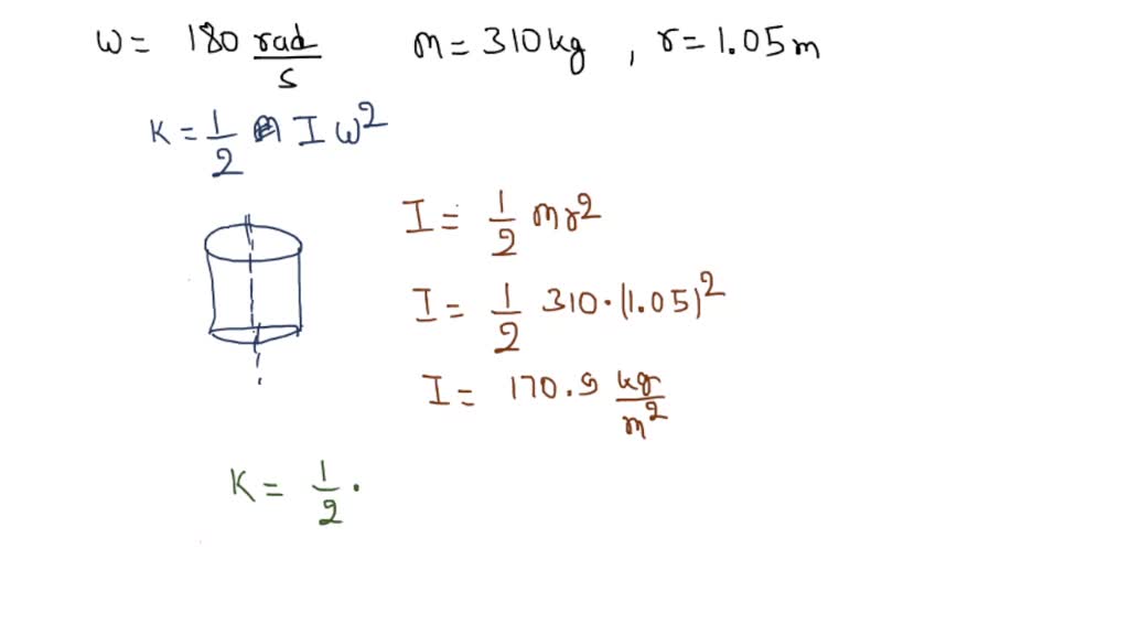
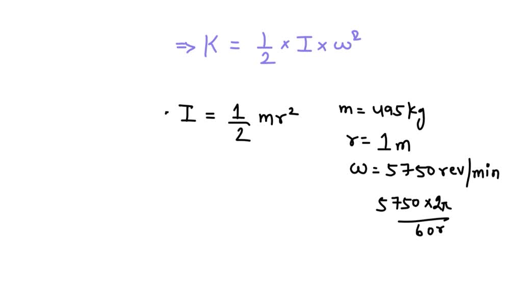
How Much Kinetic Energy Is Stored By The Flywheel When It Is Rotating At Its Maximum Rate . E k = ½ iω 2 i is the moment of inertia, which depends on the flywheel’s mass and how that mass is spread out relative to the axis of rotation. The system in formula one, refereed to as kinetic energy recovery system (kers) had a flywheel attached to each of the two drive wheels to store energy. E — energy stored in the flywheel. E = 0.5 × i × ω² where: Ω is the angular velocity, and is. The equation for the energy stored in a flywheel is: A flywheel can be used to smooth energy fluctuations and. The kinetic energy stored in the flywheel can be calculated using the formula: The energy was then used to. In conventional braking (say, on a bike), the kinetic energy store of the vehicle is transferred as waste through to the thermal. I — momentum of inertia. The kinetic energy (or more specifically rotational energy) stored by the flywheel's rotor can be calculated by.
from www.numerade.com
In conventional braking (say, on a bike), the kinetic energy store of the vehicle is transferred as waste through to the thermal. E — energy stored in the flywheel. The energy was then used to. The system in formula one, refereed to as kinetic energy recovery system (kers) had a flywheel attached to each of the two drive wheels to store energy. I — momentum of inertia. The kinetic energy stored in the flywheel can be calculated using the formula: The kinetic energy (or more specifically rotational energy) stored by the flywheel's rotor can be calculated by. Ω is the angular velocity, and is. The equation for the energy stored in a flywheel is: E = 0.5 × i × ω² where:
SOLVED The amount of Energy lost in an inelastic collision is
How Much Kinetic Energy Is Stored By The Flywheel When It Is Rotating At Its Maximum Rate The kinetic energy (or more specifically rotational energy) stored by the flywheel's rotor can be calculated by. E — energy stored in the flywheel. E = 0.5 × i × ω² where: I — momentum of inertia. In conventional braking (say, on a bike), the kinetic energy store of the vehicle is transferred as waste through to the thermal. The energy was then used to. The equation for the energy stored in a flywheel is: The system in formula one, refereed to as kinetic energy recovery system (kers) had a flywheel attached to each of the two drive wheels to store energy. E k = ½ iω 2 i is the moment of inertia, which depends on the flywheel’s mass and how that mass is spread out relative to the axis of rotation. A flywheel can be used to smooth energy fluctuations and. The kinetic energy stored in the flywheel can be calculated using the formula: Ω is the angular velocity, and is. The kinetic energy (or more specifically rotational energy) stored by the flywheel's rotor can be calculated by.
From edurev.in
A flywheel in the form of a solid circular disc of radius 100 mm and How Much Kinetic Energy Is Stored By The Flywheel When It Is Rotating At Its Maximum Rate The energy was then used to. The kinetic energy stored in the flywheel can be calculated using the formula: E — energy stored in the flywheel. E = 0.5 × i × ω² where: In conventional braking (say, on a bike), the kinetic energy store of the vehicle is transferred as waste through to the thermal. The equation for the. How Much Kinetic Energy Is Stored By The Flywheel When It Is Rotating At Its Maximum Rate.
From www.numerade.com
SOLVED The amount of Energy lost in an inelastic collision is How Much Kinetic Energy Is Stored By The Flywheel When It Is Rotating At Its Maximum Rate A flywheel can be used to smooth energy fluctuations and. E k = ½ iω 2 i is the moment of inertia, which depends on the flywheel’s mass and how that mass is spread out relative to the axis of rotation. The system in formula one, refereed to as kinetic energy recovery system (kers) had a flywheel attached to each. How Much Kinetic Energy Is Stored By The Flywheel When It Is Rotating At Its Maximum Rate.
From mungfali.com
Potential And Energy How Much Kinetic Energy Is Stored By The Flywheel When It Is Rotating At Its Maximum Rate In conventional braking (say, on a bike), the kinetic energy store of the vehicle is transferred as waste through to the thermal. E k = ½ iω 2 i is the moment of inertia, which depends on the flywheel’s mass and how that mass is spread out relative to the axis of rotation. E — energy stored in the flywheel.. How Much Kinetic Energy Is Stored By The Flywheel When It Is Rotating At Its Maximum Rate.
From mameqjoellen.pages.dev
A Vehicles Electrical Energy Is Stored In The Cylinder Elaine Filippa How Much Kinetic Energy Is Stored By The Flywheel When It Is Rotating At Its Maximum Rate The kinetic energy (or more specifically rotational energy) stored by the flywheel's rotor can be calculated by. E — energy stored in the flywheel. The kinetic energy stored in the flywheel can be calculated using the formula: In conventional braking (say, on a bike), the kinetic energy store of the vehicle is transferred as waste through to the thermal. The. How Much Kinetic Energy Is Stored By The Flywheel When It Is Rotating At Its Maximum Rate.
From dotemwcieco.blob.core.windows.net
Does A Compressed Spring Have Energy at Anna Dudley blog How Much Kinetic Energy Is Stored By The Flywheel When It Is Rotating At Its Maximum Rate E k = ½ iω 2 i is the moment of inertia, which depends on the flywheel’s mass and how that mass is spread out relative to the axis of rotation. The kinetic energy (or more specifically rotational energy) stored by the flywheel's rotor can be calculated by. The system in formula one, refereed to as kinetic energy recovery system. How Much Kinetic Energy Is Stored By The Flywheel When It Is Rotating At Its Maximum Rate.
From www.youtube.com
Energy Stored in Flywheel derivation Theory of machines YouTube How Much Kinetic Energy Is Stored By The Flywheel When It Is Rotating At Its Maximum Rate The system in formula one, refereed to as kinetic energy recovery system (kers) had a flywheel attached to each of the two drive wheels to store energy. I — momentum of inertia. The kinetic energy (or more specifically rotational energy) stored by the flywheel's rotor can be calculated by. A flywheel can be used to smooth energy fluctuations and. Ω. How Much Kinetic Energy Is Stored By The Flywheel When It Is Rotating At Its Maximum Rate.
From www.youtube.com
Free Energy Generator Flywheel Basics 😎 YouTube How Much Kinetic Energy Is Stored By The Flywheel When It Is Rotating At Its Maximum Rate E — energy stored in the flywheel. The system in formula one, refereed to as kinetic energy recovery system (kers) had a flywheel attached to each of the two drive wheels to store energy. The kinetic energy stored in the flywheel can be calculated using the formula: The energy was then used to. E k = ½ iω 2 i. How Much Kinetic Energy Is Stored By The Flywheel When It Is Rotating At Its Maximum Rate.
From physics.stackexchange.com
electrostatics What is the correct derivation of energy stored in How Much Kinetic Energy Is Stored By The Flywheel When It Is Rotating At Its Maximum Rate Ω is the angular velocity, and is. In conventional braking (say, on a bike), the kinetic energy store of the vehicle is transferred as waste through to the thermal. The kinetic energy stored in the flywheel can be calculated using the formula: The energy was then used to. E — energy stored in the flywheel. I — momentum of inertia.. How Much Kinetic Energy Is Stored By The Flywheel When It Is Rotating At Its Maximum Rate.
From www.toppr.com
Trucks can be run on energy stored in a rotating flywheel, with an How Much Kinetic Energy Is Stored By The Flywheel When It Is Rotating At Its Maximum Rate Ω is the angular velocity, and is. In conventional braking (say, on a bike), the kinetic energy store of the vehicle is transferred as waste through to the thermal. The energy was then used to. E = 0.5 × i × ω² where: E k = ½ iω 2 i is the moment of inertia, which depends on the flywheel’s. How Much Kinetic Energy Is Stored By The Flywheel When It Is Rotating At Its Maximum Rate.
From www.numerade.com
A streetcar is to be powered by the energy stored in a flywheel of mass How Much Kinetic Energy Is Stored By The Flywheel When It Is Rotating At Its Maximum Rate The system in formula one, refereed to as kinetic energy recovery system (kers) had a flywheel attached to each of the two drive wheels to store energy. In conventional braking (say, on a bike), the kinetic energy store of the vehicle is transferred as waste through to the thermal. I — momentum of inertia. Ω is the angular velocity, and. How Much Kinetic Energy Is Stored By The Flywheel When It Is Rotating At Its Maximum Rate.
From www.pinterest.co.uk
Potential energy, energy & Law of conservation of mechanical How Much Kinetic Energy Is Stored By The Flywheel When It Is Rotating At Its Maximum Rate The kinetic energy (or more specifically rotational energy) stored by the flywheel's rotor can be calculated by. E — energy stored in the flywheel. The kinetic energy stored in the flywheel can be calculated using the formula: The equation for the energy stored in a flywheel is: In conventional braking (say, on a bike), the kinetic energy store of the. How Much Kinetic Energy Is Stored By The Flywheel When It Is Rotating At Its Maximum Rate.
From www.numerade.com
SOLVEDA flywheel slows from 600 to 400 rev/min while rotating through How Much Kinetic Energy Is Stored By The Flywheel When It Is Rotating At Its Maximum Rate The energy was then used to. The kinetic energy (or more specifically rotational energy) stored by the flywheel's rotor can be calculated by. Ω is the angular velocity, and is. E — energy stored in the flywheel. In conventional braking (say, on a bike), the kinetic energy store of the vehicle is transferred as waste through to the thermal. E. How Much Kinetic Energy Is Stored By The Flywheel When It Is Rotating At Its Maximum Rate.
From medium.com
Flywheel. 1) What is Flywheel? by Maaz Abbas Jun, 2023 Medium How Much Kinetic Energy Is Stored By The Flywheel When It Is Rotating At Its Maximum Rate The energy was then used to. The kinetic energy stored in the flywheel can be calculated using the formula: E = 0.5 × i × ω² where: E k = ½ iω 2 i is the moment of inertia, which depends on the flywheel’s mass and how that mass is spread out relative to the axis of rotation. The system. How Much Kinetic Energy Is Stored By The Flywheel When It Is Rotating At Its Maximum Rate.
From sciencenotes.org
What Is Energy? Energy Examples How Much Kinetic Energy Is Stored By The Flywheel When It Is Rotating At Its Maximum Rate Ω is the angular velocity, and is. E — energy stored in the flywheel. The kinetic energy stored in the flywheel can be calculated using the formula: In conventional braking (say, on a bike), the kinetic energy store of the vehicle is transferred as waste through to the thermal. A flywheel can be used to smooth energy fluctuations and. The. How Much Kinetic Energy Is Stored By The Flywheel When It Is Rotating At Its Maximum Rate.
From www.vrogue.co
Solved If The Flywheel Is Rotating With An Angular Ve vrogue.co How Much Kinetic Energy Is Stored By The Flywheel When It Is Rotating At Its Maximum Rate The kinetic energy stored in the flywheel can be calculated using the formula: A flywheel can be used to smooth energy fluctuations and. I — momentum of inertia. Ω is the angular velocity, and is. The kinetic energy (or more specifically rotational energy) stored by the flywheel's rotor can be calculated by. In conventional braking (say, on a bike), the. How Much Kinetic Energy Is Stored By The Flywheel When It Is Rotating At Its Maximum Rate.
From www.numerade.com
SOLVED A car is designed to get its energy from a rotating flywheel How Much Kinetic Energy Is Stored By The Flywheel When It Is Rotating At Its Maximum Rate E — energy stored in the flywheel. The kinetic energy (or more specifically rotational energy) stored by the flywheel's rotor can be calculated by. Ω is the angular velocity, and is. E = 0.5 × i × ω² where: The system in formula one, refereed to as kinetic energy recovery system (kers) had a flywheel attached to each of the. How Much Kinetic Energy Is Stored By The Flywheel When It Is Rotating At Its Maximum Rate.
From www.numerade.com
A car is designed to get its energy from a rotating flywheel with a How Much Kinetic Energy Is Stored By The Flywheel When It Is Rotating At Its Maximum Rate The equation for the energy stored in a flywheel is: The kinetic energy stored in the flywheel can be calculated using the formula: E — energy stored in the flywheel. I — momentum of inertia. Ω is the angular velocity, and is. E = 0.5 × i × ω² where: The system in formula one, refereed to as kinetic energy. How Much Kinetic Energy Is Stored By The Flywheel When It Is Rotating At Its Maximum Rate.
From www.numerade.com
SOLVED Some European trucks run on energy stored in a rotating How Much Kinetic Energy Is Stored By The Flywheel When It Is Rotating At Its Maximum Rate The kinetic energy (or more specifically rotational energy) stored by the flywheel's rotor can be calculated by. In conventional braking (say, on a bike), the kinetic energy store of the vehicle is transferred as waste through to the thermal. The system in formula one, refereed to as kinetic energy recovery system (kers) had a flywheel attached to each of the. How Much Kinetic Energy Is Stored By The Flywheel When It Is Rotating At Its Maximum Rate.
From www.toppr.com
A 12.0V battery is connected to a capacitor, resulting in 54.0 mu C of How Much Kinetic Energy Is Stored By The Flywheel When It Is Rotating At Its Maximum Rate Ω is the angular velocity, and is. The system in formula one, refereed to as kinetic energy recovery system (kers) had a flywheel attached to each of the two drive wheels to store energy. A flywheel can be used to smooth energy fluctuations and. E k = ½ iω 2 i is the moment of inertia, which depends on the. How Much Kinetic Energy Is Stored By The Flywheel When It Is Rotating At Its Maximum Rate.
From www.vrogue.co
Calculate The Potential Energy At Point A What Is The vrogue.co How Much Kinetic Energy Is Stored By The Flywheel When It Is Rotating At Its Maximum Rate E k = ½ iω 2 i is the moment of inertia, which depends on the flywheel’s mass and how that mass is spread out relative to the axis of rotation. In conventional braking (say, on a bike), the kinetic energy store of the vehicle is transferred as waste through to the thermal. A flywheel can be used to smooth. How Much Kinetic Energy Is Stored By The Flywheel When It Is Rotating At Its Maximum Rate.
From www.numerade.com
SOLVED At the MIT Laboratory; energy is stored in huge solid How Much Kinetic Energy Is Stored By The Flywheel When It Is Rotating At Its Maximum Rate A flywheel can be used to smooth energy fluctuations and. In conventional braking (say, on a bike), the kinetic energy store of the vehicle is transferred as waste through to the thermal. The energy was then used to. The system in formula one, refereed to as kinetic energy recovery system (kers) had a flywheel attached to each of the two. How Much Kinetic Energy Is Stored By The Flywheel When It Is Rotating At Its Maximum Rate.
From online-learning-college.com
Gravitational potential and energy Calculating energies How Much Kinetic Energy Is Stored By The Flywheel When It Is Rotating At Its Maximum Rate E k = ½ iω 2 i is the moment of inertia, which depends on the flywheel’s mass and how that mass is spread out relative to the axis of rotation. E — energy stored in the flywheel. Ω is the angular velocity, and is. E = 0.5 × i × ω² where: The energy was then used to. In. How Much Kinetic Energy Is Stored By The Flywheel When It Is Rotating At Its Maximum Rate.
From www.toppr.com
(a) A 3.00 mu F capacitor is connected to a 12.0 V battery.How much How Much Kinetic Energy Is Stored By The Flywheel When It Is Rotating At Its Maximum Rate The kinetic energy stored in the flywheel can be calculated using the formula: Ω is the angular velocity, and is. The equation for the energy stored in a flywheel is: E k = ½ iω 2 i is the moment of inertia, which depends on the flywheel’s mass and how that mass is spread out relative to the axis of. How Much Kinetic Energy Is Stored By The Flywheel When It Is Rotating At Its Maximum Rate.
From www.numerade.com
A car is designed to get its energy from a rotating flywheel with a How Much Kinetic Energy Is Stored By The Flywheel When It Is Rotating At Its Maximum Rate The equation for the energy stored in a flywheel is: E — energy stored in the flywheel. In conventional braking (say, on a bike), the kinetic energy store of the vehicle is transferred as waste through to the thermal. The system in formula one, refereed to as kinetic energy recovery system (kers) had a flywheel attached to each of the. How Much Kinetic Energy Is Stored By The Flywheel When It Is Rotating At Its Maximum Rate.
From www.toppr.com
How long after closing the switch will the energy stored in the How Much Kinetic Energy Is Stored By The Flywheel When It Is Rotating At Its Maximum Rate The energy was then used to. E = 0.5 × i × ω² where: The equation for the energy stored in a flywheel is: A flywheel can be used to smooth energy fluctuations and. In conventional braking (say, on a bike), the kinetic energy store of the vehicle is transferred as waste through to the thermal. The kinetic energy stored. How Much Kinetic Energy Is Stored By The Flywheel When It Is Rotating At Its Maximum Rate.
From www.slideshare.net
Flywheels An Alternative Energy Storage Method How Much Kinetic Energy Is Stored By The Flywheel When It Is Rotating At Its Maximum Rate A flywheel can be used to smooth energy fluctuations and. The kinetic energy (or more specifically rotational energy) stored by the flywheel's rotor can be calculated by. The energy was then used to. The kinetic energy stored in the flywheel can be calculated using the formula: In conventional braking (say, on a bike), the kinetic energy store of the vehicle. How Much Kinetic Energy Is Stored By The Flywheel When It Is Rotating At Its Maximum Rate.
From battlebornbatteries.com
How Is Energy Stored in Batteries? Battle Born Batteries How Much Kinetic Energy Is Stored By The Flywheel When It Is Rotating At Its Maximum Rate The system in formula one, refereed to as kinetic energy recovery system (kers) had a flywheel attached to each of the two drive wheels to store energy. The kinetic energy (or more specifically rotational energy) stored by the flywheel's rotor can be calculated by. E — energy stored in the flywheel. E k = ½ iω 2 i is the. How Much Kinetic Energy Is Stored By The Flywheel When It Is Rotating At Its Maximum Rate.
From www.numerade.com
SOLVED A flywheel is a large, spinning solid disk that is used to How Much Kinetic Energy Is Stored By The Flywheel When It Is Rotating At Its Maximum Rate The system in formula one, refereed to as kinetic energy recovery system (kers) had a flywheel attached to each of the two drive wheels to store energy. I — momentum of inertia. The energy was then used to. The equation for the energy stored in a flywheel is: A flywheel can be used to smooth energy fluctuations and. In conventional. How Much Kinetic Energy Is Stored By The Flywheel When It Is Rotating At Its Maximum Rate.
From kunduz.com
[ANSWERED] A flywheel is rotating about a fixed axis and has How Much Kinetic Energy Is Stored By The Flywheel When It Is Rotating At Its Maximum Rate The kinetic energy (or more specifically rotational energy) stored by the flywheel's rotor can be calculated by. The system in formula one, refereed to as kinetic energy recovery system (kers) had a flywheel attached to each of the two drive wheels to store energy. E k = ½ iω 2 i is the moment of inertia, which depends on the. How Much Kinetic Energy Is Stored By The Flywheel When It Is Rotating At Its Maximum Rate.
From www.vrogue.co
A Flywheel Has A Moment Of Inertia Of 0 015 Kg M A Ho vrogue.co How Much Kinetic Energy Is Stored By The Flywheel When It Is Rotating At Its Maximum Rate I — momentum of inertia. The energy was then used to. Ω is the angular velocity, and is. E = 0.5 × i × ω² where: In conventional braking (say, on a bike), the kinetic energy store of the vehicle is transferred as waste through to the thermal. The kinetic energy (or more specifically rotational energy) stored by the flywheel's. How Much Kinetic Energy Is Stored By The Flywheel When It Is Rotating At Its Maximum Rate.
From www.numerade.com
SOLVED The mass of a flywheel is 109 kg and its radius of gyration is How Much Kinetic Energy Is Stored By The Flywheel When It Is Rotating At Its Maximum Rate The kinetic energy stored in the flywheel can be calculated using the formula: The system in formula one, refereed to as kinetic energy recovery system (kers) had a flywheel attached to each of the two drive wheels to store energy. In conventional braking (say, on a bike), the kinetic energy store of the vehicle is transferred as waste through to. How Much Kinetic Energy Is Stored By The Flywheel When It Is Rotating At Its Maximum Rate.
From learnmech.com
Design and Fabrication of frictionless energy generation using flywheel How Much Kinetic Energy Is Stored By The Flywheel When It Is Rotating At Its Maximum Rate E — energy stored in the flywheel. In conventional braking (say, on a bike), the kinetic energy store of the vehicle is transferred as waste through to the thermal. I — momentum of inertia. The system in formula one, refereed to as kinetic energy recovery system (kers) had a flywheel attached to each of the two drive wheels to store. How Much Kinetic Energy Is Stored By The Flywheel When It Is Rotating At Its Maximum Rate.
From haipernews.com
How To Calculate Energy Example Haiper How Much Kinetic Energy Is Stored By The Flywheel When It Is Rotating At Its Maximum Rate E k = ½ iω 2 i is the moment of inertia, which depends on the flywheel’s mass and how that mass is spread out relative to the axis of rotation. The system in formula one, refereed to as kinetic energy recovery system (kers) had a flywheel attached to each of the two drive wheels to store energy. In conventional. How Much Kinetic Energy Is Stored By The Flywheel When It Is Rotating At Its Maximum Rate.
From byjus.com
A flywheel of mass 25 kg has a radius of 0.2m.It is making 240 rpm.What How Much Kinetic Energy Is Stored By The Flywheel When It Is Rotating At Its Maximum Rate The equation for the energy stored in a flywheel is: The kinetic energy (or more specifically rotational energy) stored by the flywheel's rotor can be calculated by. In conventional braking (say, on a bike), the kinetic energy store of the vehicle is transferred as waste through to the thermal. E — energy stored in the flywheel. A flywheel can be. How Much Kinetic Energy Is Stored By The Flywheel When It Is Rotating At Its Maximum Rate.
From businessenergypayback.com
How To Build A Flywheel Energy Storage System How Much Kinetic Energy Is Stored By The Flywheel When It Is Rotating At Its Maximum Rate I — momentum of inertia. E = 0.5 × i × ω² where: Ω is the angular velocity, and is. The kinetic energy (or more specifically rotational energy) stored by the flywheel's rotor can be calculated by. In conventional braking (say, on a bike), the kinetic energy store of the vehicle is transferred as waste through to the thermal. The. How Much Kinetic Energy Is Stored By The Flywheel When It Is Rotating At Its Maximum Rate.