Hts Code For Xray . Note that the first six. You can also use the service to: Use this service to find a commodity code for goods you’re importing to or exporting from the uk.
from exooikpdi.blob.core.windows.net
Note that the first six. Use this service to find a commodity code for goods you’re importing to or exporting from the uk. You can also use the service to:
Hs Tariff Code For X Ray Machine at Stanley Norman blog
Hts Code For Xray Use this service to find a commodity code for goods you’re importing to or exporting from the uk. Use this service to find a commodity code for goods you’re importing to or exporting from the uk. Note that the first six. You can also use the service to:
From www.shipsaving.com
HS and HTS Codes International Trade Classification Hts Code For Xray Use this service to find a commodity code for goods you’re importing to or exporting from the uk. Note that the first six. You can also use the service to: Hts Code For Xray.
From www.dnbcf.com
The Ultimate Guide To Understanding HTS Codes Hts Code For Xray You can also use the service to: Note that the first six. Use this service to find a commodity code for goods you’re importing to or exporting from the uk. Hts Code For Xray.
From exooikpdi.blob.core.windows.net
Hs Tariff Code For X Ray Machine at Stanley Norman blog Hts Code For Xray Note that the first six. You can also use the service to: Use this service to find a commodity code for goods you’re importing to or exporting from the uk. Hts Code For Xray.
From www.sino-shipping.com
5 Tips for Finding HTS Codes and Calculating Import Duty Hts Code For Xray Use this service to find a commodity code for goods you’re importing to or exporting from the uk. Note that the first six. You can also use the service to: Hts Code For Xray.
From www.scribd.com
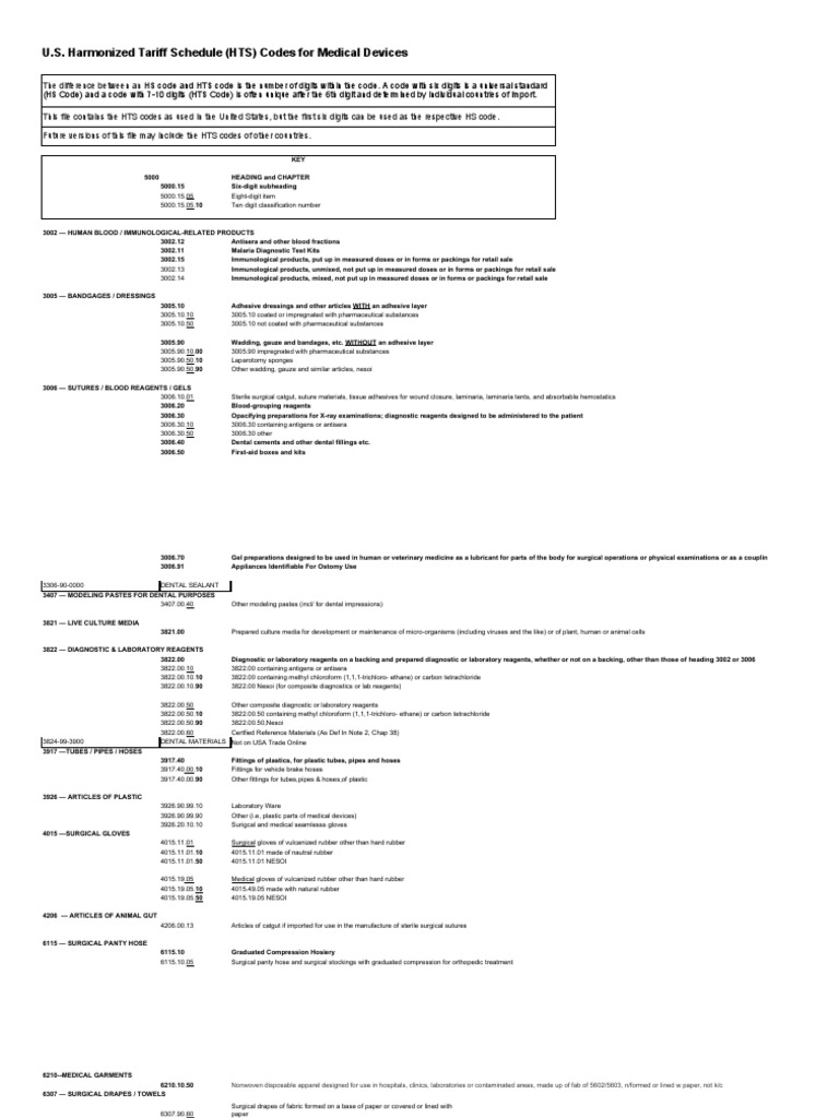
HTS Codes For Medical Devices PDF X Ray Screw Hts Code For Xray Use this service to find a commodity code for goods you’re importing to or exporting from the uk. Note that the first six. You can also use the service to: Hts Code For Xray.
From exooikpdi.blob.core.windows.net
Hs Tariff Code For X Ray Machine at Stanley Norman blog Hts Code For Xray You can also use the service to: Use this service to find a commodity code for goods you’re importing to or exporting from the uk. Note that the first six. Hts Code For Xray.
From www.ups.com
Importer’s Guide to HTS Codes UPS Supply Chain Solutions United States Hts Code For Xray Note that the first six. Use this service to find a commodity code for goods you’re importing to or exporting from the uk. You can also use the service to: Hts Code For Xray.
From www.etsy.com
Medical Coding Xray CPT Quick Reference Cheat Sheet Codes List Etsy Hts Code For Xray You can also use the service to: Note that the first six. Use this service to find a commodity code for goods you’re importing to or exporting from the uk. Hts Code For Xray.
From joivwdvda.blob.core.windows.net
Hs Code For Therapy Equipment at Jon Trotter blog Hts Code For Xray Note that the first six. Use this service to find a commodity code for goods you’re importing to or exporting from the uk. You can also use the service to: Hts Code For Xray.
From www.gbu-presnenskij.ru
HS Codes, HTS Codes And Schedule B Codes What's The, 43 OFF Hts Code For Xray Note that the first six. Use this service to find a commodity code for goods you’re importing to or exporting from the uk. You can also use the service to: Hts Code For Xray.
From www.slideshare.net
How to find hts code 2017 in usa? Hts Code For Xray You can also use the service to: Use this service to find a commodity code for goods you’re importing to or exporting from the uk. Note that the first six. Hts Code For Xray.
From yansourcing.com
HTS Code Lookup Made Simple The Ultimate Guide for Importers Hts Code For Xray You can also use the service to: Use this service to find a commodity code for goods you’re importing to or exporting from the uk. Note that the first six. Hts Code For Xray.
From levity.ai
A Beginner’s Guide to HS Code Automation With 2022 HS Code Updates Hts Code For Xray Use this service to find a commodity code for goods you’re importing to or exporting from the uk. You can also use the service to: Note that the first six. Hts Code For Xray.
From www.westpandi.com
Harmonized System Nomenclature for the Classification of Goods (HS Codes) Hts Code For Xray Use this service to find a commodity code for goods you’re importing to or exporting from the uk. Note that the first six. You can also use the service to: Hts Code For Xray.
From brunofuga.adv.br
Introduction To Customs Classification Part The Harmonized, 46 OFF Hts Code For Xray Use this service to find a commodity code for goods you’re importing to or exporting from the uk. You can also use the service to: Note that the first six. Hts Code For Xray.
From exooikpdi.blob.core.windows.net
Hs Tariff Code For X Ray Machine at Stanley Norman blog Hts Code For Xray You can also use the service to: Use this service to find a commodity code for goods you’re importing to or exporting from the uk. Note that the first six. Hts Code For Xray.
From www.bookairfreight.com
Harmonized System Code (HS Code) Bookairfreight Shipping Terms Glossary Hts Code For Xray You can also use the service to: Use this service to find a commodity code for goods you’re importing to or exporting from the uk. Note that the first six. Hts Code For Xray.
From brunofuga.adv.br
HS Codes, HTS Codes And Schedule B Codes What's The, 48 OFF Hts Code For Xray Use this service to find a commodity code for goods you’re importing to or exporting from the uk. You can also use the service to: Note that the first six. Hts Code For Xray.
From www.dtgruelle.com
Harmonized System Codes — DTGruelle Hts Code For Xray You can also use the service to: Note that the first six. Use this service to find a commodity code for goods you’re importing to or exporting from the uk. Hts Code For Xray.
From www.camelotcompany.com
HTS Classification Explanation The Camelot Company Hts Code For Xray Note that the first six. You can also use the service to: Use this service to find a commodity code for goods you’re importing to or exporting from the uk. Hts Code For Xray.
From www.shippingsolutions.com
HS Codes, HTS Codes and Schedule B Codes What's the Difference? Hts Code For Xray You can also use the service to: Use this service to find a commodity code for goods you’re importing to or exporting from the uk. Note that the first six. Hts Code For Xray.
From www.ups.com
Importer’s Guide to HTS Codes UPS Supply Chain Solutions United States Hts Code For Xray Note that the first six. You can also use the service to: Use this service to find a commodity code for goods you’re importing to or exporting from the uk. Hts Code For Xray.
From www.etsy.com
Medical Coding Xray CPT Quick Reference Cheat Sheet Codes List Etsy Hts Code For Xray Use this service to find a commodity code for goods you’re importing to or exporting from the uk. You can also use the service to: Note that the first six. Hts Code For Xray.
From www.freightmango.com
HTS Code All You Need to Know Hts Code For Xray You can also use the service to: Use this service to find a commodity code for goods you’re importing to or exporting from the uk. Note that the first six. Hts Code For Xray.
From www.container-xchange.com
HTS Codes Best Guide [+How to check your product's code] Hts Code For Xray Note that the first six. You can also use the service to: Use this service to find a commodity code for goods you’re importing to or exporting from the uk. Hts Code For Xray.
From gbu-presnenskij.ru
HTS Codes Everything You Need To Know (2023), 51 OFF Hts Code For Xray You can also use the service to: Use this service to find a commodity code for goods you’re importing to or exporting from the uk. Note that the first six. Hts Code For Xray.
From yansourcing.com
HTS Code Lookup Made Simple The Ultimate Guide for Importers Hts Code For Xray You can also use the service to: Use this service to find a commodity code for goods you’re importing to or exporting from the uk. Note that the first six. Hts Code For Xray.
From www.ups.com
Importer’s Guide to HTS Codes UPS Supply Chain Solutions United States Hts Code For Xray You can also use the service to: Note that the first six. Use this service to find a commodity code for goods you’re importing to or exporting from the uk. Hts Code For Xray.
From traderiskguaranty.com
5 Things to Know About the Harmonized Tariff Schedule HTS Code Hts Code For Xray You can also use the service to: Use this service to find a commodity code for goods you’re importing to or exporting from the uk. Note that the first six. Hts Code For Xray.
From hedvigqkamillah.pages.dev
Cpt Codes For X Rays 2024 Gusti Katrine Hts Code For Xray You can also use the service to: Note that the first six. Use this service to find a commodity code for goods you’re importing to or exporting from the uk. Hts Code For Xray.
From joilcpxoa.blob.core.windows.net
Hs Code For Machine Sample at Cara Mitchell blog Hts Code For Xray You can also use the service to: Use this service to find a commodity code for goods you’re importing to or exporting from the uk. Note that the first six. Hts Code For Xray.
From klagvfrdz.blob.core.windows.net
Hts Code For Spare Parts at Horace Kirkpatrick blog Hts Code For Xray Use this service to find a commodity code for goods you’re importing to or exporting from the uk. You can also use the service to: Note that the first six. Hts Code For Xray.
From exooikpdi.blob.core.windows.net
Hs Tariff Code For X Ray Machine at Stanley Norman blog Hts Code For Xray Note that the first six. You can also use the service to: Use this service to find a commodity code for goods you’re importing to or exporting from the uk. Hts Code For Xray.
From www.container-xchange.com
HTS Codes Best Guide [+How to check your product's code] Hts Code For Xray You can also use the service to: Note that the first six. Use this service to find a commodity code for goods you’re importing to or exporting from the uk. Hts Code For Xray.
From exooikpdi.blob.core.windows.net
Hs Tariff Code For X Ray Machine at Stanley Norman blog Hts Code For Xray You can also use the service to: Note that the first six. Use this service to find a commodity code for goods you’re importing to or exporting from the uk. Hts Code For Xray.