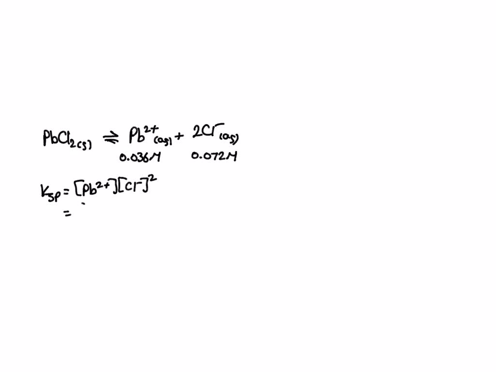
Lead Chloride Ksp . We hope they will prove usefull to you. If there are any other salts. Below are the values of the ksp product constant for the most common salts. The solubility product constant, or ksp, is the equilibrium constant of a solute dissolving in a solvent to form a solution. The solubility of lead chloride in water can also be expressed in terms of its solubility product constant (ksp). A solute is soluble if more than 1 g dissolves in 100 ml of water. Calculating the solubility product constant (ksp) is essential for understanding the solubility of sparingly soluble salts.
from www.numerade.com
Calculating the solubility product constant (ksp) is essential for understanding the solubility of sparingly soluble salts. The solubility product constant, or ksp, is the equilibrium constant of a solute dissolving in a solvent to form a solution. Below are the values of the ksp product constant for the most common salts. If there are any other salts. We hope they will prove usefull to you. A solute is soluble if more than 1 g dissolves in 100 ml of water. The solubility of lead chloride in water can also be expressed in terms of its solubility product constant (ksp).
SOLVED Will lead chloride precipitate when 275 mL of 0.134 M solution
Lead Chloride Ksp The solubility of lead chloride in water can also be expressed in terms of its solubility product constant (ksp). Below are the values of the ksp product constant for the most common salts. Calculating the solubility product constant (ksp) is essential for understanding the solubility of sparingly soluble salts. If there are any other salts. A solute is soluble if more than 1 g dissolves in 100 ml of water. The solubility product constant, or ksp, is the equilibrium constant of a solute dissolving in a solvent to form a solution. The solubility of lead chloride in water can also be expressed in terms of its solubility product constant (ksp). We hope they will prove usefull to you.
From www.numerade.com
SOLVED The solubility of Lead (II) Chloride in water is found to be 0. Lead Chloride Ksp The solubility product constant, or ksp, is the equilibrium constant of a solute dissolving in a solvent to form a solution. If there are any other salts. Below are the values of the ksp product constant for the most common salts. Calculating the solubility product constant (ksp) is essential for understanding the solubility of sparingly soluble salts. The solubility of. Lead Chloride Ksp.
From www.numerade.com
SOLVED Will lead chloride precipitate when 275 mL of 0.134 M solution Lead Chloride Ksp The solubility of lead chloride in water can also be expressed in terms of its solubility product constant (ksp). If there are any other salts. Below are the values of the ksp product constant for the most common salts. A solute is soluble if more than 1 g dissolves in 100 ml of water. The solubility product constant, or ksp,. Lead Chloride Ksp.
From www.chegg.com
Solved The Ksp value for lead(11) chloride is 9.42 X104. Lead Chloride Ksp Calculating the solubility product constant (ksp) is essential for understanding the solubility of sparingly soluble salts. If there are any other salts. Below are the values of the ksp product constant for the most common salts. The solubility product constant, or ksp, is the equilibrium constant of a solute dissolving in a solvent to form a solution. The solubility of. Lead Chloride Ksp.
From www.chegg.com
Solved Find the ksp value 8B. Lead(II) chloride, given Lead Chloride Ksp A solute is soluble if more than 1 g dissolves in 100 ml of water. The solubility of lead chloride in water can also be expressed in terms of its solubility product constant (ksp). Below are the values of the ksp product constant for the most common salts. Calculating the solubility product constant (ksp) is essential for understanding the solubility. Lead Chloride Ksp.
From www.chegg.com
Chem 1132 Lab Name Ksp of Lead(II) Chloride Prelab Lead Chloride Ksp The solubility of lead chloride in water can also be expressed in terms of its solubility product constant (ksp). Below are the values of the ksp product constant for the most common salts. If there are any other salts. Calculating the solubility product constant (ksp) is essential for understanding the solubility of sparingly soluble salts. The solubility product constant, or. Lead Chloride Ksp.
From collegedunia.com
Lead II Chloride Formula Properties, Structure, Examples Lead Chloride Ksp Calculating the solubility product constant (ksp) is essential for understanding the solubility of sparingly soluble salts. The solubility of lead chloride in water can also be expressed in terms of its solubility product constant (ksp). A solute is soluble if more than 1 g dissolves in 100 ml of water. We hope they will prove usefull to you. Below are. Lead Chloride Ksp.
From www.bartleby.com
Answered Calculate Ksp of Lead Chloride at room… bartleby Lead Chloride Ksp A solute is soluble if more than 1 g dissolves in 100 ml of water. Below are the values of the ksp product constant for the most common salts. The solubility product constant, or ksp, is the equilibrium constant of a solute dissolving in a solvent to form a solution. If there are any other salts. We hope they will. Lead Chloride Ksp.
From www.numerade.com
SOLVEDIn water, the solubility of lead(II) chloride is 0.016 M. Use Lead Chloride Ksp The solubility product constant, or ksp, is the equilibrium constant of a solute dissolving in a solvent to form a solution. If there are any other salts. The solubility of lead chloride in water can also be expressed in terms of its solubility product constant (ksp). Below are the values of the ksp product constant for the most common salts.. Lead Chloride Ksp.
From www.chegg.com
Solved The Ksp for lead chloride ( PbCl2) is 1.6 x 105. Lead Chloride Ksp A solute is soluble if more than 1 g dissolves in 100 ml of water. We hope they will prove usefull to you. The solubility of lead chloride in water can also be expressed in terms of its solubility product constant (ksp). If there are any other salts. The solubility product constant, or ksp, is the equilibrium constant of a. Lead Chloride Ksp.
From www.numerade.com
SOLVED The solubility of PbCl2 is measured and found to be 4.60 g/L Lead Chloride Ksp The solubility of lead chloride in water can also be expressed in terms of its solubility product constant (ksp). If there are any other salts. We hope they will prove usefull to you. A solute is soluble if more than 1 g dissolves in 100 ml of water. Below are the values of the ksp product constant for the most. Lead Chloride Ksp.
From www.numerade.com
When lead chloride (PbClz) is placed in otherwise pure water; enough Lead Chloride Ksp We hope they will prove usefull to you. Calculating the solubility product constant (ksp) is essential for understanding the solubility of sparingly soluble salts. Below are the values of the ksp product constant for the most common salts. A solute is soluble if more than 1 g dissolves in 100 ml of water. If there are any other salts. The. Lead Chloride Ksp.
From www.chegg.com
Solved 7. The solubility product constant for lead chloride Lead Chloride Ksp Below are the values of the ksp product constant for the most common salts. We hope they will prove usefull to you. If there are any other salts. A solute is soluble if more than 1 g dissolves in 100 ml of water. Calculating the solubility product constant (ksp) is essential for understanding the solubility of sparingly soluble salts. The. Lead Chloride Ksp.
From www.slideserve.com
PPT Solubility Equilibria PowerPoint Presentation, free download ID Lead Chloride Ksp We hope they will prove usefull to you. A solute is soluble if more than 1 g dissolves in 100 ml of water. Below are the values of the ksp product constant for the most common salts. Calculating the solubility product constant (ksp) is essential for understanding the solubility of sparingly soluble salts. If there are any other salts. The. Lead Chloride Ksp.
From www.numerade.com
When lead chloride (PbClz) is placed in otherwise pure water; enough Lead Chloride Ksp The solubility of lead chloride in water can also be expressed in terms of its solubility product constant (ksp). If there are any other salts. The solubility product constant, or ksp, is the equilibrium constant of a solute dissolving in a solvent to form a solution. Calculating the solubility product constant (ksp) is essential for understanding the solubility of sparingly. Lead Chloride Ksp.
From www.chegg.com
Solved The Ksp for lead chloride (PbCl2) is 1.6×10−5. Lead Chloride Ksp If there are any other salts. A solute is soluble if more than 1 g dissolves in 100 ml of water. Below are the values of the ksp product constant for the most common salts. We hope they will prove usefull to you. The solubility of lead chloride in water can also be expressed in terms of its solubility product. Lead Chloride Ksp.
From www.chegg.com
Solved Not yet chloride? answered Ksp of lead chloride is Lead Chloride Ksp Below are the values of the ksp product constant for the most common salts. The solubility of lead chloride in water can also be expressed in terms of its solubility product constant (ksp). We hope they will prove usefull to you. The solubility product constant, or ksp, is the equilibrium constant of a solute dissolving in a solvent to form. Lead Chloride Ksp.
From www.chegg.com
Solved Chem 1132 Lab Ksp of Lead(lI) Chloride Prelab Lead Chloride Ksp We hope they will prove usefull to you. If there are any other salts. Calculating the solubility product constant (ksp) is essential for understanding the solubility of sparingly soluble salts. The solubility of lead chloride in water can also be expressed in terms of its solubility product constant (ksp). A solute is soluble if more than 1 g dissolves in. Lead Chloride Ksp.
From byjus.com
determine the solubilities of silverchromate(Ksp=1.1×10∧ 12), barium Lead Chloride Ksp Calculating the solubility product constant (ksp) is essential for understanding the solubility of sparingly soluble salts. Below are the values of the ksp product constant for the most common salts. The solubility product constant, or ksp, is the equilibrium constant of a solute dissolving in a solvent to form a solution. A solute is soluble if more than 1 g. Lead Chloride Ksp.
From www.slideserve.com
PPT PRECIPITATION REACTIONS Chapter 17 Part 2 PowerPoint Presentation Lead Chloride Ksp Calculating the solubility product constant (ksp) is essential for understanding the solubility of sparingly soluble salts. We hope they will prove usefull to you. If there are any other salts. A solute is soluble if more than 1 g dissolves in 100 ml of water. The solubility of lead chloride in water can also be expressed in terms of its. Lead Chloride Ksp.
From www.chegg.com
Solved Q3. (1 pt.) Determine the Ksp for lead (II) chloride Lead Chloride Ksp A solute is soluble if more than 1 g dissolves in 100 ml of water. Calculating the solubility product constant (ksp) is essential for understanding the solubility of sparingly soluble salts. The solubility product constant, or ksp, is the equilibrium constant of a solute dissolving in a solvent to form a solution. Below are the values of the ksp product. Lead Chloride Ksp.
From www.chegg.com
Name Chem 1132 Lab Ksp of Lead(II) Chloride Prelab Lead Chloride Ksp Calculating the solubility product constant (ksp) is essential for understanding the solubility of sparingly soluble salts. A solute is soluble if more than 1 g dissolves in 100 ml of water. The solubility product constant, or ksp, is the equilibrium constant of a solute dissolving in a solvent to form a solution. Below are the values of the ksp product. Lead Chloride Ksp.
From www.chegg.com
Solved The Ksp for lead(II) chloride (molar mass 278.1 Lead Chloride Ksp The solubility of lead chloride in water can also be expressed in terms of its solubility product constant (ksp). The solubility product constant, or ksp, is the equilibrium constant of a solute dissolving in a solvent to form a solution. If there are any other salts. We hope they will prove usefull to you. A solute is soluble if more. Lead Chloride Ksp.
From www.fishersci.com
Lead Chloride, Powder, 97, Spectrum Chemical, Quantity 500 g Fisher Lead Chloride Ksp The solubility of lead chloride in water can also be expressed in terms of its solubility product constant (ksp). The solubility product constant, or ksp, is the equilibrium constant of a solute dissolving in a solvent to form a solution. Below are the values of the ksp product constant for the most common salts. We hope they will prove usefull. Lead Chloride Ksp.
From www.chegg.com
Solved QUESTION 4 Ksp for lead (II) chloride, PbCl2, is 1.6 Lead Chloride Ksp If there are any other salts. The solubility product constant, or ksp, is the equilibrium constant of a solute dissolving in a solvent to form a solution. Below are the values of the ksp product constant for the most common salts. The solubility of lead chloride in water can also be expressed in terms of its solubility product constant (ksp).. Lead Chloride Ksp.
From www.chegg.com
Solved Ksp for lead(II) chloride, PbCl2 is 1.6×10−5. Lead Chloride Ksp The solubility product constant, or ksp, is the equilibrium constant of a solute dissolving in a solvent to form a solution. A solute is soluble if more than 1 g dissolves in 100 ml of water. Below are the values of the ksp product constant for the most common salts. If there are any other salts. The solubility of lead. Lead Chloride Ksp.
From fphoto.photoshelter.com
science chemistry precipitation reaction lead chloride Fundamental Lead Chloride Ksp A solute is soluble if more than 1 g dissolves in 100 ml of water. Calculating the solubility product constant (ksp) is essential for understanding the solubility of sparingly soluble salts. The solubility of lead chloride in water can also be expressed in terms of its solubility product constant (ksp). If there are any other salts. Below are the values. Lead Chloride Ksp.
From www.numerade.com
SOLVED Write out the equilibrium reaction that shows lead (II Lead Chloride Ksp Below are the values of the ksp product constant for the most common salts. The solubility of lead chloride in water can also be expressed in terms of its solubility product constant (ksp). Calculating the solubility product constant (ksp) is essential for understanding the solubility of sparingly soluble salts. If there are any other salts. A solute is soluble if. Lead Chloride Ksp.
From www.youtube.com
Lab7 Solubility and Ksp of lead chloride YouTube Lead Chloride Ksp The solubility product constant, or ksp, is the equilibrium constant of a solute dissolving in a solvent to form a solution. If there are any other salts. We hope they will prove usefull to you. Calculating the solubility product constant (ksp) is essential for understanding the solubility of sparingly soluble salts. The solubility of lead chloride in water can also. Lead Chloride Ksp.
From fphoto.photoshelter.com
precipitation lead chloride chemistry solubility Fundamental Lead Chloride Ksp We hope they will prove usefull to you. Calculating the solubility product constant (ksp) is essential for understanding the solubility of sparingly soluble salts. If there are any other salts. The solubility product constant, or ksp, is the equilibrium constant of a solute dissolving in a solvent to form a solution. The solubility of lead chloride in water can also. Lead Chloride Ksp.
From www.chegg.com
Solved This question has multiple parts. Work all the parts Lead Chloride Ksp If there are any other salts. We hope they will prove usefull to you. The solubility of lead chloride in water can also be expressed in terms of its solubility product constant (ksp). A solute is soluble if more than 1 g dissolves in 100 ml of water. The solubility product constant, or ksp, is the equilibrium constant of a. Lead Chloride Ksp.
From www.chegg.com
Solved 2. Determine the Ksp of lead(II) chloride. The Lead Chloride Ksp The solubility of lead chloride in water can also be expressed in terms of its solubility product constant (ksp). We hope they will prove usefull to you. A solute is soluble if more than 1 g dissolves in 100 ml of water. Calculating the solubility product constant (ksp) is essential for understanding the solubility of sparingly soluble salts. Below are. Lead Chloride Ksp.
From www.chegg.com
Name Chem 1132 Lab Ksp of Lead(II) Chloride Prelab Lead Chloride Ksp The solubility product constant, or ksp, is the equilibrium constant of a solute dissolving in a solvent to form a solution. Calculating the solubility product constant (ksp) is essential for understanding the solubility of sparingly soluble salts. Below are the values of the ksp product constant for the most common salts. The solubility of lead chloride in water can also. Lead Chloride Ksp.
From www.chegg.com
Solved 5) Lead (II) chloride, PbCl2, has a Ksp of 1.6 x 105 Lead Chloride Ksp We hope they will prove usefull to you. The solubility of lead chloride in water can also be expressed in terms of its solubility product constant (ksp). The solubility product constant, or ksp, is the equilibrium constant of a solute dissolving in a solvent to form a solution. A solute is soluble if more than 1 g dissolves in 100. Lead Chloride Ksp.
From www.chegg.com
Solved The Ksp for lead chloride (PbCl2) is 1.6×10−5. Lead Chloride Ksp Below are the values of the ksp product constant for the most common salts. The solubility product constant, or ksp, is the equilibrium constant of a solute dissolving in a solvent to form a solution. If there are any other salts. A solute is soluble if more than 1 g dissolves in 100 ml of water. We hope they will. Lead Chloride Ksp.
From www.numerade.com
SOLVED 4) Calculate the solubility of lead (II) chloride in a Lead Chloride Ksp The solubility of lead chloride in water can also be expressed in terms of its solubility product constant (ksp). We hope they will prove usefull to you. Below are the values of the ksp product constant for the most common salts. The solubility product constant, or ksp, is the equilibrium constant of a solute dissolving in a solvent to form. Lead Chloride Ksp.