other courses from the previous year’s question paper, model, or sample paper from the link mention below. download bilaspur university previous year question paper 2023. This is. Question Paper Bilaspur University.
From www.indcareer.com
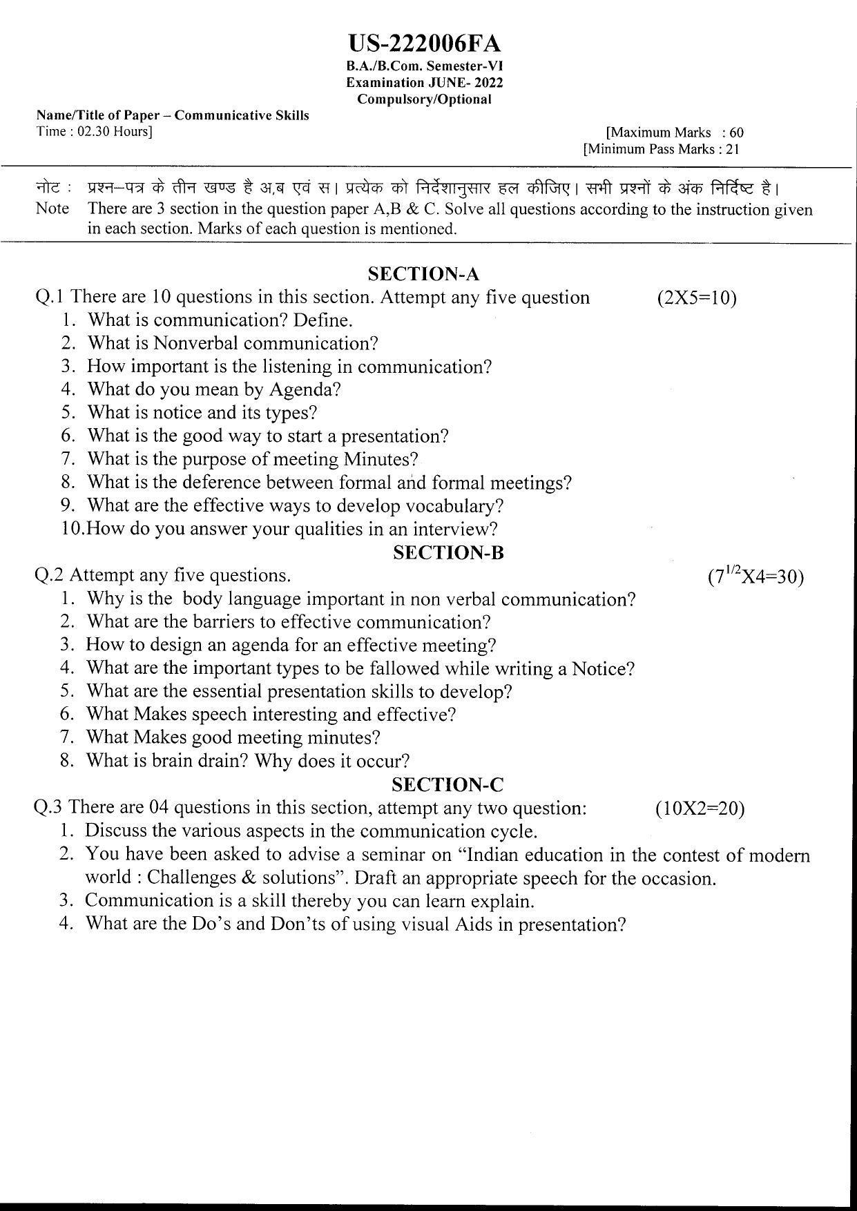
Bilaspur University Question Paper July 2022B.A. SemesterVI Question Paper Bilaspur University Candidates can download ba/ bba/ b.com/ ma and other courses from the previous year’s question paper, model, or sample paper from the link mention below. This is the official web portal. download exam question papers 2024 for final exams of atal university. here you can find out atal bihari vajpayee vishwavidyalaya (abvp) solved question paper of the year. Question Paper Bilaspur University.
From www.indcareer.com
Bilaspur University Question Paper 20212022 B. SC. Part I (BIOGROUP Question Paper Bilaspur University access abvv question papers at cec bilaspur for exam preparation and academic reference. download exam question papers 2024 for final exams of atal university. abvv bilaspur university question papers all courses all part , abvv bsc papers abvv atal bihari vajpayee vishwavidyalaya bilaspur university. university news /press release nirf research/journal publications affiliated colleges. download bilaspur. Question Paper Bilaspur University.
From www.indcareer.com
Bilaspur University Question Paper 20212022B. Sc. PartII (Two Question Paper Bilaspur University This is the official web portal. access abvv question papers at cec bilaspur for exam preparation and academic reference. Candidates can download ba/ bba/ b.com/ ma and other courses from the previous year’s question paper, model, or sample paper from the link mention below. download bilaspur university previous year question paper 2023. abvv bilaspur university question papers. Question Paper Bilaspur University.
From www.indcareer.com
Bilaspur University Question Paper 20212022Bachelor Of Physical Question Paper Bilaspur University This is the official web portal. here you can find out atal bihari vajpayee vishwavidyalaya (abvp) solved question paper of the year 2023, 2022, 2021, 2020,. download exam question papers 2024 for final exams of atal university. download bilaspur university previous year question paper 2023. Candidates can download ba/ bba/ b.com/ ma and other courses from the. Question Paper Bilaspur University.
From www.indcareer.com
Bilaspur University Question Paper 20212022Bachelor Of Physical Question Paper Bilaspur University download bilaspur university previous year question paper 2023. This is the official web portal. Candidates can download ba/ bba/ b.com/ ma and other courses from the previous year’s question paper, model, or sample paper from the link mention below. here you can find out atal bihari vajpayee vishwavidyalaya (abvp) solved question paper of the year 2023, 2022, 2021,. Question Paper Bilaspur University.
From www.indcareer.com
Bilaspur University Question Paper 20212022Bachelor Of Education Question Paper Bilaspur University download exam question papers 2024 for final exams of atal university. This is the official web portal. Candidates can download ba/ bba/ b.com/ ma and other courses from the previous year’s question paper, model, or sample paper from the link mention below. access abvv question papers at cec bilaspur for exam preparation and academic reference. abvv bilaspur. Question Paper Bilaspur University.
From www.indcareer.com
Bilaspur University Question Paper 20212022M.A (Previous) Public Question Paper Bilaspur University abvv bilaspur university question papers all courses all part , abvv bsc papers abvv atal bihari vajpayee vishwavidyalaya bilaspur university. download exam question papers 2024 for final exams of atal university. Candidates can download ba/ bba/ b.com/ ma and other courses from the previous year’s question paper, model, or sample paper from the link mention below. This is. Question Paper Bilaspur University.
From www.indcareer.com
Bilaspur University Question Paper (Final) Information Question Paper Bilaspur University abvv bilaspur university question papers all courses all part , abvv bsc papers abvv atal bihari vajpayee vishwavidyalaya bilaspur university. download bilaspur university previous year question paper 2023. here you can find out atal bihari vajpayee vishwavidyalaya (abvp) solved question paper of the year 2023, 2022, 2021, 2020,. This is the official web portal. university news. Question Paper Bilaspur University.
From www.indcareer.com
Bilaspur University Question Paper 20212022B. Sc. PartIII (Three Question Paper Bilaspur University here you can find out atal bihari vajpayee vishwavidyalaya (abvp) solved question paper of the year 2023, 2022, 2021, 2020,. abvv bilaspur university question papers all courses all part , abvv bsc papers abvv atal bihari vajpayee vishwavidyalaya bilaspur university. university news /press release nirf research/journal publications affiliated colleges. Candidates can download ba/ bba/ b.com/ ma and. Question Paper Bilaspur University.
From www.indcareer.com
Bilaspur University Question Paper 20212022 B.C.A. PartI(One) FC Question Paper Bilaspur University access abvv question papers at cec bilaspur for exam preparation and academic reference. download exam question papers 2024 for final exams of atal university. Candidates can download ba/ bba/ b.com/ ma and other courses from the previous year’s question paper, model, or sample paper from the link mention below. download bilaspur university previous year question paper 2023.. Question Paper Bilaspur University.
From www.indcareer.com
Bilaspur University Question Paper June (Seconnd Semester Question Paper Bilaspur University Candidates can download ba/ bba/ b.com/ ma and other courses from the previous year’s question paper, model, or sample paper from the link mention below. download exam question papers 2024 for final exams of atal university. download bilaspur university previous year question paper 2023. access abvv question papers at cec bilaspur for exam preparation and academic reference.. Question Paper Bilaspur University.
From www.indcareer.com
Bilaspur University Question Paper 20212022B.B.A. PartI (One) (II Question Paper Bilaspur University This is the official web portal. download bilaspur university previous year question paper 2023. abvv bilaspur university question papers all courses all part , abvv bsc papers abvv atal bihari vajpayee vishwavidyalaya bilaspur university. download exam question papers 2024 for final exams of atal university. Candidates can download ba/ bba/ b.com/ ma and other courses from the. Question Paper Bilaspur University.