Phenol And Formaldehyde Meaning . We abbreviate the phenol formaldehyde resin as pf. Phenol or a mixture of phenols and formaldehyde using an. Phenol formaldehyde resin (plastic) was the first commercial polymers used in the 20th century. Phenol formaldehyde resin is a synthetic resin formed by the reaction of phenol and formaldehyde. Phenol (also known as carbolic acid, phenolic acid, or benzenol) is an aromatic organic compound with the molecular formula c 6 h 5 oh. It is a thermosetting resin, meaning that it is. [5] it is a white crystalline solid that is volatile. Phenolic resin, commonly known as phenolic formaldehyde resin (pf) or phenoplast, is a synthetic resin that is made by polymerizing phenol.
from pubs.acs.org
Phenol (also known as carbolic acid, phenolic acid, or benzenol) is an aromatic organic compound with the molecular formula c 6 h 5 oh. It is a thermosetting resin, meaning that it is. We abbreviate the phenol formaldehyde resin as pf. Phenolic resin, commonly known as phenolic formaldehyde resin (pf) or phenoplast, is a synthetic resin that is made by polymerizing phenol. Phenol formaldehyde resin (plastic) was the first commercial polymers used in the 20th century. Phenol formaldehyde resin is a synthetic resin formed by the reaction of phenol and formaldehyde. Phenol or a mixture of phenols and formaldehyde using an. [5] it is a white crystalline solid that is volatile.
FormaldehydeFree and PhenolFree Nontoxic Phenolic Resins with High
Phenol And Formaldehyde Meaning Phenol (also known as carbolic acid, phenolic acid, or benzenol) is an aromatic organic compound with the molecular formula c 6 h 5 oh. It is a thermosetting resin, meaning that it is. Phenolic resin, commonly known as phenolic formaldehyde resin (pf) or phenoplast, is a synthetic resin that is made by polymerizing phenol. [5] it is a white crystalline solid that is volatile. Phenol formaldehyde resin (plastic) was the first commercial polymers used in the 20th century. Phenol (also known as carbolic acid, phenolic acid, or benzenol) is an aromatic organic compound with the molecular formula c 6 h 5 oh. We abbreviate the phenol formaldehyde resin as pf. Phenol or a mixture of phenols and formaldehyde using an. Phenol formaldehyde resin is a synthetic resin formed by the reaction of phenol and formaldehyde.
From www.entrepreneurindia.co
Most Profitable Manufacturing Business of Phenolic Formaldehyde Resin Phenol And Formaldehyde Meaning It is a thermosetting resin, meaning that it is. Phenol or a mixture of phenols and formaldehyde using an. Phenol (also known as carbolic acid, phenolic acid, or benzenol) is an aromatic organic compound with the molecular formula c 6 h 5 oh. We abbreviate the phenol formaldehyde resin as pf. Phenolic resin, commonly known as phenolic formaldehyde resin (pf). Phenol And Formaldehyde Meaning.
From www.toppr.com
Preparation of ba of bakelite (or formaldehyde phenol) polymer mers Phenol And Formaldehyde Meaning Phenol formaldehyde resin (plastic) was the first commercial polymers used in the 20th century. Phenolic resin, commonly known as phenolic formaldehyde resin (pf) or phenoplast, is a synthetic resin that is made by polymerizing phenol. Phenol or a mixture of phenols and formaldehyde using an. It is a thermosetting resin, meaning that it is. Phenol formaldehyde resin is a synthetic. Phenol And Formaldehyde Meaning.
From learn.careers360.com
Phenol and formaldehyde undergo condensation to give a polymer The Phenol And Formaldehyde Meaning Phenolic resin, commonly known as phenolic formaldehyde resin (pf) or phenoplast, is a synthetic resin that is made by polymerizing phenol. We abbreviate the phenol formaldehyde resin as pf. [5] it is a white crystalline solid that is volatile. Phenol (also known as carbolic acid, phenolic acid, or benzenol) is an aromatic organic compound with the molecular formula c 6. Phenol And Formaldehyde Meaning.
From www.plyinsight.com
Phenol Formaldehyde PLY INSIGHT Phenol And Formaldehyde Meaning Phenol formaldehyde resin is a synthetic resin formed by the reaction of phenol and formaldehyde. Phenol formaldehyde resin (plastic) was the first commercial polymers used in the 20th century. Phenol or a mixture of phenols and formaldehyde using an. We abbreviate the phenol formaldehyde resin as pf. It is a thermosetting resin, meaning that it is. Phenolic resin, commonly known. Phenol And Formaldehyde Meaning.
From pediaa.com
Difference Between Formalin and Formaldehyde Phenol And Formaldehyde Meaning Phenolic resin, commonly known as phenolic formaldehyde resin (pf) or phenoplast, is a synthetic resin that is made by polymerizing phenol. Phenol formaldehyde resin (plastic) was the first commercial polymers used in the 20th century. [5] it is a white crystalline solid that is volatile. Phenol or a mixture of phenols and formaldehyde using an. Phenol formaldehyde resin is a. Phenol And Formaldehyde Meaning.
From loeshrroq.blob.core.windows.net
Phenol Formaldehyde Resin Thermal Properties at Allison Eubank blog Phenol And Formaldehyde Meaning It is a thermosetting resin, meaning that it is. Phenol or a mixture of phenols and formaldehyde using an. Phenol (also known as carbolic acid, phenolic acid, or benzenol) is an aromatic organic compound with the molecular formula c 6 h 5 oh. Phenol formaldehyde resin (plastic) was the first commercial polymers used in the 20th century. Phenol formaldehyde resin. Phenol And Formaldehyde Meaning.
From www.numerade.com
SOLVEDOne of the earliest commercial plastics was Bakelite { }^{\theta Phenol And Formaldehyde Meaning [5] it is a white crystalline solid that is volatile. Phenol (also known as carbolic acid, phenolic acid, or benzenol) is an aromatic organic compound with the molecular formula c 6 h 5 oh. Phenol or a mixture of phenols and formaldehyde using an. Phenolic resin, commonly known as phenolic formaldehyde resin (pf) or phenoplast, is a synthetic resin that. Phenol And Formaldehyde Meaning.
From askmeplastics.com
Phenolformaldehyde general properties [2020] Phenol And Formaldehyde Meaning [5] it is a white crystalline solid that is volatile. Phenolic resin, commonly known as phenolic formaldehyde resin (pf) or phenoplast, is a synthetic resin that is made by polymerizing phenol. Phenol formaldehyde resin is a synthetic resin formed by the reaction of phenol and formaldehyde. Phenol or a mixture of phenols and formaldehyde using an. We abbreviate the phenol. Phenol And Formaldehyde Meaning.
From www.youtube.com
Phenol formaldehyde resin YouTube Phenol And Formaldehyde Meaning [5] it is a white crystalline solid that is volatile. Phenol formaldehyde resin (plastic) was the first commercial polymers used in the 20th century. Phenolic resin, commonly known as phenolic formaldehyde resin (pf) or phenoplast, is a synthetic resin that is made by polymerizing phenol. It is a thermosetting resin, meaning that it is. Phenol formaldehyde resin is a synthetic. Phenol And Formaldehyde Meaning.
From www.mdpi.com
Polymers Free FullText A Novel Approach to Atomistic Molecular Phenol And Formaldehyde Meaning We abbreviate the phenol formaldehyde resin as pf. [5] it is a white crystalline solid that is volatile. Phenol formaldehyde resin is a synthetic resin formed by the reaction of phenol and formaldehyde. Phenol or a mixture of phenols and formaldehyde using an. It is a thermosetting resin, meaning that it is. Phenol (also known as carbolic acid, phenolic acid,. Phenol And Formaldehyde Meaning.
From pubs.acs.org
FormaldehydeFree and PhenolFree Nontoxic Phenolic Resins with High Phenol And Formaldehyde Meaning Phenol formaldehyde resin is a synthetic resin formed by the reaction of phenol and formaldehyde. We abbreviate the phenol formaldehyde resin as pf. Phenol or a mixture of phenols and formaldehyde using an. It is a thermosetting resin, meaning that it is. Phenol (also known as carbolic acid, phenolic acid, or benzenol) is an aromatic organic compound with the molecular. Phenol And Formaldehyde Meaning.
From askmeplastics.com
PhenolFormaldehyde Physical & Chemical properties detailed guide.[2024] Phenol And Formaldehyde Meaning [5] it is a white crystalline solid that is volatile. Phenolic resin, commonly known as phenolic formaldehyde resin (pf) or phenoplast, is a synthetic resin that is made by polymerizing phenol. Phenol formaldehyde resin (plastic) was the first commercial polymers used in the 20th century. It is a thermosetting resin, meaning that it is. Phenol (also known as carbolic acid,. Phenol And Formaldehyde Meaning.
From www.mdpi.com
Rheological Study of Phenol Formaldehyde Resole Resin Synthesized for Phenol And Formaldehyde Meaning It is a thermosetting resin, meaning that it is. Phenol (also known as carbolic acid, phenolic acid, or benzenol) is an aromatic organic compound with the molecular formula c 6 h 5 oh. Phenolic resin, commonly known as phenolic formaldehyde resin (pf) or phenoplast, is a synthetic resin that is made by polymerizing phenol. Phenol formaldehyde resin (plastic) was the. Phenol And Formaldehyde Meaning.
From www.indiamart.com
Phenol Formaldehyde Resins at Rs 140/kg Phenol formaldehyde resins Phenol And Formaldehyde Meaning Phenol formaldehyde resin is a synthetic resin formed by the reaction of phenol and formaldehyde. Phenol (also known as carbolic acid, phenolic acid, or benzenol) is an aromatic organic compound with the molecular formula c 6 h 5 oh. [5] it is a white crystalline solid that is volatile. Phenol or a mixture of phenols and formaldehyde using an. We. Phenol And Formaldehyde Meaning.
From askmeplastics.com
Phenolformaldehyde Preparation detailed guide [2022] Phenol And Formaldehyde Meaning Phenol formaldehyde resin is a synthetic resin formed by the reaction of phenol and formaldehyde. Phenol (also known as carbolic acid, phenolic acid, or benzenol) is an aromatic organic compound with the molecular formula c 6 h 5 oh. Phenolic resin, commonly known as phenolic formaldehyde resin (pf) or phenoplast, is a synthetic resin that is made by polymerizing phenol.. Phenol And Formaldehyde Meaning.
From ar.inspiredpencil.com
Formaldehyde Uses Phenol And Formaldehyde Meaning Phenolic resin, commonly known as phenolic formaldehyde resin (pf) or phenoplast, is a synthetic resin that is made by polymerizing phenol. Phenol (also known as carbolic acid, phenolic acid, or benzenol) is an aromatic organic compound with the molecular formula c 6 h 5 oh. Phenol formaldehyde resin (plastic) was the first commercial polymers used in the 20th century. Phenol. Phenol And Formaldehyde Meaning.
From www.vedantu.com
Novolac isA.linear condensation product of phenol and formaldehydeB Phenol And Formaldehyde Meaning Phenol formaldehyde resin is a synthetic resin formed by the reaction of phenol and formaldehyde. Phenol formaldehyde resin (plastic) was the first commercial polymers used in the 20th century. It is a thermosetting resin, meaning that it is. Phenol or a mixture of phenols and formaldehyde using an. We abbreviate the phenol formaldehyde resin as pf. Phenolic resin, commonly known. Phenol And Formaldehyde Meaning.
From www.indiamart.com
Phenol Formaldehyde Resins, For Industrial, Packaging Size 15 kg Bag Phenol And Formaldehyde Meaning Phenol (also known as carbolic acid, phenolic acid, or benzenol) is an aromatic organic compound with the molecular formula c 6 h 5 oh. Phenol formaldehyde resin is a synthetic resin formed by the reaction of phenol and formaldehyde. [5] it is a white crystalline solid that is volatile. We abbreviate the phenol formaldehyde resin as pf. It is a. Phenol And Formaldehyde Meaning.
From pubs.acs.org
Versatile Method To Reduce the Free Formaldehyde Content in Phenolic Phenol And Formaldehyde Meaning It is a thermosetting resin, meaning that it is. Phenol or a mixture of phenols and formaldehyde using an. We abbreviate the phenol formaldehyde resin as pf. Phenol formaldehyde resin is a synthetic resin formed by the reaction of phenol and formaldehyde. Phenolic resin, commonly known as phenolic formaldehyde resin (pf) or phenoplast, is a synthetic resin that is made. Phenol And Formaldehyde Meaning.
From www.priyamstudycentre.com
Phenol Structure, Properties, Uses Phenol And Formaldehyde Meaning Phenol formaldehyde resin is a synthetic resin formed by the reaction of phenol and formaldehyde. Phenol (also known as carbolic acid, phenolic acid, or benzenol) is an aromatic organic compound with the molecular formula c 6 h 5 oh. Phenol formaldehyde resin (plastic) was the first commercial polymers used in the 20th century. [5] it is a white crystalline solid. Phenol And Formaldehyde Meaning.
From www.mdpi.com
Molecules Free FullText FormaldehydeFree Resins for the Wood Phenol And Formaldehyde Meaning Phenol (also known as carbolic acid, phenolic acid, or benzenol) is an aromatic organic compound with the molecular formula c 6 h 5 oh. [5] it is a white crystalline solid that is volatile. Phenol or a mixture of phenols and formaldehyde using an. Phenol formaldehyde resin is a synthetic resin formed by the reaction of phenol and formaldehyde. Phenol. Phenol And Formaldehyde Meaning.
From www.mdpi.com
Polymers Free FullText BioBased Alternatives to Phenol and Phenol And Formaldehyde Meaning [5] it is a white crystalline solid that is volatile. We abbreviate the phenol formaldehyde resin as pf. Phenol formaldehyde resin is a synthetic resin formed by the reaction of phenol and formaldehyde. Phenolic resin, commonly known as phenolic formaldehyde resin (pf) or phenoplast, is a synthetic resin that is made by polymerizing phenol. Phenol (also known as carbolic acid,. Phenol And Formaldehyde Meaning.
From www.mdpi.com
Polymers Free FullText What about Phenol Formaldehyde (PF) Foam in Phenol And Formaldehyde Meaning Phenol (also known as carbolic acid, phenolic acid, or benzenol) is an aromatic organic compound with the molecular formula c 6 h 5 oh. Phenol formaldehyde resin (plastic) was the first commercial polymers used in the 20th century. We abbreviate the phenol formaldehyde resin as pf. Phenol formaldehyde resin is a synthetic resin formed by the reaction of phenol and. Phenol And Formaldehyde Meaning.
From www.researchgate.net
Comparative study for the synthesis of phenolformaldehyde resin Phenol And Formaldehyde Meaning Phenol (also known as carbolic acid, phenolic acid, or benzenol) is an aromatic organic compound with the molecular formula c 6 h 5 oh. [5] it is a white crystalline solid that is volatile. Phenolic resin, commonly known as phenolic formaldehyde resin (pf) or phenoplast, is a synthetic resin that is made by polymerizing phenol. We abbreviate the phenol formaldehyde. Phenol And Formaldehyde Meaning.
From www.mdpi.com
Polymers Free FullText Theoretical Confirmation of the Quinone Phenol And Formaldehyde Meaning Phenol (also known as carbolic acid, phenolic acid, or benzenol) is an aromatic organic compound with the molecular formula c 6 h 5 oh. [5] it is a white crystalline solid that is volatile. Phenol formaldehyde resin is a synthetic resin formed by the reaction of phenol and formaldehyde. Phenol formaldehyde resin (plastic) was the first commercial polymers used in. Phenol And Formaldehyde Meaning.
From www.scribd.com
Exp 3 Phenol Formaldehyde PDF Formaldehyde Breathing Phenol And Formaldehyde Meaning Phenol formaldehyde resin (plastic) was the first commercial polymers used in the 20th century. It is a thermosetting resin, meaning that it is. Phenol formaldehyde resin is a synthetic resin formed by the reaction of phenol and formaldehyde. Phenolic resin, commonly known as phenolic formaldehyde resin (pf) or phenoplast, is a synthetic resin that is made by polymerizing phenol. We. Phenol And Formaldehyde Meaning.
From www.indiamart.com
Yellow Crystal PHENOLFORMALDEHYDE RESIN (BAKELITE), Packaging Size Phenol And Formaldehyde Meaning Phenol (also known as carbolic acid, phenolic acid, or benzenol) is an aromatic organic compound with the molecular formula c 6 h 5 oh. It is a thermosetting resin, meaning that it is. Phenol formaldehyde resin (plastic) was the first commercial polymers used in the 20th century. [5] it is a white crystalline solid that is volatile. Phenol or a. Phenol And Formaldehyde Meaning.
From www.researchgate.net
The chemical structure of a fully cured phenolformaldehyde resin Phenol And Formaldehyde Meaning We abbreviate the phenol formaldehyde resin as pf. It is a thermosetting resin, meaning that it is. Phenol formaldehyde resin is a synthetic resin formed by the reaction of phenol and formaldehyde. Phenol (also known as carbolic acid, phenolic acid, or benzenol) is an aromatic organic compound with the molecular formula c 6 h 5 oh. [5] it is a. Phenol And Formaldehyde Meaning.
From collegedunia.com
Nomenclature of Alcohols Phenols and Ethers Rules and Examples Phenol And Formaldehyde Meaning We abbreviate the phenol formaldehyde resin as pf. Phenol or a mixture of phenols and formaldehyde using an. It is a thermosetting resin, meaning that it is. [5] it is a white crystalline solid that is volatile. Phenol formaldehyde resin (plastic) was the first commercial polymers used in the 20th century. Phenol (also known as carbolic acid, phenolic acid, or. Phenol And Formaldehyde Meaning.
From www.researchgate.net
Schematic chemical reactions of cellwall polymers and phenol Phenol And Formaldehyde Meaning Phenol or a mixture of phenols and formaldehyde using an. [5] it is a white crystalline solid that is volatile. Phenol (also known as carbolic acid, phenolic acid, or benzenol) is an aromatic organic compound with the molecular formula c 6 h 5 oh. Phenol formaldehyde resin is a synthetic resin formed by the reaction of phenol and formaldehyde. We. Phenol And Formaldehyde Meaning.
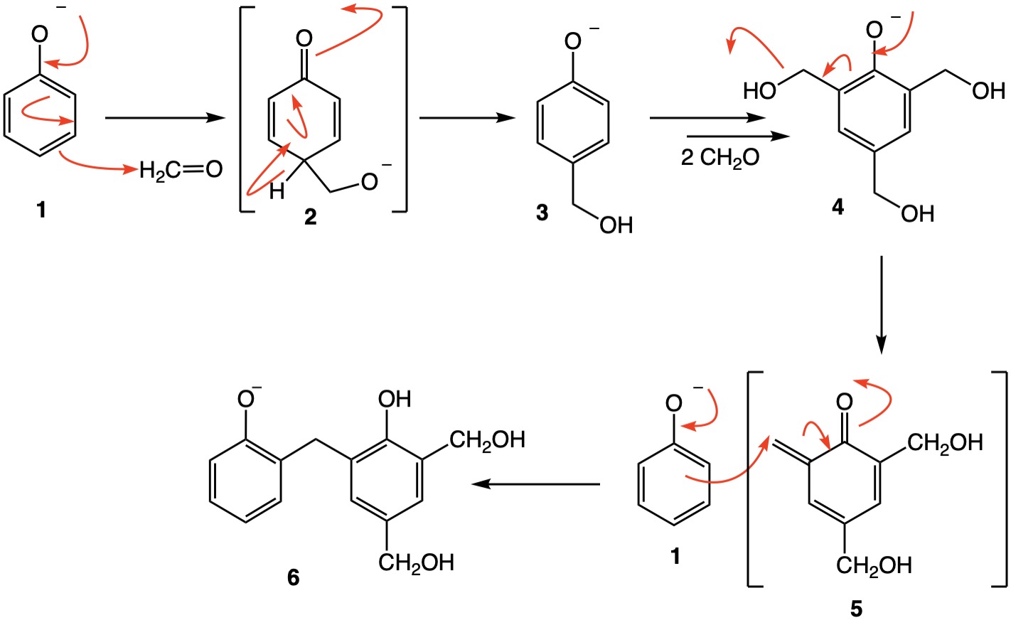
From chemistry.stackexchange.com
organic chemistry Mechanism of formaldehyde / phenol condensation Phenol And Formaldehyde Meaning Phenol formaldehyde resin is a synthetic resin formed by the reaction of phenol and formaldehyde. [5] it is a white crystalline solid that is volatile. It is a thermosetting resin, meaning that it is. Phenolic resin, commonly known as phenolic formaldehyde resin (pf) or phenoplast, is a synthetic resin that is made by polymerizing phenol. Phenol (also known as carbolic. Phenol And Formaldehyde Meaning.
From ceebaxui.blob.core.windows.net
Phenolic Meaning Chemistry at Harold Clay blog Phenol And Formaldehyde Meaning [5] it is a white crystalline solid that is volatile. Phenol or a mixture of phenols and formaldehyde using an. Phenol formaldehyde resin is a synthetic resin formed by the reaction of phenol and formaldehyde. It is a thermosetting resin, meaning that it is. Phenol (also known as carbolic acid, phenolic acid, or benzenol) is an aromatic organic compound with. Phenol And Formaldehyde Meaning.
From www.doubtnut.com
Phenol and formaldehyde undergo condensation to give a polymar A w Phenol And Formaldehyde Meaning [5] it is a white crystalline solid that is volatile. Phenol or a mixture of phenols and formaldehyde using an. Phenol formaldehyde resin (plastic) was the first commercial polymers used in the 20th century. Phenolic resin, commonly known as phenolic formaldehyde resin (pf) or phenoplast, is a synthetic resin that is made by polymerizing phenol. It is a thermosetting resin,. Phenol And Formaldehyde Meaning.
From www.studypool.com
SOLUTION Phenol formaldehyde resin ureaformaldehyde and melamine Phenol And Formaldehyde Meaning It is a thermosetting resin, meaning that it is. Phenol or a mixture of phenols and formaldehyde using an. [5] it is a white crystalline solid that is volatile. Phenol (also known as carbolic acid, phenolic acid, or benzenol) is an aromatic organic compound with the molecular formula c 6 h 5 oh. We abbreviate the phenol formaldehyde resin as. Phenol And Formaldehyde Meaning.
From www.studypool.com
SOLUTION Phenol formaldehyde resin ureaformaldehyde and melamine Phenol And Formaldehyde Meaning [5] it is a white crystalline solid that is volatile. Phenol formaldehyde resin is a synthetic resin formed by the reaction of phenol and formaldehyde. It is a thermosetting resin, meaning that it is. Phenol formaldehyde resin (plastic) was the first commercial polymers used in the 20th century. We abbreviate the phenol formaldehyde resin as pf. Phenolic resin, commonly known. Phenol And Formaldehyde Meaning.