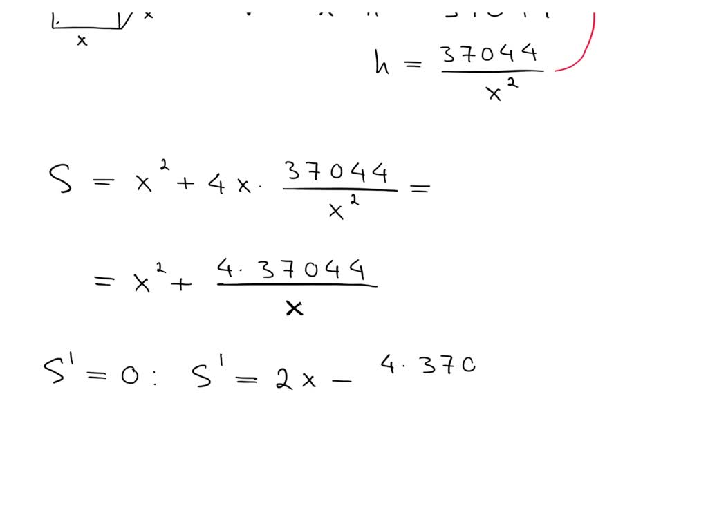
Rectangular Tank With A Square Base . A denotes the surface area of the tank. A rectangular tank with a square base, an open top, and a volume of 256 ft cubed is to be constructed of sheet steel. A rectangular tank with a square base, an open top, and a volume of 256 ft 3 is to be constructed of sheet steel. Find the dimensions of the tank that. If building of tank costs rs 70 per sq. Misc 6 a tank with rectangular base and rectangular sides, open at the top is to be constructed so that its depth is 2 m and volume is 8 m3. The formula of volume of the rectangular tank is given as, v = l × b × h where l is the length of the base, b is the breadth of the base, h is the height of the tank and v is the volume of the rectangular. A tank with rectangular base and rectangular sides open at the top is to be constructed so that its depth is 3 m and volume is. Meters for the base and rs 45 per square meter for sides. Let, s denotes the side of the square base. H denotes the height of the tank. This calculator uses inches for measurements. A rectangular tank with a square base, open top, and a volume of 2,048 cubic units is to be constructed of sheet steel. Calculate the volume, capacity, and the surface area of a rectangle shaped tank. Find the dimensions of the tank that.
from www.chegg.com
Meters for the base and rs 45 per square meter for sides. The formula of volume of the rectangular tank is given as, v = l × b × h where l is the length of the base, b is the breadth of the base, h is the height of the tank and v is the volume of the rectangular. Let, s denotes the side of the square base. If building of tank costs rs 70 per sq. Find the dimensions of the tank that. Find the dimensions of the tank that. Calculate the volume, capacity, and the surface area of a rectangle shaped tank. This calculator uses inches for measurements. A rectangular tank with a square base, open top, and a volume of 2,048 cubic units is to be constructed of sheet steel. A tank with rectangular base and rectangular sides open at the top is to be constructed so that its depth is 3 m and volume is.
Solved A rectangular tank with a square base, an open top,
Rectangular Tank With A Square Base H denotes the height of the tank. Calculate the volume, capacity, and the surface area of a rectangle shaped tank. A rectangular tank with a square base, an open top, and a volume of 256 ft 3 is to be constructed of sheet steel. The formula of volume of the rectangular tank is given as, v = l × b × h where l is the length of the base, b is the breadth of the base, h is the height of the tank and v is the volume of the rectangular. A denotes the surface area of the tank. A rectangular tank with a square base, an open top, and a volume of 256 ft cubed is to be constructed of sheet steel. A rectangular tank with a square base, open top, and a volume of 2,048 cubic units is to be constructed of sheet steel. Find the dimensions of the tank that. Find the dimensions of the tank that. Let, s denotes the side of the square base. Meters for the base and rs 45 per square meter for sides. If building of tank costs rs 70 per sq. H denotes the height of the tank. This calculator uses inches for measurements. A tank with rectangular base and rectangular sides open at the top is to be constructed so that its depth is 3 m and volume is. Misc 6 a tank with rectangular base and rectangular sides, open at the top is to be constructed so that its depth is 2 m and volume is 8 m3.
From www.numerade.com
SOLVED The diagram shows a rectangular tank with a square base. Given Rectangular Tank With A Square Base Meters for the base and rs 45 per square meter for sides. Calculate the volume, capacity, and the surface area of a rectangle shaped tank. A rectangular tank with a square base, an open top, and a volume of 256 ft cubed is to be constructed of sheet steel. This calculator uses inches for measurements. Misc 6 a tank with. Rectangular Tank With A Square Base.
From www.chegg.com
Solved A rectangular tank with a square base, an open top, Rectangular Tank With A Square Base A denotes the surface area of the tank. A rectangular tank with a square base, open top, and a volume of 2,048 cubic units is to be constructed of sheet steel. Misc 6 a tank with rectangular base and rectangular sides, open at the top is to be constructed so that its depth is 2 m and volume is 8. Rectangular Tank With A Square Base.
From www.chegg.com
Solved C A rectangular tank with a square base of 2 meters Rectangular Tank With A Square Base Find the dimensions of the tank that. This calculator uses inches for measurements. Find the dimensions of the tank that. H denotes the height of the tank. If building of tank costs rs 70 per sq. Meters for the base and rs 45 per square meter for sides. A tank with rectangular base and rectangular sides open at the top. Rectangular Tank With A Square Base.
From hydrocomposites.com
97 gal. Rectangular Fiberglass Tank Hydro Composites, LLC Rectangular Tank With A Square Base Misc 6 a tank with rectangular base and rectangular sides, open at the top is to be constructed so that its depth is 2 m and volume is 8 m3. If building of tank costs rs 70 per sq. H denotes the height of the tank. A rectangular tank with a square base, an open top, and a volume of. Rectangular Tank With A Square Base.
From www.chegg.com
Solved A rectangular tank with a square base, an open top, Rectangular Tank With A Square Base A rectangular tank with a square base, open top, and a volume of 2,048 cubic units is to be constructed of sheet steel. Calculate the volume, capacity, and the surface area of a rectangle shaped tank. A rectangular tank with a square base, an open top, and a volume of 256 ft 3 is to be constructed of sheet steel.. Rectangular Tank With A Square Base.
From www.youtube.com
A rectangular tank with a square base YouTube Rectangular Tank With A Square Base Calculate the volume, capacity, and the surface area of a rectangle shaped tank. H denotes the height of the tank. Let, s denotes the side of the square base. The formula of volume of the rectangular tank is given as, v = l × b × h where l is the length of the base, b is the breadth of. Rectangular Tank With A Square Base.
From www.numerade.com
SOLVED A rectangular tank with a square base, an open top, and a Rectangular Tank With A Square Base Find the dimensions of the tank that. A rectangular tank with a square base, an open top, and a volume of 256 ft 3 is to be constructed of sheet steel. Calculate the volume, capacity, and the surface area of a rectangle shaped tank. A denotes the surface area of the tank. This calculator uses inches for measurements. A tank. Rectangular Tank With A Square Base.
From halltank.com
UL142 Single Wall Rectangular Tank Hall Tank Rectangular Tank With A Square Base Misc 6 a tank with rectangular base and rectangular sides, open at the top is to be constructed so that its depth is 2 m and volume is 8 m3. A rectangular tank with a square base, an open top, and a volume of 256 ft cubed is to be constructed of sheet steel. This calculator uses inches for measurements.. Rectangular Tank With A Square Base.
From www.numerade.com
SOLVED A rectangular tank with a square base, an open top, and a Rectangular Tank With A Square Base A rectangular tank with a square base, an open top, and a volume of 256 ft 3 is to be constructed of sheet steel. Meters for the base and rs 45 per square meter for sides. A denotes the surface area of the tank. Find the dimensions of the tank that. Let, s denotes the side of the square base.. Rectangular Tank With A Square Base.
From paneltanks.com
Steel Panel Water Storage Tanks Water Tank Installation Alstore Rectangular Tank With A Square Base Let, s denotes the side of the square base. A denotes the surface area of the tank. A rectangular tank with a square base, open top, and a volume of 2,048 cubic units is to be constructed of sheet steel. The formula of volume of the rectangular tank is given as, v = l × b × h where l. Rectangular Tank With A Square Base.
From www.chegg.com
Solved A rectangular tank with a square base, an open top, Rectangular Tank With A Square Base Calculate the volume, capacity, and the surface area of a rectangle shaped tank. H denotes the height of the tank. A tank with rectangular base and rectangular sides open at the top is to be constructed so that its depth is 3 m and volume is. A rectangular tank with a square base, open top, and a volume of 2,048. Rectangular Tank With A Square Base.
From www.gauthmath.com
Solved The figure below shows an empty rectangular tank with a square Rectangular Tank With A Square Base Find the dimensions of the tank that. Meters for the base and rs 45 per square meter for sides. This calculator uses inches for measurements. A tank with rectangular base and rectangular sides open at the top is to be constructed so that its depth is 3 m and volume is. Misc 6 a tank with rectangular base and rectangular. Rectangular Tank With A Square Base.
From www.gauthmath.com
Solved (10) A rectangular tank with a square base, an open top, and a Rectangular Tank With A Square Base A rectangular tank with a square base, an open top, and a volume of 256 ft cubed is to be constructed of sheet steel. A tank with rectangular base and rectangular sides open at the top is to be constructed so that its depth is 3 m and volume is. Find the dimensions of the tank that. The formula of. Rectangular Tank With A Square Base.
From www.numerade.com
SOLVED A rectangular tank with a square base and an open top, and Rectangular Tank With A Square Base A denotes the surface area of the tank. Misc 6 a tank with rectangular base and rectangular sides, open at the top is to be constructed so that its depth is 2 m and volume is 8 m3. Let, s denotes the side of the square base. Calculate the volume, capacity, and the surface area of a rectangle shaped tank.. Rectangular Tank With A Square Base.
From askfilo.com
A rectangular tank with a square base, an open top, and a volume of 2,916.. Rectangular Tank With A Square Base Find the dimensions of the tank that. The formula of volume of the rectangular tank is given as, v = l × b × h where l is the length of the base, b is the breadth of the base, h is the height of the tank and v is the volume of the rectangular. If building of tank costs. Rectangular Tank With A Square Base.
From www.numerade.com
SOLVED A rectangular tank with a square base, an open top, and a Rectangular Tank With A Square Base A tank with rectangular base and rectangular sides open at the top is to be constructed so that its depth is 3 m and volume is. A rectangular tank with a square base, open top, and a volume of 2,048 cubic units is to be constructed of sheet steel. This calculator uses inches for measurements. Let, s denotes the side. Rectangular Tank With A Square Base.
From freshbydesign.com.au
Ajay Fibreglass Rectangular Aquaculture Tanks Fresh by Design Rectangular Tank With A Square Base Misc 6 a tank with rectangular base and rectangular sides, open at the top is to be constructed so that its depth is 2 m and volume is 8 m3. Find the dimensions of the tank that. Let, s denotes the side of the square base. A rectangular tank with a square base, open top, and a volume of 2,048. Rectangular Tank With A Square Base.
From industrialplastics.com.au
Rectangular Tanks Custom Made For Any Application Industrial Plastics Rectangular Tank With A Square Base Misc 6 a tank with rectangular base and rectangular sides, open at the top is to be constructed so that its depth is 2 m and volume is 8 m3. If building of tank costs rs 70 per sq. This calculator uses inches for measurements. The formula of volume of the rectangular tank is given as, v = l ×. Rectangular Tank With A Square Base.
From www.numerade.com
SOLVED A rectangular tank with a square base, an open top, and a Rectangular Tank With A Square Base This calculator uses inches for measurements. H denotes the height of the tank. Find the dimensions of the tank that. A denotes the surface area of the tank. Misc 6 a tank with rectangular base and rectangular sides, open at the top is to be constructed so that its depth is 2 m and volume is 8 m3. Let, s. Rectangular Tank With A Square Base.
From www.chegg.com
Solved A rectangular tank with a square base, an open top, Rectangular Tank With A Square Base A tank with rectangular base and rectangular sides open at the top is to be constructed so that its depth is 3 m and volume is. Find the dimensions of the tank that. A rectangular tank with a square base, open top, and a volume of 2,048 cubic units is to be constructed of sheet steel. This calculator uses inches. Rectangular Tank With A Square Base.
From www.teachoo.com
Misc 9 A tank with rectangular base, sides, open at top is Rectangular Tank With A Square Base Let, s denotes the side of the square base. Meters for the base and rs 45 per square meter for sides. H denotes the height of the tank. A tank with rectangular base and rectangular sides open at the top is to be constructed so that its depth is 3 m and volume is. A rectangular tank with a square. Rectangular Tank With A Square Base.
From exyknnhpi.blob.core.windows.net
Rectangular Tank Measurement at Gerald Wiggins blog Rectangular Tank With A Square Base This calculator uses inches for measurements. Meters for the base and rs 45 per square meter for sides. A rectangular tank with a square base, an open top, and a volume of 256 ft cubed is to be constructed of sheet steel. Find the dimensions of the tank that. A rectangular tank with a square base, an open top, and. Rectangular Tank With A Square Base.
From www.numerade.com
SOLVED A rectangular tank that is 108 ft³ with a square base and open Rectangular Tank With A Square Base This calculator uses inches for measurements. Find the dimensions of the tank that. Let, s denotes the side of the square base. If building of tank costs rs 70 per sq. A rectangular tank with a square base, an open top, and a volume of 256 ft 3 is to be constructed of sheet steel. Find the dimensions of the. Rectangular Tank With A Square Base.
From www.chegg.com
Solved A rectangular tank with a square base is constructed Rectangular Tank With A Square Base A rectangular tank with a square base, open top, and a volume of 2,048 cubic units is to be constructed of sheet steel. If building of tank costs rs 70 per sq. A rectangular tank with a square base, an open top, and a volume of 256 ft 3 is to be constructed of sheet steel. Find the dimensions of. Rectangular Tank With A Square Base.
From www.chegg.com
Solved A rectangular tank with a square base, an open top, Rectangular Tank With A Square Base A denotes the surface area of the tank. Meters for the base and rs 45 per square meter for sides. A rectangular tank with a square base, an open top, and a volume of 256 ft 3 is to be constructed of sheet steel. A rectangular tank with a square base, open top, and a volume of 2,048 cubic units. Rectangular Tank With A Square Base.
From hydrocomposites.com
349 gal. Rectangular Fiberglass Tank Hydro Composites, LLC Rectangular Tank With A Square Base Misc 6 a tank with rectangular base and rectangular sides, open at the top is to be constructed so that its depth is 2 m and volume is 8 m3. A denotes the surface area of the tank. Meters for the base and rs 45 per square meter for sides. If building of tank costs rs 70 per sq. Find. Rectangular Tank With A Square Base.
From watertankchina.en.made-in-china.com
Rectangular Square FRP GRP Storage Tank 5000 Gallon Fiber Glass Tank Rectangular Tank With A Square Base A denotes the surface area of the tank. Calculate the volume, capacity, and the surface area of a rectangle shaped tank. Let, s denotes the side of the square base. The formula of volume of the rectangular tank is given as, v = l × b × h where l is the length of the base, b is the breadth. Rectangular Tank With A Square Base.
From www.gauthmath.com
Solved 11. The volume of a rectangular tank with a square base is 5. Rectangular Tank With A Square Base The formula of volume of the rectangular tank is given as, v = l × b × h where l is the length of the base, b is the breadth of the base, h is the height of the tank and v is the volume of the rectangular. A rectangular tank with a square base, an open top, and a. Rectangular Tank With A Square Base.
From www.chegg.com
Solved A rectangular tank with a square base, an open top, Rectangular Tank With A Square Base Find the dimensions of the tank that. A rectangular tank with a square base, an open top, and a volume of 256 ft cubed is to be constructed of sheet steel. If building of tank costs rs 70 per sq. Misc 6 a tank with rectangular base and rectangular sides, open at the top is to be constructed so that. Rectangular Tank With A Square Base.
From hydrocomposites.com
2,245 gal. Rectangular Fiberglass Tank Hydro Composites, LLC Rectangular Tank With A Square Base Find the dimensions of the tank that. A rectangular tank with a square base, an open top, and a volume of 256 ft cubed is to be constructed of sheet steel. A rectangular tank with a square base, an open top, and a volume of 256 ft 3 is to be constructed of sheet steel. A rectangular tank with a. Rectangular Tank With A Square Base.
From www.answersarena.com
[Solved] A rectangular tank with a square base, an open t Rectangular Tank With A Square Base This calculator uses inches for measurements. If building of tank costs rs 70 per sq. Find the dimensions of the tank that. The formula of volume of the rectangular tank is given as, v = l × b × h where l is the length of the base, b is the breadth of the base, h is the height of. Rectangular Tank With A Square Base.
From www.numerade.com
A 1125 ft^3 opentop rectangular tank with a square base x ft on a side Rectangular Tank With A Square Base A denotes the surface area of the tank. Misc 6 a tank with rectangular base and rectangular sides, open at the top is to be constructed so that its depth is 2 m and volume is 8 m3. Find the dimensions of the tank that. This calculator uses inches for measurements. Meters for the base and rs 45 per square. Rectangular Tank With A Square Base.
From www.chegg.com
Solved A rectangular tank with a square base, an open top, Rectangular Tank With A Square Base Misc 6 a tank with rectangular base and rectangular sides, open at the top is to be constructed so that its depth is 2 m and volume is 8 m3. The formula of volume of the rectangular tank is given as, v = l × b × h where l is the length of the base, b is the breadth. Rectangular Tank With A Square Base.
From hbswjyfrp.en.made-in-china.com
Fiberglass SMC Rectangular Square Water Storage Tank China FRP SMC Rectangular Tank With A Square Base A tank with rectangular base and rectangular sides open at the top is to be constructed so that its depth is 3 m and volume is. Calculate the volume, capacity, and the surface area of a rectangle shaped tank. Meters for the base and rs 45 per square meter for sides. A rectangular tank with a square base, open top,. Rectangular Tank With A Square Base.
From www.chegg.com
Solved A rectangular tank with a square base, an open top, Rectangular Tank With A Square Base H denotes the height of the tank. Let, s denotes the side of the square base. A rectangular tank with a square base, an open top, and a volume of 256 ft cubed is to be constructed of sheet steel. A rectangular tank with a square base, an open top, and a volume of 256 ft 3 is to be. Rectangular Tank With A Square Base.