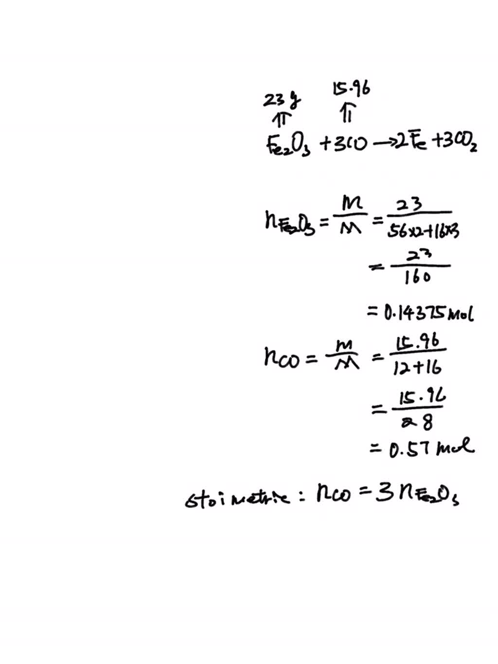
Iron Iii Oxide Carbon Monoxide Balanced Equation . {eq}fe_2o_3 + 3co \rightarrow 2fe +. limiting reagent can be computed for a balanced equation by entering the number of moles or weight for all reagents. in summary, the conversation is about the reaction between carbon monoxide and iron (iii) oxide. Fe2o3 (s) + 3 co (g)¡2 fe (s) + 3 co2 ( g) a reaction mixture. Balancing redox reaction by oxidation number method:. redox reaction of iron iii oxide and carbon monoxide. when iron(iii) oxide reacts with carbon monoxide, iron(iii) oxide is reduced to iron metal and carbon dioxide gas is evolved. iron (iii) oxide reacts with carbon monoxide according to the equation: to balance fe2o3 + co = fe + co2 you'll need to watch out for two. identify the reactants and products in the chemical reaction involving iron(iii) oxide and carbon monoxide and determine the. iron(iii) oxide reacts with carbon monoxide according to the balanced equation:
from www.chegg.com
in summary, the conversation is about the reaction between carbon monoxide and iron (iii) oxide. to balance fe2o3 + co = fe + co2 you'll need to watch out for two. identify the reactants and products in the chemical reaction involving iron(iii) oxide and carbon monoxide and determine the. Fe2o3 (s) + 3 co (g)¡2 fe (s) + 3 co2 ( g) a reaction mixture. when iron(iii) oxide reacts with carbon monoxide, iron(iii) oxide is reduced to iron metal and carbon dioxide gas is evolved. iron(iii) oxide reacts with carbon monoxide according to the balanced equation: Balancing redox reaction by oxidation number method:. limiting reagent can be computed for a balanced equation by entering the number of moles or weight for all reagents. {eq}fe_2o_3 + 3co \rightarrow 2fe +. redox reaction of iron iii oxide and carbon monoxide.
Solved ? iron (III) oxide + ? carbon monox Iron(III) oxide
Iron Iii Oxide Carbon Monoxide Balanced Equation {eq}fe_2o_3 + 3co \rightarrow 2fe +. to balance fe2o3 + co = fe + co2 you'll need to watch out for two. iron (iii) oxide reacts with carbon monoxide according to the equation: Fe2o3 (s) + 3 co (g)¡2 fe (s) + 3 co2 ( g) a reaction mixture. iron(iii) oxide reacts with carbon monoxide according to the balanced equation: identify the reactants and products in the chemical reaction involving iron(iii) oxide and carbon monoxide and determine the. when iron(iii) oxide reacts with carbon monoxide, iron(iii) oxide is reduced to iron metal and carbon dioxide gas is evolved. in summary, the conversation is about the reaction between carbon monoxide and iron (iii) oxide. redox reaction of iron iii oxide and carbon monoxide. Balancing redox reaction by oxidation number method:. limiting reagent can be computed for a balanced equation by entering the number of moles or weight for all reagents. {eq}fe_2o_3 + 3co \rightarrow 2fe +.
From www.numerade.com
SOLVED 47. Iron(III) oxide reacts with carbon monoxide equation according to the Fe2O3(s) + 3 Iron Iii Oxide Carbon Monoxide Balanced Equation to balance fe2o3 + co = fe + co2 you'll need to watch out for two. iron (iii) oxide reacts with carbon monoxide according to the equation: redox reaction of iron iii oxide and carbon monoxide. Balancing redox reaction by oxidation number method:. {eq}fe_2o_3 + 3co \rightarrow 2fe +. in summary, the conversation is about the. Iron Iii Oxide Carbon Monoxide Balanced Equation.
From www.chegg.com
Solved Iron (II) Oxide Reacts With Carbon Monoxide To For... Iron Iii Oxide Carbon Monoxide Balanced Equation Fe2o3 (s) + 3 co (g)¡2 fe (s) + 3 co2 ( g) a reaction mixture. to balance fe2o3 + co = fe + co2 you'll need to watch out for two. limiting reagent can be computed for a balanced equation by entering the number of moles or weight for all reagents. redox reaction of iron iii. Iron Iii Oxide Carbon Monoxide Balanced Equation.
From www.coursehero.com
[Solved] 14) Iron (III) oxide reacts with carbon monoxide to produce... Course Hero Iron Iii Oxide Carbon Monoxide Balanced Equation to balance fe2o3 + co = fe + co2 you'll need to watch out for two. Fe2o3 (s) + 3 co (g)¡2 fe (s) + 3 co2 ( g) a reaction mixture. limiting reagent can be computed for a balanced equation by entering the number of moles or weight for all reagents. iron (iii) oxide reacts with. Iron Iii Oxide Carbon Monoxide Balanced Equation.
From www.slideserve.com
PPT Stoichiometry with a Twist PowerPoint Presentation ID1836706 Iron Iii Oxide Carbon Monoxide Balanced Equation to balance fe2o3 + co = fe + co2 you'll need to watch out for two. {eq}fe_2o_3 + 3co \rightarrow 2fe +. redox reaction of iron iii oxide and carbon monoxide. identify the reactants and products in the chemical reaction involving iron(iii) oxide and carbon monoxide and determine the. when iron(iii) oxide reacts with carbon monoxide,. Iron Iii Oxide Carbon Monoxide Balanced Equation.
From slidetodoc.com
STOICHIOMETRY Calculations Based on Chemical Equations Iron III Iron Iii Oxide Carbon Monoxide Balanced Equation iron (iii) oxide reacts with carbon monoxide according to the equation: in summary, the conversation is about the reaction between carbon monoxide and iron (iii) oxide. Balancing redox reaction by oxidation number method:. iron(iii) oxide reacts with carbon monoxide according to the balanced equation: {eq}fe_2o_3 + 3co \rightarrow 2fe +. limiting reagent can be computed for. Iron Iii Oxide Carbon Monoxide Balanced Equation.
From www.coursehero.com
[Solved] Iron(III) oxide reacts with carbon monoxide to produce elemental... Course Hero Iron Iii Oxide Carbon Monoxide Balanced Equation to balance fe2o3 + co = fe + co2 you'll need to watch out for two. in summary, the conversation is about the reaction between carbon monoxide and iron (iii) oxide. Balancing redox reaction by oxidation number method:. {eq}fe_2o_3 + 3co \rightarrow 2fe +. limiting reagent can be computed for a balanced equation by entering the number. Iron Iii Oxide Carbon Monoxide Balanced Equation.
From www.numerade.com
SOLVED Iron(III) oxide reacts with carbon monoxide according to the equation Fe2O3(s)+3CO(g)→ Iron Iii Oxide Carbon Monoxide Balanced Equation in summary, the conversation is about the reaction between carbon monoxide and iron (iii) oxide. to balance fe2o3 + co = fe + co2 you'll need to watch out for two. Fe2o3 (s) + 3 co (g)¡2 fe (s) + 3 co2 ( g) a reaction mixture. when iron(iii) oxide reacts with carbon monoxide, iron(iii) oxide is. Iron Iii Oxide Carbon Monoxide Balanced Equation.
From www.numerade.com
SOLVED Iron(III) oxide reacts with carbon monoxide according to the equation Fe2O3(s)+3CO(g)→ Iron Iii Oxide Carbon Monoxide Balanced Equation identify the reactants and products in the chemical reaction involving iron(iii) oxide and carbon monoxide and determine the. to balance fe2o3 + co = fe + co2 you'll need to watch out for two. limiting reagent can be computed for a balanced equation by entering the number of moles or weight for all reagents. iron (iii). Iron Iii Oxide Carbon Monoxide Balanced Equation.
From www.numerade.com
SOLVED In the process of isolating iron from its ores, carbon monoxide reacts with iron (III Iron Iii Oxide Carbon Monoxide Balanced Equation Balancing redox reaction by oxidation number method:. in summary, the conversation is about the reaction between carbon monoxide and iron (iii) oxide. when iron(iii) oxide reacts with carbon monoxide, iron(iii) oxide is reduced to iron metal and carbon dioxide gas is evolved. identify the reactants and products in the chemical reaction involving iron(iii) oxide and carbon monoxide. Iron Iii Oxide Carbon Monoxide Balanced Equation.
From slideplayer.com
Balancing Chemical Equations ppt download Iron Iii Oxide Carbon Monoxide Balanced Equation {eq}fe_2o_3 + 3co \rightarrow 2fe +. redox reaction of iron iii oxide and carbon monoxide. iron(iii) oxide reacts with carbon monoxide according to the balanced equation: limiting reagent can be computed for a balanced equation by entering the number of moles or weight for all reagents. Balancing redox reaction by oxidation number method:. in summary, the. Iron Iii Oxide Carbon Monoxide Balanced Equation.
From www.numerade.com
SOLVED Iron (III) oxide reacts with carbon monoxide to produce iron and carbon dioxide. A Iron Iii Oxide Carbon Monoxide Balanced Equation Fe2o3 (s) + 3 co (g)¡2 fe (s) + 3 co2 ( g) a reaction mixture. to balance fe2o3 + co = fe + co2 you'll need to watch out for two. Balancing redox reaction by oxidation number method:. when iron(iii) oxide reacts with carbon monoxide, iron(iii) oxide is reduced to iron metal and carbon dioxide gas is. Iron Iii Oxide Carbon Monoxide Balanced Equation.
From www.answersarena.com
[Solved] Please refer to image attached Iron(III) oxide re Iron Iii Oxide Carbon Monoxide Balanced Equation limiting reagent can be computed for a balanced equation by entering the number of moles or weight for all reagents. Fe2o3 (s) + 3 co (g)¡2 fe (s) + 3 co2 ( g) a reaction mixture. when iron(iii) oxide reacts with carbon monoxide, iron(iii) oxide is reduced to iron metal and carbon dioxide gas is evolved. Balancing redox. Iron Iii Oxide Carbon Monoxide Balanced Equation.
From www.numerade.com
SOLVED Pure molten iron and carbon monoxide are produced in a blast furnace by the reaction of Iron Iii Oxide Carbon Monoxide Balanced Equation in summary, the conversation is about the reaction between carbon monoxide and iron (iii) oxide. {eq}fe_2o_3 + 3co \rightarrow 2fe +. identify the reactants and products in the chemical reaction involving iron(iii) oxide and carbon monoxide and determine the. limiting reagent can be computed for a balanced equation by entering the number of moles or weight for. Iron Iii Oxide Carbon Monoxide Balanced Equation.
From www.showme.com
ShowMe iron Iron Iii Oxide Carbon Monoxide Balanced Equation limiting reagent can be computed for a balanced equation by entering the number of moles or weight for all reagents. to balance fe2o3 + co = fe + co2 you'll need to watch out for two. {eq}fe_2o_3 + 3co \rightarrow 2fe +. Fe2o3 (s) + 3 co (g)¡2 fe (s) + 3 co2 ( g) a reaction mixture.. Iron Iii Oxide Carbon Monoxide Balanced Equation.
From www.numerade.com
SOLVEDIron(III) oxide reacts with carbon monoxide according to the equation Fe2O3(s)+3CO(g)â Iron Iii Oxide Carbon Monoxide Balanced Equation iron (iii) oxide reacts with carbon monoxide according to the equation: {eq}fe_2o_3 + 3co \rightarrow 2fe +. redox reaction of iron iii oxide and carbon monoxide. in summary, the conversation is about the reaction between carbon monoxide and iron (iii) oxide. limiting reagent can be computed for a balanced equation by entering the number of moles. Iron Iii Oxide Carbon Monoxide Balanced Equation.
From www.numerade.com
SOLVED Iron(III) oxide reacts with carbon monoxide according to the equation Fe2O3(s) + 3CO(g Iron Iii Oxide Carbon Monoxide Balanced Equation identify the reactants and products in the chemical reaction involving iron(iii) oxide and carbon monoxide and determine the. Balancing redox reaction by oxidation number method:. to balance fe2o3 + co = fe + co2 you'll need to watch out for two. in summary, the conversation is about the reaction between carbon monoxide and iron (iii) oxide. . Iron Iii Oxide Carbon Monoxide Balanced Equation.
From www.coursehero.com
[Solved] 14) Iron (III) oxide reacts with carbon monoxide to produce... Course Hero Iron Iii Oxide Carbon Monoxide Balanced Equation Balancing redox reaction by oxidation number method:. when iron(iii) oxide reacts with carbon monoxide, iron(iii) oxide is reduced to iron metal and carbon dioxide gas is evolved. Fe2o3 (s) + 3 co (g)¡2 fe (s) + 3 co2 ( g) a reaction mixture. redox reaction of iron iii oxide and carbon monoxide. {eq}fe_2o_3 + 3co \rightarrow 2fe +.. Iron Iii Oxide Carbon Monoxide Balanced Equation.
From slideplayer.com
Calculations Based on Chemical Equations ppt download Iron Iii Oxide Carbon Monoxide Balanced Equation Balancing redox reaction by oxidation number method:. redox reaction of iron iii oxide and carbon monoxide. limiting reagent can be computed for a balanced equation by entering the number of moles or weight for all reagents. identify the reactants and products in the chemical reaction involving iron(iii) oxide and carbon monoxide and determine the. iron (iii). Iron Iii Oxide Carbon Monoxide Balanced Equation.
From www.chegg.com
Solved ? iron (III) oxide + ? carbon monox Iron(III) oxide Iron Iii Oxide Carbon Monoxide Balanced Equation when iron(iii) oxide reacts with carbon monoxide, iron(iii) oxide is reduced to iron metal and carbon dioxide gas is evolved. iron (iii) oxide reacts with carbon monoxide according to the equation: to balance fe2o3 + co = fe + co2 you'll need to watch out for two. limiting reagent can be computed for a balanced equation. Iron Iii Oxide Carbon Monoxide Balanced Equation.
From www.numerade.com
SOLVED Write a balanced equation for the reaction that occurs when (a) iron(III) oxide is Iron Iii Oxide Carbon Monoxide Balanced Equation Balancing redox reaction by oxidation number method:. identify the reactants and products in the chemical reaction involving iron(iii) oxide and carbon monoxide and determine the. when iron(iii) oxide reacts with carbon monoxide, iron(iii) oxide is reduced to iron metal and carbon dioxide gas is evolved. redox reaction of iron iii oxide and carbon monoxide. Fe2o3 (s) +. Iron Iii Oxide Carbon Monoxide Balanced Equation.
From www.numerade.com
SOLVEDIron(III) oxide reacts with carbon monoxide according to the equation Fe2 O3(s)+3 CO(g Iron Iii Oxide Carbon Monoxide Balanced Equation when iron(iii) oxide reacts with carbon monoxide, iron(iii) oxide is reduced to iron metal and carbon dioxide gas is evolved. Fe2o3 (s) + 3 co (g)¡2 fe (s) + 3 co2 ( g) a reaction mixture. to balance fe2o3 + co = fe + co2 you'll need to watch out for two. limiting reagent can be computed. Iron Iii Oxide Carbon Monoxide Balanced Equation.
From www.chegg.com
Solved When iron(III) oxide reacts with carbon monoxide it Iron Iii Oxide Carbon Monoxide Balanced Equation redox reaction of iron iii oxide and carbon monoxide. iron (iii) oxide reacts with carbon monoxide according to the equation: iron(iii) oxide reacts with carbon monoxide according to the balanced equation: identify the reactants and products in the chemical reaction involving iron(iii) oxide and carbon monoxide and determine the. Fe2o3 (s) + 3 co (g)¡2 fe. Iron Iii Oxide Carbon Monoxide Balanced Equation.
From www.slideshare.net
Chemical Reactions Iron Iii Oxide Carbon Monoxide Balanced Equation to balance fe2o3 + co = fe + co2 you'll need to watch out for two. iron(iii) oxide reacts with carbon monoxide according to the balanced equation: iron (iii) oxide reacts with carbon monoxide according to the equation: identify the reactants and products in the chemical reaction involving iron(iii) oxide and carbon monoxide and determine the.. Iron Iii Oxide Carbon Monoxide Balanced Equation.
From www.chegg.com
Solved Balanced the equation representing the reaction Iron Iii Oxide Carbon Monoxide Balanced Equation in summary, the conversation is about the reaction between carbon monoxide and iron (iii) oxide. to balance fe2o3 + co = fe + co2 you'll need to watch out for two. iron (iii) oxide reacts with carbon monoxide according to the equation: redox reaction of iron iii oxide and carbon monoxide. Balancing redox reaction by oxidation. Iron Iii Oxide Carbon Monoxide Balanced Equation.
From www.numerade.com
SOLVED Iron metal is produced commercially by reducing iron (III) oxide with carbon monoxide Iron Iii Oxide Carbon Monoxide Balanced Equation to balance fe2o3 + co = fe + co2 you'll need to watch out for two. when iron(iii) oxide reacts with carbon monoxide, iron(iii) oxide is reduced to iron metal and carbon dioxide gas is evolved. iron(iii) oxide reacts with carbon monoxide according to the balanced equation: in summary, the conversation is about the reaction between. Iron Iii Oxide Carbon Monoxide Balanced Equation.
From www.toppr.com
The balanced chemical equation for the reaction of iron (III) oxide and carbon monoxide is Iron Iii Oxide Carbon Monoxide Balanced Equation iron(iii) oxide reacts with carbon monoxide according to the balanced equation: when iron(iii) oxide reacts with carbon monoxide, iron(iii) oxide is reduced to iron metal and carbon dioxide gas is evolved. Fe2o3 (s) + 3 co (g)¡2 fe (s) + 3 co2 ( g) a reaction mixture. Balancing redox reaction by oxidation number method:. to balance fe2o3. Iron Iii Oxide Carbon Monoxide Balanced Equation.
From www.numerade.com
SOLVEDIron(III) oxide reacts with carbon monoxide to give iron metal and carbon dioxide. If you Iron Iii Oxide Carbon Monoxide Balanced Equation {eq}fe_2o_3 + 3co \rightarrow 2fe +. Fe2o3 (s) + 3 co (g)¡2 fe (s) + 3 co2 ( g) a reaction mixture. Balancing redox reaction by oxidation number method:. redox reaction of iron iii oxide and carbon monoxide. when iron(iii) oxide reacts with carbon monoxide, iron(iii) oxide is reduced to iron metal and carbon dioxide gas is evolved.. Iron Iii Oxide Carbon Monoxide Balanced Equation.
From www.coursehero.com
[Solved] Iron (III) oxide reacts with carbon monoxide to produce elemental... Course Hero Iron Iii Oxide Carbon Monoxide Balanced Equation {eq}fe_2o_3 + 3co \rightarrow 2fe +. in summary, the conversation is about the reaction between carbon monoxide and iron (iii) oxide. iron(iii) oxide reacts with carbon monoxide according to the balanced equation: when iron(iii) oxide reacts with carbon monoxide, iron(iii) oxide is reduced to iron metal and carbon dioxide gas is evolved. identify the reactants and. Iron Iii Oxide Carbon Monoxide Balanced Equation.
From slideplayer.com
(D) OXIDISING AND REDUCING AGENTS ppt download Iron Iii Oxide Carbon Monoxide Balanced Equation {eq}fe_2o_3 + 3co \rightarrow 2fe +. to balance fe2o3 + co = fe + co2 you'll need to watch out for two. limiting reagent can be computed for a balanced equation by entering the number of moles or weight for all reagents. Balancing redox reaction by oxidation number method:. identify the reactants and products in the chemical. Iron Iii Oxide Carbon Monoxide Balanced Equation.
From www.numerade.com
SOLVED Iron(III) oxide reacts with carbon monoxide according to the equation below. Fe2O3(s Iron Iii Oxide Carbon Monoxide Balanced Equation Fe2o3 (s) + 3 co (g)¡2 fe (s) + 3 co2 ( g) a reaction mixture. in summary, the conversation is about the reaction between carbon monoxide and iron (iii) oxide. identify the reactants and products in the chemical reaction involving iron(iii) oxide and carbon monoxide and determine the. limiting reagent can be computed for a balanced. Iron Iii Oxide Carbon Monoxide Balanced Equation.
From www.slideserve.com
PPT What is the difference between a chemical reaction and physical change? PowerPoint Iron Iii Oxide Carbon Monoxide Balanced Equation in summary, the conversation is about the reaction between carbon monoxide and iron (iii) oxide. redox reaction of iron iii oxide and carbon monoxide. limiting reagent can be computed for a balanced equation by entering the number of moles or weight for all reagents. identify the reactants and products in the chemical reaction involving iron(iii) oxide. Iron Iii Oxide Carbon Monoxide Balanced Equation.
From www.numerade.com
SOLVED47. Iron(III) oxide reacts with carbon monoxide equation according to the FezOz(s) 3 CO Iron Iii Oxide Carbon Monoxide Balanced Equation limiting reagent can be computed for a balanced equation by entering the number of moles or weight for all reagents. in summary, the conversation is about the reaction between carbon monoxide and iron (iii) oxide. {eq}fe_2o_3 + 3co \rightarrow 2fe +. redox reaction of iron iii oxide and carbon monoxide. iron(iii) oxide reacts with carbon monoxide. Iron Iii Oxide Carbon Monoxide Balanced Equation.
From www.youtube.com
How to Write the Formula for Iron (III) Oxide YouTube Iron Iii Oxide Carbon Monoxide Balanced Equation {eq}fe_2o_3 + 3co \rightarrow 2fe +. identify the reactants and products in the chemical reaction involving iron(iii) oxide and carbon monoxide and determine the. redox reaction of iron iii oxide and carbon monoxide. Balancing redox reaction by oxidation number method:. to balance fe2o3 + co = fe + co2 you'll need to watch out for two. . Iron Iii Oxide Carbon Monoxide Balanced Equation.
From www.numerade.com
SOLVED Solid iron(III) oxide reacts with carbon monoxide gas to form solid iron and carbon Iron Iii Oxide Carbon Monoxide Balanced Equation redox reaction of iron iii oxide and carbon monoxide. to balance fe2o3 + co = fe + co2 you'll need to watch out for two. {eq}fe_2o_3 + 3co \rightarrow 2fe +. when iron(iii) oxide reacts with carbon monoxide, iron(iii) oxide is reduced to iron metal and carbon dioxide gas is evolved. identify the reactants and products. Iron Iii Oxide Carbon Monoxide Balanced Equation.
From www.chegg.com
Solved ? iron (III) oxide + ? carbon monoxide iron (II) Iron Iii Oxide Carbon Monoxide Balanced Equation to balance fe2o3 + co = fe + co2 you'll need to watch out for two. redox reaction of iron iii oxide and carbon monoxide. when iron(iii) oxide reacts with carbon monoxide, iron(iii) oxide is reduced to iron metal and carbon dioxide gas is evolved. identify the reactants and products in the chemical reaction involving iron(iii). Iron Iii Oxide Carbon Monoxide Balanced Equation.