How Many Times Can You Pick On Proline . You can find the odds of any proline event by checking the event list at an olg retailer, proline.ca or on the proline app. How to play in 4 easy steps. The only restriction is that you cannot have more. Access tips, tutorials, game information, and videos to. Proline offers thousands of betting options. Learn how to bet on single event wagers and more. 1.1 in these rules, “combo” or “combination play ” means the ability for a player to break down a. Wager on game lines and props, with three wager formats;
from www.reddit.com
You can find the odds of any proline event by checking the event list at an olg retailer, proline.ca or on the proline app. Proline offers thousands of betting options. 1.1 in these rules, “combo” or “combination play ” means the ability for a player to break down a. Wager on game lines and props, with three wager formats; Access tips, tutorials, game information, and videos to. Learn how to bet on single event wagers and more. How to play in 4 easy steps. The only restriction is that you cannot have more.
So many amazing choices at the base barber... How can you pick just one
How Many Times Can You Pick On Proline You can find the odds of any proline event by checking the event list at an olg retailer, proline.ca or on the proline app. The only restriction is that you cannot have more. Access tips, tutorials, game information, and videos to. You can find the odds of any proline event by checking the event list at an olg retailer, proline.ca or on the proline app. Learn how to bet on single event wagers and more. Wager on game lines and props, with three wager formats; Proline offers thousands of betting options. 1.1 in these rules, “combo” or “combination play ” means the ability for a player to break down a. How to play in 4 easy steps.
From www.reddit.com
Quick question can you pick up SC launch edition in stores or do you How Many Times Can You Pick On Proline Wager on game lines and props, with three wager formats; How to play in 4 easy steps. 1.1 in these rules, “combo” or “combination play ” means the ability for a player to break down a. You can find the odds of any proline event by checking the event list at an olg retailer, proline.ca or on the proline app.. How Many Times Can You Pick On Proline.
From appccpc2024.unap.edu.pe
Pick 3 Florida Your Ultimate Guide To Winning The Lottery How Many Times Can You Pick On Proline Learn how to bet on single event wagers and more. 1.1 in these rules, “combo” or “combination play ” means the ability for a player to break down a. The only restriction is that you cannot have more. Proline offers thousands of betting options. Access tips, tutorials, game information, and videos to. How to play in 4 easy steps. You. How Many Times Can You Pick On Proline.
From www.youtube.com
Can you pick the odd one out from these picture puzzles? Sharpen your How Many Times Can You Pick On Proline Wager on game lines and props, with three wager formats; Learn how to bet on single event wagers and more. 1.1 in these rules, “combo” or “combination play ” means the ability for a player to break down a. Access tips, tutorials, game information, and videos to. How to play in 4 easy steps. The only restriction is that you. How Many Times Can You Pick On Proline.
From www.pinterest.es
🧐Can you pick the year of this stunning AMC Javelin? Comment below💬 One How Many Times Can You Pick On Proline The only restriction is that you cannot have more. How to play in 4 easy steps. Learn how to bet on single event wagers and more. Access tips, tutorials, game information, and videos to. 1.1 in these rules, “combo” or “combination play ” means the ability for a player to break down a. You can find the odds of any. How Many Times Can You Pick On Proline.
From www.reddit.com
meet the oviraptorids! can you pick out each species just by size and How Many Times Can You Pick On Proline 1.1 in these rules, “combo” or “combination play ” means the ability for a player to break down a. Learn how to bet on single event wagers and more. Access tips, tutorials, game information, and videos to. The only restriction is that you cannot have more. You can find the odds of any proline event by checking the event list. How Many Times Can You Pick On Proline.
From www.youtube.com
MISSPELLED ENGLISH WORDS HOW SMART ARE YOU? CAN YOU PICK THE RIGHT How Many Times Can You Pick On Proline Learn how to bet on single event wagers and more. You can find the odds of any proline event by checking the event list at an olg retailer, proline.ca or on the proline app. Wager on game lines and props, with three wager formats; 1.1 in these rules, “combo” or “combination play ” means the ability for a player to. How Many Times Can You Pick On Proline.
From www.reddit.com
meet the titanosaurs! can you pick out each species just by size and How Many Times Can You Pick On Proline Wager on game lines and props, with three wager formats; Learn how to bet on single event wagers and more. 1.1 in these rules, “combo” or “combination play ” means the ability for a player to break down a. Access tips, tutorials, game information, and videos to. The only restriction is that you cannot have more. You can find the. How Many Times Can You Pick On Proline.
From ch.pinterest.com
Can you pick the final word in these Elvis Presley song titles? Elvis How Many Times Can You Pick On Proline How to play in 4 easy steps. Proline offers thousands of betting options. You can find the odds of any proline event by checking the event list at an olg retailer, proline.ca or on the proline app. Access tips, tutorials, game information, and videos to. Learn how to bet on single event wagers and more. The only restriction is that. How Many Times Can You Pick On Proline.
From www.youtube.com
Can you pick up movie tickets early? YouTube How Many Times Can You Pick On Proline You can find the odds of any proline event by checking the event list at an olg retailer, proline.ca or on the proline app. Wager on game lines and props, with three wager formats; How to play in 4 easy steps. Access tips, tutorials, game information, and videos to. 1.1 in these rules, “combo” or “combination play ” means the. How Many Times Can You Pick On Proline.
From www.printyourbrackets.com
Fillable Week 2 NFL Pick'em Sheet 2024 How Many Times Can You Pick On Proline Proline offers thousands of betting options. You can find the odds of any proline event by checking the event list at an olg retailer, proline.ca or on the proline app. Learn how to bet on single event wagers and more. Wager on game lines and props, with three wager formats; 1.1 in these rules, “combo” or “combination play ” means. How Many Times Can You Pick On Proline.
From www.pinterest.com
22+ Phrasal Verbs with PICK A Quick and Easy Guide • 7ESL Learn How Many Times Can You Pick On Proline Wager on game lines and props, with three wager formats; 1.1 in these rules, “combo” or “combination play ” means the ability for a player to break down a. Proline offers thousands of betting options. The only restriction is that you cannot have more. Access tips, tutorials, game information, and videos to. You can find the odds of any proline. How Many Times Can You Pick On Proline.
From www.docdroid.net
How can you pick the top IPTV service joqes.pdf.pdf DocDroid How Many Times Can You Pick On Proline How to play in 4 easy steps. Wager on game lines and props, with three wager formats; Access tips, tutorials, game information, and videos to. Proline offers thousands of betting options. 1.1 in these rules, “combo” or “combination play ” means the ability for a player to break down a. The only restriction is that you cannot have more. Learn. How Many Times Can You Pick On Proline.
From www.slideserve.com
PPT How Can You Pick The Best Party Venue To Spice Up Your Next Event How Many Times Can You Pick On Proline 1.1 in these rules, “combo” or “combination play ” means the ability for a player to break down a. The only restriction is that you cannot have more. Access tips, tutorials, game information, and videos to. You can find the odds of any proline event by checking the event list at an olg retailer, proline.ca or on the proline app.. How Many Times Can You Pick On Proline.
From www.reddit.com
So many amazing choices at the base barber... How can you pick just one How Many Times Can You Pick On Proline Proline offers thousands of betting options. You can find the odds of any proline event by checking the event list at an olg retailer, proline.ca or on the proline app. Learn how to bet on single event wagers and more. Wager on game lines and props, with three wager formats; 1.1 in these rules, “combo” or “combination play ” means. How Many Times Can You Pick On Proline.
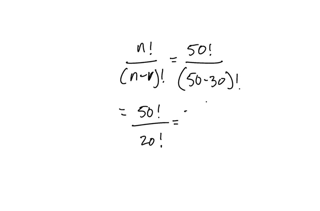
From www.numerade.com
SOLVED Suppose there are 50 unique pieces of candy, and you can only How Many Times Can You Pick On Proline Wager on game lines and props, with three wager formats; Learn how to bet on single event wagers and more. 1.1 in these rules, “combo” or “combination play ” means the ability for a player to break down a. How to play in 4 easy steps. Proline offers thousands of betting options. The only restriction is that you cannot have. How Many Times Can You Pick On Proline.
From www.reddit.com
meet the dromaeosaurids! can you pick out each species just by size and How Many Times Can You Pick On Proline Wager on game lines and props, with three wager formats; Proline offers thousands of betting options. The only restriction is that you cannot have more. 1.1 in these rules, “combo” or “combination play ” means the ability for a player to break down a. How to play in 4 easy steps. Access tips, tutorials, game information, and videos to. Learn. How Many Times Can You Pick On Proline.
From www.youtube.com
Can You Pick the RIGHT POSSESSIVE PRONOUN? English Grammar Test YouTube How Many Times Can You Pick On Proline Wager on game lines and props, with three wager formats; Access tips, tutorials, game information, and videos to. Learn how to bet on single event wagers and more. Proline offers thousands of betting options. How to play in 4 easy steps. You can find the odds of any proline event by checking the event list at an olg retailer, proline.ca. How Many Times Can You Pick On Proline.
From twitter.com
The Irrelevant Fan on Twitter "You can only pick one what button do How Many Times Can You Pick On Proline You can find the odds of any proline event by checking the event list at an olg retailer, proline.ca or on the proline app. Access tips, tutorials, game information, and videos to. 1.1 in these rules, “combo” or “combination play ” means the ability for a player to break down a. Wager on game lines and props, with three wager. How Many Times Can You Pick On Proline.
From exooimyge.blob.core.windows.net
When Should You Pick Cherry Tomatoes Off The Vine at Adell Sizemore blog How Many Times Can You Pick On Proline Learn how to bet on single event wagers and more. Wager on game lines and props, with three wager formats; 1.1 in these rules, “combo” or “combination play ” means the ability for a player to break down a. Proline offers thousands of betting options. You can find the odds of any proline event by checking the event list at. How Many Times Can You Pick On Proline.
From www.youtube.com
Can you pick off to a base with no runner? YouTube How Many Times Can You Pick On Proline Wager on game lines and props, with three wager formats; You can find the odds of any proline event by checking the event list at an olg retailer, proline.ca or on the proline app. 1.1 in these rules, “combo” or “combination play ” means the ability for a player to break down a. Proline offers thousands of betting options. Access. How Many Times Can You Pick On Proline.
From www.gauthmath.com
Solved In how many can you pick three balls of different colors if How Many Times Can You Pick On Proline Proline offers thousands of betting options. 1.1 in these rules, “combo” or “combination play ” means the ability for a player to break down a. The only restriction is that you cannot have more. Access tips, tutorials, game information, and videos to. Wager on game lines and props, with three wager formats; How to play in 4 easy steps. Learn. How Many Times Can You Pick On Proline.
From www.facebook.com
Check out our new Master of Corner Pins Challenge! How many times in a How Many Times Can You Pick On Proline The only restriction is that you cannot have more. Proline offers thousands of betting options. 1.1 in these rules, “combo” or “combination play ” means the ability for a player to break down a. Learn how to bet on single event wagers and more. Wager on game lines and props, with three wager formats; How to play in 4 easy. How Many Times Can You Pick On Proline.
From www.tiktok.com
gurl am calling can you pick call 🥰 guys pls like my video ND follow How Many Times Can You Pick On Proline The only restriction is that you cannot have more. Proline offers thousands of betting options. You can find the odds of any proline event by checking the event list at an olg retailer, proline.ca or on the proline app. Learn how to bet on single event wagers and more. 1.1 in these rules, “combo” or “combination play ” means the. How Many Times Can You Pick On Proline.
From www.youtube.com
Can you pick up money from Walmart without an ID? YouTube How Many Times Can You Pick On Proline Wager on game lines and props, with three wager formats; 1.1 in these rules, “combo” or “combination play ” means the ability for a player to break down a. The only restriction is that you cannot have more. Learn how to bet on single event wagers and more. Access tips, tutorials, game information, and videos to. You can find the. How Many Times Can You Pick On Proline.
From slideplayer.com
Probability Warm Up page 12 write the question you have 10 mins to How Many Times Can You Pick On Proline 1.1 in these rules, “combo” or “combination play ” means the ability for a player to break down a. How to play in 4 easy steps. Proline offers thousands of betting options. Wager on game lines and props, with three wager formats; Access tips, tutorials, game information, and videos to. Learn how to bet on single event wagers and more.. How Many Times Can You Pick On Proline.
From exoaazrxb.blob.core.windows.net
How Early Can You Pick Up A Car Rental at Alice Revilla blog How Many Times Can You Pick On Proline Learn how to bet on single event wagers and more. 1.1 in these rules, “combo” or “combination play ” means the ability for a player to break down a. The only restriction is that you cannot have more. Proline offers thousands of betting options. Wager on game lines and props, with three wager formats; You can find the odds of. How Many Times Can You Pick On Proline.
From www.metv.com
Quiz Can you pick the correct first line for these Leave It to Beaver How Many Times Can You Pick On Proline How to play in 4 easy steps. Access tips, tutorials, game information, and videos to. Learn how to bet on single event wagers and more. Proline offers thousands of betting options. Wager on game lines and props, with three wager formats; You can find the odds of any proline event by checking the event list at an olg retailer, proline.ca. How Many Times Can You Pick On Proline.
From www.cherrypicksreviews.com
Can You Pick Up Amazon Packages? (Yes, Here Is How to Do That) Cherry How Many Times Can You Pick On Proline Wager on game lines and props, with three wager formats; Proline offers thousands of betting options. The only restriction is that you cannot have more. Learn how to bet on single event wagers and more. Access tips, tutorials, game information, and videos to. 1.1 in these rules, “combo” or “combination play ” means the ability for a player to break. How Many Times Can You Pick On Proline.
From www.reddit.com
meet the abelisaurids! can you pick out each species just by size and How Many Times Can You Pick On Proline The only restriction is that you cannot have more. You can find the odds of any proline event by checking the event list at an olg retailer, proline.ca or on the proline app. Access tips, tutorials, game information, and videos to. How to play in 4 easy steps. Learn how to bet on single event wagers and more. Wager on. How Many Times Can You Pick On Proline.
From www.pixiv.net
Doki Doki Literature Club, DDLC, cute / Can you pick up Sayori? pixiv How Many Times Can You Pick On Proline Learn how to bet on single event wagers and more. Access tips, tutorials, game information, and videos to. 1.1 in these rules, “combo” or “combination play ” means the ability for a player to break down a. You can find the odds of any proline event by checking the event list at an olg retailer, proline.ca or on the proline. How Many Times Can You Pick On Proline.
From www.hindustantimes.com
Viral Brain Teaser Can you pick the odd one out? Trending How Many Times Can You Pick On Proline Access tips, tutorials, game information, and videos to. You can find the odds of any proline event by checking the event list at an olg retailer, proline.ca or on the proline app. How to play in 4 easy steps. Learn how to bet on single event wagers and more. 1.1 in these rules, “combo” or “combination play ” means the. How Many Times Can You Pick On Proline.
From slideplayer.com
to wk08 MATH225 Applications of Discrete Mathematics and How Many Times Can You Pick On Proline The only restriction is that you cannot have more. You can find the odds of any proline event by checking the event list at an olg retailer, proline.ca or on the proline app. Wager on game lines and props, with three wager formats; 1.1 in these rules, “combo” or “combination play ” means the ability for a player to break. How Many Times Can You Pick On Proline.
From www.slideserve.com
PPT How to Pick the Best Project Management Software for Small Team How Many Times Can You Pick On Proline Learn how to bet on single event wagers and more. 1.1 in these rules, “combo” or “combination play ” means the ability for a player to break down a. The only restriction is that you cannot have more. How to play in 4 easy steps. Proline offers thousands of betting options. Wager on game lines and props, with three wager. How Many Times Can You Pick On Proline.
From exomilcil.blob.core.windows.net
Can You Play Powerball In Mississippi at Christy Ryan blog How Many Times Can You Pick On Proline Access tips, tutorials, game information, and videos to. You can find the odds of any proline event by checking the event list at an olg retailer, proline.ca or on the proline app. How to play in 4 easy steps. Proline offers thousands of betting options. The only restriction is that you cannot have more. Wager on game lines and props,. How Many Times Can You Pick On Proline.
From www.youtube.com
Choose One BUTTON...! 😱 BOY or GIRL...? Can You Pick the Right Button How Many Times Can You Pick On Proline Learn how to bet on single event wagers and more. Proline offers thousands of betting options. Wager on game lines and props, with three wager formats; You can find the odds of any proline event by checking the event list at an olg retailer, proline.ca or on the proline app. How to play in 4 easy steps. 1.1 in these. How Many Times Can You Pick On Proline.