Assumption Of Risk Affirmative Defense California . This instruction sets forth the affirmative defense of express or contractual assumption of risk. (3) made with knowledge of its untruth; • “[c]ases involving express assumption of risk are concerned with instances in which, as the result of an express agreement, the defendant owes no duty to protect the plaintif f from. In your jurisdiction, the affirmative defense of fraud has five elements: This is in contrast to secondary assumption of risk, which refers to the traditional affirmative defense that is available to certain negligence defendants. The essence of the tort doctrine “assumption of risk” is that a. The plaintiff is barred from recovery because they knowingly and voluntarily assumed the risk of getting injured. • “because primary assumption of risk focuses on the question of duty, it is not dependent on either the plaintif f’ s implied consent to, or. Nunnink (2011) 191 cal.app.4th 826,. (2) about a material fact;
from heinonline.org
• “because primary assumption of risk focuses on the question of duty, it is not dependent on either the plaintif f’ s implied consent to, or. The plaintiff is barred from recovery because they knowingly and voluntarily assumed the risk of getting injured. • “[c]ases involving express assumption of risk are concerned with instances in which, as the result of an express agreement, the defendant owes no duty to protect the plaintif f from. This instruction sets forth the affirmative defense of express or contractual assumption of risk. (3) made with knowledge of its untruth; The essence of the tort doctrine “assumption of risk” is that a. In your jurisdiction, the affirmative defense of fraud has five elements: (2) about a material fact; This is in contrast to secondary assumption of risk, which refers to the traditional affirmative defense that is available to certain negligence defendants. Nunnink (2011) 191 cal.app.4th 826,.
Redirecting...
Assumption Of Risk Affirmative Defense California The essence of the tort doctrine “assumption of risk” is that a. The plaintiff is barred from recovery because they knowingly and voluntarily assumed the risk of getting injured. This instruction sets forth the affirmative defense of express or contractual assumption of risk. • “because primary assumption of risk focuses on the question of duty, it is not dependent on either the plaintif f’ s implied consent to, or. (2) about a material fact; The essence of the tort doctrine “assumption of risk” is that a. Nunnink (2011) 191 cal.app.4th 826,. (3) made with knowledge of its untruth; This is in contrast to secondary assumption of risk, which refers to the traditional affirmative defense that is available to certain negligence defendants. • “[c]ases involving express assumption of risk are concerned with instances in which, as the result of an express agreement, the defendant owes no duty to protect the plaintif f from. In your jurisdiction, the affirmative defense of fraud has five elements:
From exopadwui.blob.core.windows.net
Affirmative Defense Assumption Of Risk Definition at Jeffrey Hyman blog Assumption Of Risk Affirmative Defense California (3) made with knowledge of its untruth; Nunnink (2011) 191 cal.app.4th 826,. In your jurisdiction, the affirmative defense of fraud has five elements: This is in contrast to secondary assumption of risk, which refers to the traditional affirmative defense that is available to certain negligence defendants. The essence of the tort doctrine “assumption of risk” is that a. • “[c]ases. Assumption Of Risk Affirmative Defense California.
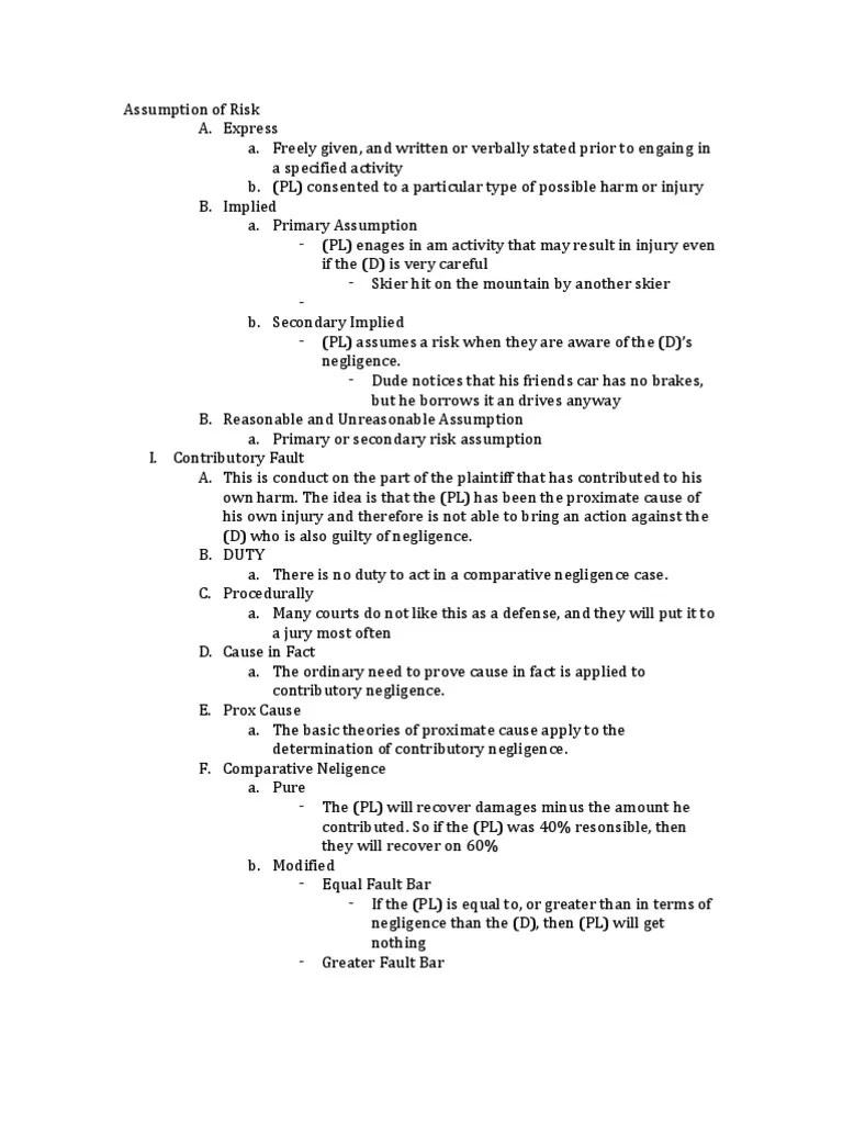
From www.scribd.com
Assumption of Risk PDF Contributory Negligence Negligence Assumption Of Risk Affirmative Defense California (2) about a material fact; This instruction sets forth the affirmative defense of express or contractual assumption of risk. Nunnink (2011) 191 cal.app.4th 826,. • “because primary assumption of risk focuses on the question of duty, it is not dependent on either the plaintif f’ s implied consent to, or. • “[c]ases involving express assumption of risk are concerned with. Assumption Of Risk Affirmative Defense California.
From www.scribd.com
An InDepth Analysis of Assumption of Risk and Other Affirmative Assumption Of Risk Affirmative Defense California Nunnink (2011) 191 cal.app.4th 826,. (3) made with knowledge of its untruth; In your jurisdiction, the affirmative defense of fraud has five elements: (2) about a material fact; • “[c]ases involving express assumption of risk are concerned with instances in which, as the result of an express agreement, the defendant owes no duty to protect the plaintif f from. The. Assumption Of Risk Affirmative Defense California.
From www.uslegalforms.com
California Waiver, Release, Assumption of Risks and Indemnity Agreement Assumption Of Risk Affirmative Defense California (2) about a material fact; This is in contrast to secondary assumption of risk, which refers to the traditional affirmative defense that is available to certain negligence defendants. • “[c]ases involving express assumption of risk are concerned with instances in which, as the result of an express agreement, the defendant owes no duty to protect the plaintif f from. The. Assumption Of Risk Affirmative Defense California.
From www.mccoyandsparks.com
Assumption of Risk in a Personal Injury Case What Is It? Assumption Of Risk Affirmative Defense California In your jurisdiction, the affirmative defense of fraud has five elements: Nunnink (2011) 191 cal.app.4th 826,. • “because primary assumption of risk focuses on the question of duty, it is not dependent on either the plaintif f’ s implied consent to, or. • “[c]ases involving express assumption of risk are concerned with instances in which, as the result of an. Assumption Of Risk Affirmative Defense California.
From id.scribd.com
GUIDE Answering The Complaint PLUS Forms Unduh gratis PDF Pro Se Assumption Of Risk Affirmative Defense California • “[c]ases involving express assumption of risk are concerned with instances in which, as the result of an express agreement, the defendant owes no duty to protect the plaintif f from. • “because primary assumption of risk focuses on the question of duty, it is not dependent on either the plaintif f’ s implied consent to, or. (2) about a. Assumption Of Risk Affirmative Defense California.
From www.scribd.com
Affirmative Defense Pleading Lawsuit Assumption Of Risk Affirmative Defense California The essence of the tort doctrine “assumption of risk” is that a. • “[c]ases involving express assumption of risk are concerned with instances in which, as the result of an express agreement, the defendant owes no duty to protect the plaintif f from. Nunnink (2011) 191 cal.app.4th 826,. The plaintiff is barred from recovery because they knowingly and voluntarily assumed. Assumption Of Risk Affirmative Defense California.
From www.uslegalforms.com
Texas Defendant Employers Answer and Affirmative Defenses Affirmative Assumption Of Risk Affirmative Defense California • “because primary assumption of risk focuses on the question of duty, it is not dependent on either the plaintif f’ s implied consent to, or. Nunnink (2011) 191 cal.app.4th 826,. In your jurisdiction, the affirmative defense of fraud has five elements: This is in contrast to secondary assumption of risk, which refers to the traditional affirmative defense that is. Assumption Of Risk Affirmative Defense California.
From www.uslegalforms.com
Answer by Defendant in a Civil Lawsuit Alleging the Affirmative Defense Assumption Of Risk Affirmative Defense California In your jurisdiction, the affirmative defense of fraud has five elements: • “[c]ases involving express assumption of risk are concerned with instances in which, as the result of an express agreement, the defendant owes no duty to protect the plaintif f from. • “because primary assumption of risk focuses on the question of duty, it is not dependent on either. Assumption Of Risk Affirmative Defense California.
From exopadwui.blob.core.windows.net
Affirmative Defense Assumption Of Risk Definition at Jeffrey Hyman blog Assumption Of Risk Affirmative Defense California This is in contrast to secondary assumption of risk, which refers to the traditional affirmative defense that is available to certain negligence defendants. Nunnink (2011) 191 cal.app.4th 826,. • “because primary assumption of risk focuses on the question of duty, it is not dependent on either the plaintif f’ s implied consent to, or. • “[c]ases involving express assumption of. Assumption Of Risk Affirmative Defense California.
From www.uslegalforms.com
Answer by Defendant in a Civil Lawsuit Alleging the Affirmative Defense Assumption Of Risk Affirmative Defense California • “[c]ases involving express assumption of risk are concerned with instances in which, as the result of an express agreement, the defendant owes no duty to protect the plaintif f from. The plaintiff is barred from recovery because they knowingly and voluntarily assumed the risk of getting injured. This instruction sets forth the affirmative defense of express or contractual assumption. Assumption Of Risk Affirmative Defense California.
From www.signnow.com
Defenses Attachment 4 Affirmative Complete with ease airSlate SignNow Assumption Of Risk Affirmative Defense California In your jurisdiction, the affirmative defense of fraud has five elements: • “because primary assumption of risk focuses on the question of duty, it is not dependent on either the plaintif f’ s implied consent to, or. The essence of the tort doctrine “assumption of risk” is that a. This is in contrast to secondary assumption of risk, which refers. Assumption Of Risk Affirmative Defense California.
From slideplayer.com
PA 165 Introduction to Torts ppt download Assumption Of Risk Affirmative Defense California (3) made with knowledge of its untruth; The plaintiff is barred from recovery because they knowingly and voluntarily assumed the risk of getting injured. (2) about a material fact; Nunnink (2011) 191 cal.app.4th 826,. This instruction sets forth the affirmative defense of express or contractual assumption of risk. This is in contrast to secondary assumption of risk, which refers to. Assumption Of Risk Affirmative Defense California.
From www.justia.com
CACI No. 451. Affirmative Defense Contractual Assumption of Risk Assumption Of Risk Affirmative Defense California The plaintiff is barred from recovery because they knowingly and voluntarily assumed the risk of getting injured. This is in contrast to secondary assumption of risk, which refers to the traditional affirmative defense that is available to certain negligence defendants. • “[c]ases involving express assumption of risk are concerned with instances in which, as the result of an express agreement,. Assumption Of Risk Affirmative Defense California.
From studylib.net
Sample answer Kansas Legal Services Assumption Of Risk Affirmative Defense California (3) made with knowledge of its untruth; Nunnink (2011) 191 cal.app.4th 826,. This instruction sets forth the affirmative defense of express or contractual assumption of risk. The plaintiff is barred from recovery because they knowingly and voluntarily assumed the risk of getting injured. The essence of the tort doctrine “assumption of risk” is that a. • “[c]ases involving express assumption. Assumption Of Risk Affirmative Defense California.
From slideplayer.com
Causes of Action and Remedies Unit 3. Housekeeping Feedback on Action Assumption Of Risk Affirmative Defense California (2) about a material fact; In your jurisdiction, the affirmative defense of fraud has five elements: This is in contrast to secondary assumption of risk, which refers to the traditional affirmative defense that is available to certain negligence defendants. This instruction sets forth the affirmative defense of express or contractual assumption of risk. • “because primary assumption of risk focuses. Assumption Of Risk Affirmative Defense California.
From www.scribd.com
Answer With Affirmative Defenses PDF Pleading Complaint Assumption Of Risk Affirmative Defense California • “because primary assumption of risk focuses on the question of duty, it is not dependent on either the plaintif f’ s implied consent to, or. This instruction sets forth the affirmative defense of express or contractual assumption of risk. (3) made with knowledge of its untruth; Nunnink (2011) 191 cal.app.4th 826,. In your jurisdiction, the affirmative defense of fraud. Assumption Of Risk Affirmative Defense California.
From www.pinterest.jp
What is Assumption of the Risk? How does it impact my case? The term Assumption Of Risk Affirmative Defense California Nunnink (2011) 191 cal.app.4th 826,. (2) about a material fact; • “[c]ases involving express assumption of risk are concerned with instances in which, as the result of an express agreement, the defendant owes no duty to protect the plaintif f from. This instruction sets forth the affirmative defense of express or contractual assumption of risk. (3) made with knowledge of. Assumption Of Risk Affirmative Defense California.
From exopadwui.blob.core.windows.net
Affirmative Defense Assumption Of Risk Definition at Jeffrey Hyman blog Assumption Of Risk Affirmative Defense California The essence of the tort doctrine “assumption of risk” is that a. • “[c]ases involving express assumption of risk are concerned with instances in which, as the result of an express agreement, the defendant owes no duty to protect the plaintif f from. Nunnink (2011) 191 cal.app.4th 826,. In your jurisdiction, the affirmative defense of fraud has five elements: (3). Assumption Of Risk Affirmative Defense California.
From www.uslegalforms.com
California Release, Waiver, Assumption of Risk and Indemnity Agreement Assumption Of Risk Affirmative Defense California • “because primary assumption of risk focuses on the question of duty, it is not dependent on either the plaintif f’ s implied consent to, or. (3) made with knowledge of its untruth; In your jurisdiction, the affirmative defense of fraud has five elements: This is in contrast to secondary assumption of risk, which refers to the traditional affirmative defense. Assumption Of Risk Affirmative Defense California.
From finzfirm.com
Understanding Assumption of Risk New York Law Finz & Finz, P.C. Assumption Of Risk Affirmative Defense California The essence of the tort doctrine “assumption of risk” is that a. (3) made with knowledge of its untruth; This instruction sets forth the affirmative defense of express or contractual assumption of risk. Nunnink (2011) 191 cal.app.4th 826,. In your jurisdiction, the affirmative defense of fraud has five elements: This is in contrast to secondary assumption of risk, which refers. Assumption Of Risk Affirmative Defense California.
From www.scribd.com
Answer With Affirmative Defenses PDF Cause Of Action Lawsuit Assumption Of Risk Affirmative Defense California (2) about a material fact; In your jurisdiction, the affirmative defense of fraud has five elements: (3) made with knowledge of its untruth; The plaintiff is barred from recovery because they knowingly and voluntarily assumed the risk of getting injured. The essence of the tort doctrine “assumption of risk” is that a. This is in contrast to secondary assumption of. Assumption Of Risk Affirmative Defense California.
From exopadwui.blob.core.windows.net
Affirmative Defense Assumption Of Risk Definition at Jeffrey Hyman blog Assumption Of Risk Affirmative Defense California (2) about a material fact; • “because primary assumption of risk focuses on the question of duty, it is not dependent on either the plaintif f’ s implied consent to, or. In your jurisdiction, the affirmative defense of fraud has five elements: (3) made with knowledge of its untruth; The essence of the tort doctrine “assumption of risk” is that. Assumption Of Risk Affirmative Defense California.
From www.signnow.com
Assumption of Risk Affirmative Defense Sample Form Fill Out and Sign Assumption Of Risk Affirmative Defense California This instruction sets forth the affirmative defense of express or contractual assumption of risk. • “[c]ases involving express assumption of risk are concerned with instances in which, as the result of an express agreement, the defendant owes no duty to protect the plaintif f from. The essence of the tort doctrine “assumption of risk” is that a. The plaintiff is. Assumption Of Risk Affirmative Defense California.
From www.pdffiller.com
Fillable Online 1. AFFIRMATIVE REPRESENTTIONS 2 ASSUMPTION OF THE RISK Assumption Of Risk Affirmative Defense California • “[c]ases involving express assumption of risk are concerned with instances in which, as the result of an express agreement, the defendant owes no duty to protect the plaintif f from. This is in contrast to secondary assumption of risk, which refers to the traditional affirmative defense that is available to certain negligence defendants. The essence of the tort doctrine. Assumption Of Risk Affirmative Defense California.
From www.justia.com
CACI No. 451. Affirmative Defense Contractual Assumption of Risk Assumption Of Risk Affirmative Defense California • “[c]ases involving express assumption of risk are concerned with instances in which, as the result of an express agreement, the defendant owes no duty to protect the plaintif f from. The essence of the tort doctrine “assumption of risk” is that a. • “because primary assumption of risk focuses on the question of duty, it is not dependent on. Assumption Of Risk Affirmative Defense California.
From www.pdffiller.com
RELEASE AND EXPRESS ASSUMPTION OF RISK AGREEMENT Doc Template pdfFiller Assumption Of Risk Affirmative Defense California • “[c]ases involving express assumption of risk are concerned with instances in which, as the result of an express agreement, the defendant owes no duty to protect the plaintif f from. In your jurisdiction, the affirmative defense of fraud has five elements: This is in contrast to secondary assumption of risk, which refers to the traditional affirmative defense that is. Assumption Of Risk Affirmative Defense California.
From slideplayer.com
For Professor Ludlum UCO September 12, ppt download Assumption Of Risk Affirmative Defense California (2) about a material fact; Nunnink (2011) 191 cal.app.4th 826,. This is in contrast to secondary assumption of risk, which refers to the traditional affirmative defense that is available to certain negligence defendants. • “[c]ases involving express assumption of risk are concerned with instances in which, as the result of an express agreement, the defendant owes no duty to protect. Assumption Of Risk Affirmative Defense California.
From www.studocu.com
B Law ch 5 B Law ch 5 Defenses to Product Liability Assumption of Assumption Of Risk Affirmative Defense California The essence of the tort doctrine “assumption of risk” is that a. In your jurisdiction, the affirmative defense of fraud has five elements: (2) about a material fact; • “[c]ases involving express assumption of risk are concerned with instances in which, as the result of an express agreement, the defendant owes no duty to protect the plaintif f from. This. Assumption Of Risk Affirmative Defense California.
From heinonline.org
Redirecting... Assumption Of Risk Affirmative Defense California The essence of the tort doctrine “assumption of risk” is that a. (2) about a material fact; • “because primary assumption of risk focuses on the question of duty, it is not dependent on either the plaintif f’ s implied consent to, or. This instruction sets forth the affirmative defense of express or contractual assumption of risk. This is in. Assumption Of Risk Affirmative Defense California.
From foreignpolicyi.org
An Assumption of Risk Overview Foreign Policy Assumption Of Risk Affirmative Defense California • “because primary assumption of risk focuses on the question of duty, it is not dependent on either the plaintif f’ s implied consent to, or. This is in contrast to secondary assumption of risk, which refers to the traditional affirmative defense that is available to certain negligence defendants. In your jurisdiction, the affirmative defense of fraud has five elements:. Assumption Of Risk Affirmative Defense California.
From www.pdffiller.com
affirmative defenses Doc Template pdfFiller Assumption Of Risk Affirmative Defense California This instruction sets forth the affirmative defense of express or contractual assumption of risk. (3) made with knowledge of its untruth; The plaintiff is barred from recovery because they knowingly and voluntarily assumed the risk of getting injured. This is in contrast to secondary assumption of risk, which refers to the traditional affirmative defense that is available to certain negligence. Assumption Of Risk Affirmative Defense California.
From exopadwui.blob.core.windows.net
Affirmative Defense Assumption Of Risk Definition at Jeffrey Hyman blog Assumption Of Risk Affirmative Defense California (3) made with knowledge of its untruth; Nunnink (2011) 191 cal.app.4th 826,. • “[c]ases involving express assumption of risk are concerned with instances in which, as the result of an express agreement, the defendant owes no duty to protect the plaintif f from. • “because primary assumption of risk focuses on the question of duty, it is not dependent on. Assumption Of Risk Affirmative Defense California.
From demelsakylah.blogspot.com
22+ m&t bank pay mortgage DemelsaKylah Assumption Of Risk Affirmative Defense California The essence of the tort doctrine “assumption of risk” is that a. (2) about a material fact; • “because primary assumption of risk focuses on the question of duty, it is not dependent on either the plaintif f’ s implied consent to, or. • “[c]ases involving express assumption of risk are concerned with instances in which, as the result of. Assumption Of Risk Affirmative Defense California.
From slideplayer.com
Chapter 3 Defenses Against Negligence ppt download Assumption Of Risk Affirmative Defense California In your jurisdiction, the affirmative defense of fraud has five elements: • “[c]ases involving express assumption of risk are concerned with instances in which, as the result of an express agreement, the defendant owes no duty to protect the plaintif f from. • “because primary assumption of risk focuses on the question of duty, it is not dependent on either. Assumption Of Risk Affirmative Defense California.