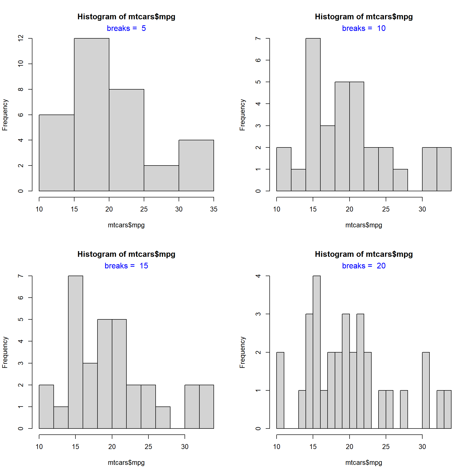
How To Set Bins For Histogram In R . Possible options to deal with this is setting the number of bins with bins argument or modifying the width of each bin with binwidth argument. To do so in the r language, we use the following methods: Binwidth controls the width of each bin while bins specifies the number of bins and ggplot works it out. If you want to change the number of. Depending on how much control you want over your age buckets this may do. There are several rules to determine the number of bins. Sturges’ rule uses the following formula to determine the optimal number. Library (ggplot2) ggplot(df, aes (x=x)) + geom_histogram(bins= 10 ). To change the number of bins in the histogram in. Changing number of bins in the histogram in base r. In r, the sturges method is used by default. By default, the hist () function in r uses sturges’ rule to determine how many bins to use in a histogram. You can use the bins argument to specify the number of bins to use in a histogram in ggplot2:
from www.tutorialgateway.org
In r, the sturges method is used by default. Possible options to deal with this is setting the number of bins with bins argument or modifying the width of each bin with binwidth argument. Changing number of bins in the histogram in base r. Library (ggplot2) ggplot(df, aes (x=x)) + geom_histogram(bins= 10 ). If you want to change the number of. To change the number of bins in the histogram in. Sturges’ rule uses the following formula to determine the optimal number. You can use the bins argument to specify the number of bins to use in a histogram in ggplot2: Binwidth controls the width of each bin while bins specifies the number of bins and ggplot works it out. There are several rules to determine the number of bins.
Histogram in R Programming
How To Set Bins For Histogram In R If you want to change the number of. By default, the hist () function in r uses sturges’ rule to determine how many bins to use in a histogram. Sturges’ rule uses the following formula to determine the optimal number. If you want to change the number of. Binwidth controls the width of each bin while bins specifies the number of bins and ggplot works it out. In r, the sturges method is used by default. To do so in the r language, we use the following methods: To change the number of bins in the histogram in. Possible options to deal with this is setting the number of bins with bins argument or modifying the width of each bin with binwidth argument. Depending on how much control you want over your age buckets this may do. Library (ggplot2) ggplot(df, aes (x=x)) + geom_histogram(bins= 10 ). Changing number of bins in the histogram in base r. There are several rules to determine the number of bins. You can use the bins argument to specify the number of bins to use in a histogram in ggplot2:
From www.tutorialgateway.org
Histogram in R Programming How To Set Bins For Histogram In R Sturges’ rule uses the following formula to determine the optimal number. If you want to change the number of. Depending on how much control you want over your age buckets this may do. Library (ggplot2) ggplot(df, aes (x=x)) + geom_histogram(bins= 10 ). In r, the sturges method is used by default. To change the number of bins in the histogram. How To Set Bins For Histogram In R.
From statisticsglobe.com
Set Number of Bins for Histogram (2 Examples) Change in R & ggplot2 How To Set Bins For Histogram In R By default, the hist () function in r uses sturges’ rule to determine how many bins to use in a histogram. Binwidth controls the width of each bin while bins specifies the number of bins and ggplot works it out. To change the number of bins in the histogram in. Library (ggplot2) ggplot(df, aes (x=x)) + geom_histogram(bins= 10 ). Possible. How To Set Bins For Histogram In R.
From www.datacamp.com
How to Make a Histogram with ggvis in R DataCamp How To Set Bins For Histogram In R Changing number of bins in the histogram in base r. Binwidth controls the width of each bin while bins specifies the number of bins and ggplot works it out. Sturges’ rule uses the following formula to determine the optimal number. Depending on how much control you want over your age buckets this may do. There are several rules to determine. How To Set Bins For Histogram In R.
From statisticsglobe.com
Create a Histogram in Base R (8 Examples) hist Function Tutorial How To Set Bins For Histogram In R In r, the sturges method is used by default. There are several rules to determine the number of bins. Sturges’ rule uses the following formula to determine the optimal number. Possible options to deal with this is setting the number of bins with bins argument or modifying the width of each bin with binwidth argument. To do so in the. How To Set Bins For Histogram In R.
From r-nold.blogspot.com
Data Analysis and Visualization in R Overlapping Histogram in R How To Set Bins For Histogram In R Possible options to deal with this is setting the number of bins with bins argument or modifying the width of each bin with binwidth argument. By default, the hist () function in r uses sturges’ rule to determine how many bins to use in a histogram. Depending on how much control you want over your age buckets this may do.. How To Set Bins For Histogram In R.
From www.statology.org
R How to Change Number of Bins in Histogram How To Set Bins For Histogram In R If you want to change the number of. To do so in the r language, we use the following methods: There are several rules to determine the number of bins. Sturges’ rule uses the following formula to determine the optimal number. Depending on how much control you want over your age buckets this may do. By default, the hist (). How To Set Bins For Histogram In R.
From www.geeksforgeeks.org
How to Change Number of Bins in Histogram in R? How To Set Bins For Histogram In R To change the number of bins in the histogram in. In r, the sturges method is used by default. Depending on how much control you want over your age buckets this may do. Possible options to deal with this is setting the number of bins with bins argument or modifying the width of each bin with binwidth argument. To do. How To Set Bins For Histogram In R.
From klaoxqzwf.blob.core.windows.net
How To Decide How Many Bins For Histogram at Laura Bayne blog How To Set Bins For Histogram In R If you want to change the number of. You can use the bins argument to specify the number of bins to use in a histogram in ggplot2: In r, the sturges method is used by default. There are several rules to determine the number of bins. Possible options to deal with this is setting the number of bins with bins. How To Set Bins For Histogram In R.
From r-craft.org
How to Make a Plotly Histogram RCraft How To Set Bins For Histogram In R There are several rules to determine the number of bins. Binwidth controls the width of each bin while bins specifies the number of bins and ggplot works it out. Library (ggplot2) ggplot(df, aes (x=x)) + geom_histogram(bins= 10 ). If you want to change the number of. By default, the hist () function in r uses sturges’ rule to determine how. How To Set Bins For Histogram In R.
From blog.rsquaredacademy.com
Data Visualization with R Histogram Rsquared Academy Blog Explore How To Set Bins For Histogram In R To change the number of bins in the histogram in. There are several rules to determine the number of bins. Depending on how much control you want over your age buckets this may do. Possible options to deal with this is setting the number of bins with bins argument or modifying the width of each bin with binwidth argument. If. How To Set Bins For Histogram In R.
From statisticsglobe.com
Set Number of Bins for Histogram (2 Examples) Change in R & ggplot2 How To Set Bins For Histogram In R To do so in the r language, we use the following methods: If you want to change the number of. Sturges’ rule uses the following formula to determine the optimal number. In r, the sturges method is used by default. You can use the bins argument to specify the number of bins to use in a histogram in ggplot2: Library. How To Set Bins For Histogram In R.
From www.statology.org
How to Create a Histogram of Two Variables in R How To Set Bins For Histogram In R In r, the sturges method is used by default. Possible options to deal with this is setting the number of bins with bins argument or modifying the width of each bin with binwidth argument. Sturges’ rule uses the following formula to determine the optimal number. Depending on how much control you want over your age buckets this may do. You. How To Set Bins For Histogram In R.
From www.geeksforgeeks.org
How to Change Number of Bins in Histogram in R? How To Set Bins For Histogram In R In r, the sturges method is used by default. Changing number of bins in the histogram in base r. If you want to change the number of. Library (ggplot2) ggplot(df, aes (x=x)) + geom_histogram(bins= 10 ). By default, the hist () function in r uses sturges’ rule to determine how many bins to use in a histogram. To do so. How To Set Bins For Histogram In R.
From www.statscodes.com
Histograms in R StatsCodes How To Set Bins For Histogram In R Possible options to deal with this is setting the number of bins with bins argument or modifying the width of each bin with binwidth argument. You can use the bins argument to specify the number of bins to use in a histogram in ggplot2: In r, the sturges method is used by default. To do so in the r language,. How To Set Bins For Histogram In R.
From blog.rsquaredacademy.com
Data Visualization with R Histogram Rsquared Academy Blog Explore How To Set Bins For Histogram In R There are several rules to determine the number of bins. To change the number of bins in the histogram in. Depending on how much control you want over your age buckets this may do. By default, the hist () function in r uses sturges’ rule to determine how many bins to use in a histogram. In r, the sturges method. How To Set Bins For Histogram In R.
From www.datacamp.com
How to Make a ggplot2 Histogram in R DataCamp How To Set Bins For Histogram In R To do so in the r language, we use the following methods: You can use the bins argument to specify the number of bins to use in a histogram in ggplot2: Possible options to deal with this is setting the number of bins with bins argument or modifying the width of each bin with binwidth argument. If you want to. How To Set Bins For Histogram In R.
From statisticsglobe.com
Set Number of Bins for Histogram (2 Examples) Change in R & ggplot2 How To Set Bins For Histogram In R Library (ggplot2) ggplot(df, aes (x=x)) + geom_histogram(bins= 10 ). You can use the bins argument to specify the number of bins to use in a histogram in ggplot2: Depending on how much control you want over your age buckets this may do. If you want to change the number of. To change the number of bins in the histogram in.. How To Set Bins For Histogram In R.
From stackoverflow.com
r Histogram Combine continuous and discrete values in ggplot2 How To Set Bins For Histogram In R To do so in the r language, we use the following methods: Sturges’ rule uses the following formula to determine the optimal number. To change the number of bins in the histogram in. In r, the sturges method is used by default. You can use the bins argument to specify the number of bins to use in a histogram in. How To Set Bins For Histogram In R.
From www.statology.org
How to Create a Relative Frequency Histogram in R How To Set Bins For Histogram In R To do so in the r language, we use the following methods: By default, the hist () function in r uses sturges’ rule to determine how many bins to use in a histogram. If you want to change the number of. In r, the sturges method is used by default. Changing number of bins in the histogram in base r.. How To Set Bins For Histogram In R.
From www.youtube.com
How to Change the Bin Width of a Histogram in R. [HD] YouTube How To Set Bins For Histogram In R To do so in the r language, we use the following methods: There are several rules to determine the number of bins. Possible options to deal with this is setting the number of bins with bins argument or modifying the width of each bin with binwidth argument. To change the number of bins in the histogram in. Changing number of. How To Set Bins For Histogram In R.
From fity.club
Histogram In R How To Set Bins For Histogram In R By default, the hist () function in r uses sturges’ rule to determine how many bins to use in a histogram. To do so in the r language, we use the following methods: There are several rules to determine the number of bins. Library (ggplot2) ggplot(df, aes (x=x)) + geom_histogram(bins= 10 ). Sturges’ rule uses the following formula to determine. How To Set Bins For Histogram In R.
From www.statology.org
How to Create a Histogram of Two Variables in R How To Set Bins For Histogram In R If you want to change the number of. Sturges’ rule uses the following formula to determine the optimal number. Binwidth controls the width of each bin while bins specifies the number of bins and ggplot works it out. There are several rules to determine the number of bins. In r, the sturges method is used by default. Changing number of. How To Set Bins For Histogram In R.
From statisticsglobe.com
Adjust binwidth of ggplot2 Histogram in R (2 Examples) Avoid Warning How To Set Bins For Histogram In R In r, the sturges method is used by default. Library (ggplot2) ggplot(df, aes (x=x)) + geom_histogram(bins= 10 ). Changing number of bins in the histogram in base r. Binwidth controls the width of each bin while bins specifies the number of bins and ggplot works it out. There are several rules to determine the number of bins. Possible options to. How To Set Bins For Histogram In R.
From www.myxxgirl.com
Visualization How To Plot A Histogram With Different Colors In R My How To Set Bins For Histogram In R There are several rules to determine the number of bins. Library (ggplot2) ggplot(df, aes (x=x)) + geom_histogram(bins= 10 ). To do so in the r language, we use the following methods: Sturges’ rule uses the following formula to determine the optimal number. In r, the sturges method is used by default. If you want to change the number of. You. How To Set Bins For Histogram In R.
From www.exceldemy.com
Applying Bin Range in Histogram 2 Methods How To Set Bins For Histogram In R Changing number of bins in the histogram in base r. To change the number of bins in the histogram in. Sturges’ rule uses the following formula to determine the optimal number. Possible options to deal with this is setting the number of bins with bins argument or modifying the width of each bin with binwidth argument. By default, the hist. How To Set Bins For Histogram In R.
From www.statology.org
How to Plot Multiple Histograms in R (With Examples) How To Set Bins For Histogram In R If you want to change the number of. Changing number of bins in the histogram in base r. Depending on how much control you want over your age buckets this may do. Library (ggplot2) ggplot(df, aes (x=x)) + geom_histogram(bins= 10 ). In r, the sturges method is used by default. To change the number of bins in the histogram in.. How To Set Bins For Histogram In R.
From www.statology.org
How to Plot Multiple Histograms in R (With Examples) How To Set Bins For Histogram In R Binwidth controls the width of each bin while bins specifies the number of bins and ggplot works it out. You can use the bins argument to specify the number of bins to use in a histogram in ggplot2: In r, the sturges method is used by default. By default, the hist () function in r uses sturges’ rule to determine. How To Set Bins For Histogram In R.
From www.statology.org
R How to Change Number of Bins in Histogram How To Set Bins For Histogram In R Changing number of bins in the histogram in base r. To do so in the r language, we use the following methods: In r, the sturges method is used by default. To change the number of bins in the histogram in. Sturges’ rule uses the following formula to determine the optimal number. Possible options to deal with this is setting. How To Set Bins For Histogram In R.
From blog.rsquaredacademy.com
Data Visualization with R Histogram Rsquared Academy Blog Explore How To Set Bins For Histogram In R Library (ggplot2) ggplot(df, aes (x=x)) + geom_histogram(bins= 10 ). Changing number of bins in the histogram in base r. In r, the sturges method is used by default. To change the number of bins in the histogram in. You can use the bins argument to specify the number of bins to use in a histogram in ggplot2: To do so. How To Set Bins For Histogram In R.
From felixfan.github.io
How to set exact number of bins in Histogram in R How To Set Bins For Histogram In R Sturges’ rule uses the following formula to determine the optimal number. There are several rules to determine the number of bins. To do so in the r language, we use the following methods: To change the number of bins in the histogram in. Binwidth controls the width of each bin while bins specifies the number of bins and ggplot works. How To Set Bins For Histogram In R.
From www.statology.org
How to Create a Histogram of Residuals in R How To Set Bins For Histogram In R Depending on how much control you want over your age buckets this may do. To do so in the r language, we use the following methods: There are several rules to determine the number of bins. Sturges’ rule uses the following formula to determine the optimal number. You can use the bins argument to specify the number of bins to. How To Set Bins For Histogram In R.
From r-charts.com
Histogram bins and binwidth in ggplot2 R CHARTS How To Set Bins For Histogram In R If you want to change the number of. To change the number of bins in the histogram in. There are several rules to determine the number of bins. Sturges’ rule uses the following formula to determine the optimal number. Depending on how much control you want over your age buckets this may do. In r, the sturges method is used. How To Set Bins For Histogram In R.
From statisticsglobe.com
Set Number of Bins for Histogram (2 Examples) Change in R & ggplot2 How To Set Bins For Histogram In R To do so in the r language, we use the following methods: Changing number of bins in the histogram in base r. Binwidth controls the width of each bin while bins specifies the number of bins and ggplot works it out. If you want to change the number of. Library (ggplot2) ggplot(df, aes (x=x)) + geom_histogram(bins= 10 ). In r,. How To Set Bins For Histogram In R.
From dxomawcrc.blob.core.windows.net
How To Make A Relative Frequency Histogram In R at Juan Brandon blog How To Set Bins For Histogram In R If you want to change the number of. To do so in the r language, we use the following methods: Library (ggplot2) ggplot(df, aes (x=x)) + geom_histogram(bins= 10 ). Changing number of bins in the histogram in base r. Binwidth controls the width of each bin while bins specifies the number of bins and ggplot works it out. In r,. How To Set Bins For Histogram In R.
From www.youtube.com
Set Number of Bins for Histogram in R (Example) Change Breaks in Base How To Set Bins For Histogram In R Depending on how much control you want over your age buckets this may do. In r, the sturges method is used by default. Binwidth controls the width of each bin while bins specifies the number of bins and ggplot works it out. Library (ggplot2) ggplot(df, aes (x=x)) + geom_histogram(bins= 10 ). Changing number of bins in the histogram in base. How To Set Bins For Histogram In R.