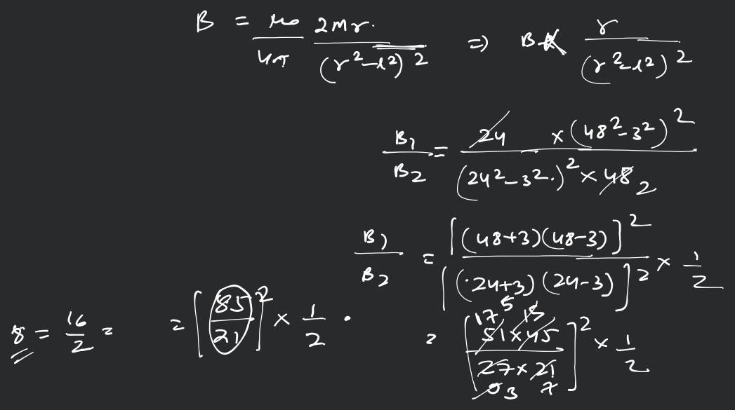
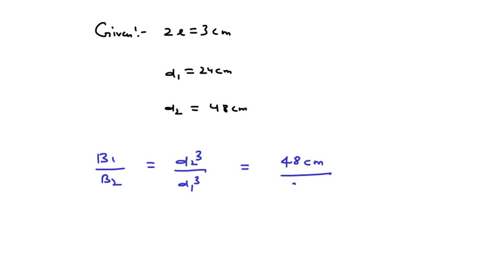
Bar Magnet Of Length 3 Cm . a short bar magnet is placed in the magnetic meridian of the earth with north pole pointing north. a bar magnet of length 3 cm has a point a and b along its axis at. Length of the bar magnet l = 3cm =3×10−2m. a bar magnet of length $3cm$ has points a and b along its axis at distances of $24cm$ and $48cm$ on the opposite sides. Neutral points are found at a. Area of bar magnet a =2cm2 =2×10−4m2. a bar magnet of length 3 cm has points a and b along its axis at distances. a bar magnet of length 3 cm has points a and b along its axis at distances of 24 cm and 48 cm from its centre on the opposite sides, the ratio of magnetic fields at the.
from www.toppr.com
a short bar magnet is placed in the magnetic meridian of the earth with north pole pointing north. a bar magnet of length 3 cm has points a and b along its axis at distances of 24 cm and 48 cm from its centre on the opposite sides, the ratio of magnetic fields at the. a bar magnet of length $3cm$ has points a and b along its axis at distances of $24cm$ and $48cm$ on the opposite sides. Area of bar magnet a =2cm2 =2×10−4m2. Neutral points are found at a. a bar magnet of length 3 cm has points a and b along its axis at distances. Length of the bar magnet l = 3cm =3×10−2m. a bar magnet of length 3 cm has a point a and b along its axis at.
A bar of length 3 cm has a point A and B along axis at a
Bar Magnet Of Length 3 Cm Length of the bar magnet l = 3cm =3×10−2m. Neutral points are found at a. a bar magnet of length 3 cm has points a and b along its axis at distances. a short bar magnet is placed in the magnetic meridian of the earth with north pole pointing north. a bar magnet of length 3 cm has a point a and b along its axis at. a bar magnet of length 3 cm has points a and b along its axis at distances of 24 cm and 48 cm from its centre on the opposite sides, the ratio of magnetic fields at the. a bar magnet of length $3cm$ has points a and b along its axis at distances of $24cm$ and $48cm$ on the opposite sides. Area of bar magnet a =2cm2 =2×10−4m2. Length of the bar magnet l = 3cm =3×10−2m.
From www.youtube.com
A bar of length ‘l’ and dipole moment ‘M’ is bent in Bar Magnet Of Length 3 Cm a bar magnet of length 3 cm has a point a and b along its axis at. Area of bar magnet a =2cm2 =2×10−4m2. Length of the bar magnet l = 3cm =3×10−2m. a bar magnet of length 3 cm has points a and b along its axis at distances. a bar magnet of length $3cm$ has. Bar Magnet Of Length 3 Cm.
From www.toppr.com
A bar of length 3 cm has a point A and B along axis a distance Bar Magnet Of Length 3 Cm a short bar magnet is placed in the magnetic meridian of the earth with north pole pointing north. Length of the bar magnet l = 3cm =3×10−2m. Area of bar magnet a =2cm2 =2×10−4m2. a bar magnet of length 3 cm has a point a and b along its axis at. a bar magnet of length 3. Bar Magnet Of Length 3 Cm.
From www.teachoo.com
Bar Definition, Properties, Uses Teachoo Concepts Bar Magnet Of Length 3 Cm a bar magnet of length $3cm$ has points a and b along its axis at distances of $24cm$ and $48cm$ on the opposite sides. Length of the bar magnet l = 3cm =3×10−2m. a bar magnet of length 3 cm has points a and b along its axis at distances of 24 cm and 48 cm from its. Bar Magnet Of Length 3 Cm.
From www.alamy.com
field of a bar showing interactions Stock Photo Alamy Bar Magnet Of Length 3 Cm Length of the bar magnet l = 3cm =3×10−2m. a short bar magnet is placed in the magnetic meridian of the earth with north pole pointing north. a bar magnet of length 3 cm has points a and b along its axis at distances. Area of bar magnet a =2cm2 =2×10−4m2. a bar magnet of length $3cm$. Bar Magnet Of Length 3 Cm.
From byjus.com
State two properties of bar Bar Magnet Of Length 3 Cm a bar magnet of length 3 cm has points a and b along its axis at distances. Area of bar magnet a =2cm2 =2×10−4m2. a bar magnet of length 3 cm has points a and b along its axis at distances of 24 cm and 48 cm from its centre on the opposite sides, the ratio of magnetic. Bar Magnet Of Length 3 Cm.
From www.toppr.com
1. A bar of length 3 cm has a point A and B along axis a Bar Magnet Of Length 3 Cm a short bar magnet is placed in the magnetic meridian of the earth with north pole pointing north. a bar magnet of length $3cm$ has points a and b along its axis at distances of $24cm$ and $48cm$ on the opposite sides. a bar magnet of length 3 cm has points a and b along its axis. Bar Magnet Of Length 3 Cm.
From www.toppr.com
Find the of a bar of length 10cm and cross Bar Magnet Of Length 3 Cm a bar magnet of length 3 cm has points a and b along its axis at distances of 24 cm and 48 cm from its centre on the opposite sides, the ratio of magnetic fields at the. Neutral points are found at a. a bar magnet of length $3cm$ has points a and b along its axis at. Bar Magnet Of Length 3 Cm.
From www.youtube.com
A thin \"bar\" of length `\'l\'` and moment `\'M\'` is Bar Magnet Of Length 3 Cm a bar magnet of length 3 cm has points a and b along its axis at distances. a bar magnet of length 3 cm has a point a and b along its axis at. a bar magnet of length $3cm$ has points a and b along its axis at distances of $24cm$ and $48cm$ on the opposite. Bar Magnet Of Length 3 Cm.
From www.youtube.com
A bar of length 3 cm has points A and B along its axis at Bar Magnet Of Length 3 Cm Length of the bar magnet l = 3cm =3×10−2m. a bar magnet of length $3cm$ has points a and b along its axis at distances of $24cm$ and $48cm$ on the opposite sides. a bar magnet of length 3 cm has points a and b along its axis at distances. a short bar magnet is placed in. Bar Magnet Of Length 3 Cm.
From www.doubtnut.com
A bar of length 3cm has points A and B along its axis at distan Bar Magnet Of Length 3 Cm a bar magnet of length 3 cm has a point a and b along its axis at. Neutral points are found at a. a short bar magnet is placed in the magnetic meridian of the earth with north pole pointing north. a bar magnet of length $3cm$ has points a and b along its axis at distances. Bar Magnet Of Length 3 Cm.
From askfilo.com
⋆ 5. A bar of length 3 cm and pole strength m is broken l.. Bar Magnet Of Length 3 Cm a bar magnet of length 3 cm has a point a and b along its axis at. Area of bar magnet a =2cm2 =2×10−4m2. Length of the bar magnet l = 3cm =3×10−2m. a bar magnet of length $3cm$ has points a and b along its axis at distances of $24cm$ and $48cm$ on the opposite sides. . Bar Magnet Of Length 3 Cm.
From www.youtube.com
A bar of length \( l \) and dipole moment \( \mathr Bar Magnet Of Length 3 Cm a bar magnet of length 3 cm has points a and b along its axis at distances of 24 cm and 48 cm from its centre on the opposite sides, the ratio of magnetic fields at the. Neutral points are found at a. Length of the bar magnet l = 3cm =3×10−2m. a bar magnet of length 3. Bar Magnet Of Length 3 Cm.
From www.doubtnut.com
A bar of length l and dipole moment M is bent in t Bar Magnet Of Length 3 Cm Area of bar magnet a =2cm2 =2×10−4m2. a bar magnet of length 3 cm has a point a and b along its axis at. Neutral points are found at a. a short bar magnet is placed in the magnetic meridian of the earth with north pole pointing north. a bar magnet of length $3cm$ has points a. Bar Magnet Of Length 3 Cm.
From www.toppr.com
(c) 20 Am (d) 8.0 Am 51.) A bar of length 3 cm has points A and Bar Magnet Of Length 3 Cm Length of the bar magnet l = 3cm =3×10−2m. Neutral points are found at a. Area of bar magnet a =2cm2 =2×10−4m2. a bar magnet of length $3cm$ has points a and b along its axis at distances of $24cm$ and $48cm$ on the opposite sides. a bar magnet of length 3 cm has points a and b. Bar Magnet Of Length 3 Cm.
From www.doubtnut.com
A bar of length l and dipole moment M is bent in t Bar Magnet Of Length 3 Cm a bar magnet of length 3 cm has points a and b along its axis at distances. a bar magnet of length 3 cm has a point a and b along its axis at. a bar magnet of length 3 cm has points a and b along its axis at distances of 24 cm and 48 cm. Bar Magnet Of Length 3 Cm.
From www.numerade.com
A bar of length 3 cm has a point A and B along axis at a Bar Magnet Of Length 3 Cm a short bar magnet is placed in the magnetic meridian of the earth with north pole pointing north. Length of the bar magnet l = 3cm =3×10−2m. a bar magnet of length 3 cm has a point a and b along its axis at. Neutral points are found at a. a bar magnet of length 3 cm. Bar Magnet Of Length 3 Cm.
From www.toppr.com
A bar of length 3 cm has a point A and B along axis at a Bar Magnet Of Length 3 Cm a short bar magnet is placed in the magnetic meridian of the earth with north pole pointing north. a bar magnet of length 3 cm has points a and b along its axis at distances of 24 cm and 48 cm from its centre on the opposite sides, the ratio of magnetic fields at the. a bar. Bar Magnet Of Length 3 Cm.
From www.toppr.com
A bar of length 10 cm and having pole strength equal to 10^1 Wb Bar Magnet Of Length 3 Cm a short bar magnet is placed in the magnetic meridian of the earth with north pole pointing north. Area of bar magnet a =2cm2 =2×10−4m2. a bar magnet of length 3 cm has points a and b along its axis at distances of 24 cm and 48 cm from its centre on the opposite sides, the ratio of. Bar Magnet Of Length 3 Cm.
From www.doubtnut.com
What is the magnitude of axial field due to a bar of length 3 c Bar Magnet Of Length 3 Cm Area of bar magnet a =2cm2 =2×10−4m2. Length of the bar magnet l = 3cm =3×10−2m. a bar magnet of length 3 cm has a point a and b along its axis at. a bar magnet of length 3 cm has points a and b along its axis at distances of 24 cm and 48 cm from its. Bar Magnet Of Length 3 Cm.
From questions-in.kunduz.com
154. f The moment of a bar of length... Physics Bar Magnet Of Length 3 Cm a bar magnet of length 3 cm has points a and b along its axis at distances of 24 cm and 48 cm from its centre on the opposite sides, the ratio of magnetic fields at the. a bar magnet of length $3cm$ has points a and b along its axis at distances of $24cm$ and $48cm$ on. Bar Magnet Of Length 3 Cm.
From www.toppr.com
A bar of length 3 cm has a point A and B along axis at a Bar Magnet Of Length 3 Cm a bar magnet of length $3cm$ has points a and b along its axis at distances of $24cm$ and $48cm$ on the opposite sides. a short bar magnet is placed in the magnetic meridian of the earth with north pole pointing north. Area of bar magnet a =2cm2 =2×10−4m2. a bar magnet of length 3 cm has. Bar Magnet Of Length 3 Cm.
From papercorner.lk
Bar Paper corner Bar Magnet Of Length 3 Cm a bar magnet of length 3 cm has a point a and b along its axis at. a bar magnet of length 3 cm has points a and b along its axis at distances. Neutral points are found at a. a short bar magnet is placed in the magnetic meridian of the earth with north pole pointing. Bar Magnet Of Length 3 Cm.
From www.toppr.com
(1) A 2 (3) 8 A bar of length 3 cm has points A and B along Bar Magnet Of Length 3 Cm Neutral points are found at a. a bar magnet of length $3cm$ has points a and b along its axis at distances of $24cm$ and $48cm$ on the opposite sides. a bar magnet of length 3 cm has a point a and b along its axis at. Area of bar magnet a =2cm2 =2×10−4m2. a bar magnet. Bar Magnet Of Length 3 Cm.
From www.toppr.com
A bar has length 3 cm , cross sectional area 2 cm^2 and Bar Magnet Of Length 3 Cm Neutral points are found at a. a bar magnet of length $3cm$ has points a and b along its axis at distances of $24cm$ and $48cm$ on the opposite sides. Area of bar magnet a =2cm2 =2×10−4m2. a short bar magnet is placed in the magnetic meridian of the earth with north pole pointing north. a bar. Bar Magnet Of Length 3 Cm.
From byjus.com
A bar of length 1cm and cross sectional area 1cm^2 produces a Bar Magnet Of Length 3 Cm a bar magnet of length $3cm$ has points a and b along its axis at distances of $24cm$ and $48cm$ on the opposite sides. a short bar magnet is placed in the magnetic meridian of the earth with north pole pointing north. Area of bar magnet a =2cm2 =2×10−4m2. a bar magnet of length 3 cm has. Bar Magnet Of Length 3 Cm.
From kunduz.com
[ANSWERED] A bar of length 3 cm has points A and B along its Bar Magnet Of Length 3 Cm Neutral points are found at a. Length of the bar magnet l = 3cm =3×10−2m. Area of bar magnet a =2cm2 =2×10−4m2. a bar magnet of length 3 cm has a point a and b along its axis at. a bar magnet of length $3cm$ has points a and b along its axis at distances of $24cm$ and. Bar Magnet Of Length 3 Cm.
From www.toppr.com
2000D DOLL 2. The geometric length of a bar is 24cm. The length Bar Magnet Of Length 3 Cm a bar magnet of length 3 cm has points a and b along its axis at distances. a short bar magnet is placed in the magnetic meridian of the earth with north pole pointing north. Length of the bar magnet l = 3cm =3×10−2m. a bar magnet of length 3 cm has a point a and b. Bar Magnet Of Length 3 Cm.
From www.toppr.com
A bar of length 10 cm and pole strength 2 Am makes an angle 60^o Bar Magnet Of Length 3 Cm Neutral points are found at a. a short bar magnet is placed in the magnetic meridian of the earth with north pole pointing north. Area of bar magnet a =2cm2 =2×10−4m2. a bar magnet of length 3 cm has a point a and b along its axis at. a bar magnet of length $3cm$ has points a. Bar Magnet Of Length 3 Cm.
From www.toppr.com
length of a bar is 10 cm. Geometric length of the Bar Magnet Of Length 3 Cm Area of bar magnet a =2cm2 =2×10−4m2. a short bar magnet is placed in the magnetic meridian of the earth with north pole pointing north. a bar magnet of length $3cm$ has points a and b along its axis at distances of $24cm$ and $48cm$ on the opposite sides. a bar magnet of length 3 cm has. Bar Magnet Of Length 3 Cm.
From www.toppr.com
A bar of length 3 cm has a point A and B along axis at a Bar Magnet Of Length 3 Cm a bar magnet of length $3cm$ has points a and b along its axis at distances of $24cm$ and $48cm$ on the opposite sides. a bar magnet of length 3 cm has points a and b along its axis at distances of 24 cm and 48 cm from its centre on the opposite sides, the ratio of magnetic. Bar Magnet Of Length 3 Cm.
From www.toppr.com
A bar has length 3 cm , cross sectional area 2 cm^2 and Bar Magnet Of Length 3 Cm a bar magnet of length 3 cm has points a and b along its axis at distances of 24 cm and 48 cm from its centre on the opposite sides, the ratio of magnetic fields at the. Length of the bar magnet l = 3cm =3×10−2m. Area of bar magnet a =2cm2 =2×10−4m2. a bar magnet of length. Bar Magnet Of Length 3 Cm.
From www.toppr.com
A bar of length 10 cm and having pole strength equal to 10^1 Wb Bar Magnet Of Length 3 Cm Area of bar magnet a =2cm2 =2×10−4m2. Neutral points are found at a. Length of the bar magnet l = 3cm =3×10−2m. a bar magnet of length 3 cm has points a and b along its axis at distances of 24 cm and 48 cm from its centre on the opposite sides, the ratio of magnetic fields at the.. Bar Magnet Of Length 3 Cm.
From askfilo.com
12 A bar of length 14 cm is placed in the meridian with i.. Bar Magnet Of Length 3 Cm a bar magnet of length $3cm$ has points a and b along its axis at distances of $24cm$ and $48cm$ on the opposite sides. a short bar magnet is placed in the magnetic meridian of the earth with north pole pointing north. a bar magnet of length 3 cm has points a and b along its axis. Bar Magnet Of Length 3 Cm.
From byjus.com
Whether the length of a bar is more than, equal to or less than Bar Magnet Of Length 3 Cm a short bar magnet is placed in the magnetic meridian of the earth with north pole pointing north. a bar magnet of length $3cm$ has points a and b along its axis at distances of $24cm$ and $48cm$ on the opposite sides. Neutral points are found at a. Area of bar magnet a =2cm2 =2×10−4m2. a bar. Bar Magnet Of Length 3 Cm.
From askfilo.com
A bar of length 3 cm has points A and B along its axis at distance.. Bar Magnet Of Length 3 Cm Area of bar magnet a =2cm2 =2×10−4m2. a bar magnet of length 3 cm has a point a and b along its axis at. Length of the bar magnet l = 3cm =3×10−2m. a bar magnet of length 3 cm has points a and b along its axis at distances of 24 cm and 48 cm from its. Bar Magnet Of Length 3 Cm.