Graph The Circle (X-8)^2+(Y+5)^2=4 . Graph functions, plot data, drag sliders, and much more! free graphing calculator instantly graphs your math problems. Use this form to determine the. Graph functions, plot points, visualize algebraic equations, add. Consider a general circle x^{2}+y^{2}+2gx+2fy+c=0. This is the form of a circle. Our math solver supports basic math, pre. interactive, free online graphing calculator from geogebra: explore math with our beautiful, free online graphing calculator.
from byjus.com
This is the form of a circle. interactive, free online graphing calculator from geogebra: Graph functions, plot data, drag sliders, and much more! Our math solver supports basic math, pre. Graph functions, plot points, visualize algebraic equations, add. free graphing calculator instantly graphs your math problems. explore math with our beautiful, free online graphing calculator. Use this form to determine the. Consider a general circle x^{2}+y^{2}+2gx+2fy+c=0.
RD Sharma Solutions for Class 8 Chapter 6 Algebraic Expressions and
Graph The Circle (X-8)^2+(Y+5)^2=4 This is the form of a circle. Use this form to determine the. Consider a general circle x^{2}+y^{2}+2gx+2fy+c=0. explore math with our beautiful, free online graphing calculator. Our math solver supports basic math, pre. This is the form of a circle. interactive, free online graphing calculator from geogebra: Graph functions, plot points, visualize algebraic equations, add. free graphing calculator instantly graphs your math problems. Graph functions, plot data, drag sliders, and much more!
From www.numerade.com
SOLVEDFind the center and the radius of the circle. Then graph the Graph The Circle (X-8)^2+(Y+5)^2=4 Our math solver supports basic math, pre. Use this form to determine the. interactive, free online graphing calculator from geogebra: free graphing calculator instantly graphs your math problems. This is the form of a circle. explore math with our beautiful, free online graphing calculator. Graph functions, plot points, visualize algebraic equations, add. Graph functions, plot data, drag. Graph The Circle (X-8)^2+(Y+5)^2=4.
From byjus.com
RD Sharma Solutions for Class 8 Chapter 6 Algebraic Expressions and Graph The Circle (X-8)^2+(Y+5)^2=4 Graph functions, plot points, visualize algebraic equations, add. explore math with our beautiful, free online graphing calculator. Graph functions, plot data, drag sliders, and much more! Use this form to determine the. interactive, free online graphing calculator from geogebra: free graphing calculator instantly graphs your math problems. Our math solver supports basic math, pre. This is the. Graph The Circle (X-8)^2+(Y+5)^2=4.
From www.numerade.com
SOLVEDFind the center and radius of each circle. Then graph the circle Graph The Circle (X-8)^2+(Y+5)^2=4 Our math solver supports basic math, pre. Use this form to determine the. explore math with our beautiful, free online graphing calculator. This is the form of a circle. interactive, free online graphing calculator from geogebra: free graphing calculator instantly graphs your math problems. Graph functions, plot data, drag sliders, and much more! Consider a general circle. Graph The Circle (X-8)^2+(Y+5)^2=4.
From www.numerade.com
SOLVEDFind the center and the radius of the circle. Then graph the Graph The Circle (X-8)^2+(Y+5)^2=4 free graphing calculator instantly graphs your math problems. Graph functions, plot points, visualize algebraic equations, add. This is the form of a circle. Use this form to determine the. interactive, free online graphing calculator from geogebra: Our math solver supports basic math, pre. Consider a general circle x^{2}+y^{2}+2gx+2fy+c=0. Graph functions, plot data, drag sliders, and much more! . Graph The Circle (X-8)^2+(Y+5)^2=4.
From quickmath.com
Graph inequalities with StepbyStep Math Problem Solver Graph The Circle (X-8)^2+(Y+5)^2=4 Graph functions, plot points, visualize algebraic equations, add. Our math solver supports basic math, pre. This is the form of a circle. Consider a general circle x^{2}+y^{2}+2gx+2fy+c=0. explore math with our beautiful, free online graphing calculator. Use this form to determine the. Graph functions, plot data, drag sliders, and much more! free graphing calculator instantly graphs your math. Graph The Circle (X-8)^2+(Y+5)^2=4.
From www.gauthmath.com
Solved Graph the circle. (x6)^2+(y+2)^2=4 1 [Math] Graph The Circle (X-8)^2+(Y+5)^2=4 explore math with our beautiful, free online graphing calculator. Our math solver supports basic math, pre. This is the form of a circle. free graphing calculator instantly graphs your math problems. Graph functions, plot points, visualize algebraic equations, add. interactive, free online graphing calculator from geogebra: Consider a general circle x^{2}+y^{2}+2gx+2fy+c=0. Use this form to determine the.. Graph The Circle (X-8)^2+(Y+5)^2=4.
From www.gauthmath.com
Graph the circle (x+8)^2+(y+3)^2=1 Use the points to adjust the graph Graph The Circle (X-8)^2+(Y+5)^2=4 free graphing calculator instantly graphs your math problems. Consider a general circle x^{2}+y^{2}+2gx+2fy+c=0. Graph functions, plot points, visualize algebraic equations, add. Graph functions, plot data, drag sliders, and much more! This is the form of a circle. Our math solver supports basic math, pre. Use this form to determine the. interactive, free online graphing calculator from geogebra: . Graph The Circle (X-8)^2+(Y+5)^2=4.
From exobewfgx.blob.core.windows.net
Circle Graph Spotify at Alice Carter blog Graph The Circle (X-8)^2+(Y+5)^2=4 Our math solver supports basic math, pre. This is the form of a circle. Use this form to determine the. Consider a general circle x^{2}+y^{2}+2gx+2fy+c=0. interactive, free online graphing calculator from geogebra: explore math with our beautiful, free online graphing calculator. free graphing calculator instantly graphs your math problems. Graph functions, plot data, drag sliders, and much. Graph The Circle (X-8)^2+(Y+5)^2=4.
From www.gauthmath.com
Graph the circle (x8)^2+(y+4)^24 Use the points to adjust the graph Graph The Circle (X-8)^2+(Y+5)^2=4 Graph functions, plot data, drag sliders, and much more! Consider a general circle x^{2}+y^{2}+2gx+2fy+c=0. free graphing calculator instantly graphs your math problems. This is the form of a circle. Graph functions, plot points, visualize algebraic equations, add. interactive, free online graphing calculator from geogebra: Our math solver supports basic math, pre. explore math with our beautiful, free. Graph The Circle (X-8)^2+(Y+5)^2=4.
From www.chegg.com
Solved Graph the circle. (x1)2+(y+2)*=9 / О хXOW x 5 ? 8 Graph The Circle (X-8)^2+(Y+5)^2=4 Graph functions, plot data, drag sliders, and much more! Our math solver supports basic math, pre. interactive, free online graphing calculator from geogebra: Use this form to determine the. free graphing calculator instantly graphs your math problems. This is the form of a circle. Graph functions, plot points, visualize algebraic equations, add. Consider a general circle x^{2}+y^{2}+2gx+2fy+c=0. . Graph The Circle (X-8)^2+(Y+5)^2=4.
From dxocrtvep.blob.core.windows.net
Circle Graph For Class 4 at Bradley Lyons blog Graph The Circle (X-8)^2+(Y+5)^2=4 Our math solver supports basic math, pre. explore math with our beautiful, free online graphing calculator. interactive, free online graphing calculator from geogebra: Graph functions, plot points, visualize algebraic equations, add. Consider a general circle x^{2}+y^{2}+2gx+2fy+c=0. Graph functions, plot data, drag sliders, and much more! Use this form to determine the. This is the form of a circle.. Graph The Circle (X-8)^2+(Y+5)^2=4.
From www.gauthmath.com
Graph the circle (x8)^2+(y+4)^2=4 Use the points to adjust the graph Graph The Circle (X-8)^2+(Y+5)^2=4 Graph functions, plot data, drag sliders, and much more! Graph functions, plot points, visualize algebraic equations, add. Our math solver supports basic math, pre. This is the form of a circle. explore math with our beautiful, free online graphing calculator. interactive, free online graphing calculator from geogebra: Consider a general circle x^{2}+y^{2}+2gx+2fy+c=0. free graphing calculator instantly graphs. Graph The Circle (X-8)^2+(Y+5)^2=4.
From www.numerade.com
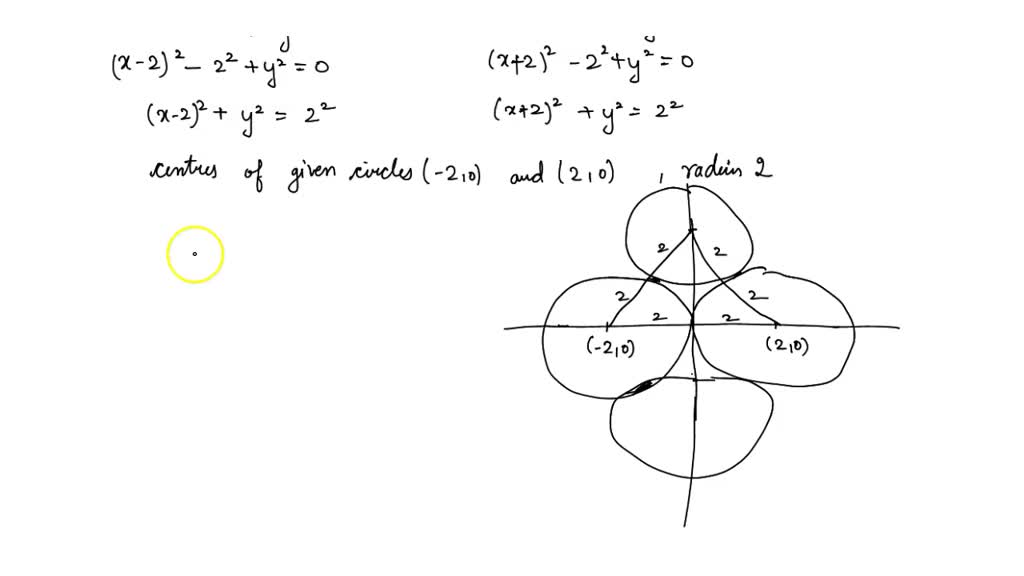
SOLVEDThe equation of a circle of radius 2 touching the circles x^2+y Graph The Circle (X-8)^2+(Y+5)^2=4 explore math with our beautiful, free online graphing calculator. Consider a general circle x^{2}+y^{2}+2gx+2fy+c=0. free graphing calculator instantly graphs your math problems. Use this form to determine the. Graph functions, plot points, visualize algebraic equations, add. This is the form of a circle. Graph functions, plot data, drag sliders, and much more! Our math solver supports basic math,. Graph The Circle (X-8)^2+(Y+5)^2=4.
From www.gauthmath.com
Solved Graph the circle (x8)^2+(y+9)^2=1 Use the points to adjust the Graph The Circle (X-8)^2+(Y+5)^2=4 This is the form of a circle. Use this form to determine the. explore math with our beautiful, free online graphing calculator. interactive, free online graphing calculator from geogebra: Consider a general circle x^{2}+y^{2}+2gx+2fy+c=0. Graph functions, plot data, drag sliders, and much more! Our math solver supports basic math, pre. free graphing calculator instantly graphs your math. Graph The Circle (X-8)^2+(Y+5)^2=4.
From www.gauthmath.com
4. Identify the correct graph of the circle. (x1)^2+(y+2)^2=49 Graph The Circle (X-8)^2+(Y+5)^2=4 interactive, free online graphing calculator from geogebra: free graphing calculator instantly graphs your math problems. Graph functions, plot points, visualize algebraic equations, add. Our math solver supports basic math, pre. explore math with our beautiful, free online graphing calculator. Consider a general circle x^{2}+y^{2}+2gx+2fy+c=0. Use this form to determine the. This is the form of a circle.. Graph The Circle (X-8)^2+(Y+5)^2=4.
From logaritma-math.blogspot.com
Right Angle Trigonometry Unit Circle Graph The Circle (X-8)^2+(Y+5)^2=4 Use this form to determine the. Consider a general circle x^{2}+y^{2}+2gx+2fy+c=0. explore math with our beautiful, free online graphing calculator. free graphing calculator instantly graphs your math problems. Our math solver supports basic math, pre. Graph functions, plot points, visualize algebraic equations, add. This is the form of a circle. interactive, free online graphing calculator from geogebra:. Graph The Circle (X-8)^2+(Y+5)^2=4.
From thirdspacelearning.com
Circle Graph GCSE Maths Steps, Examples & Worksheet Graph The Circle (X-8)^2+(Y+5)^2=4 Consider a general circle x^{2}+y^{2}+2gx+2fy+c=0. free graphing calculator instantly graphs your math problems. explore math with our beautiful, free online graphing calculator. interactive, free online graphing calculator from geogebra: Use this form to determine the. Graph functions, plot data, drag sliders, and much more! This is the form of a circle. Our math solver supports basic math,. Graph The Circle (X-8)^2+(Y+5)^2=4.
From printablemediasanches.z13.web.core.windows.net
How To Count Units On A Graph Graph The Circle (X-8)^2+(Y+5)^2=4 Graph functions, plot points, visualize algebraic equations, add. Graph functions, plot data, drag sliders, and much more! free graphing calculator instantly graphs your math problems. This is the form of a circle. Use this form to determine the. explore math with our beautiful, free online graphing calculator. Our math solver supports basic math, pre. Consider a general circle. Graph The Circle (X-8)^2+(Y+5)^2=4.
From www.gauthmath.com
Graph the circle (x8)^2+(y+4)^2=4 Use the points to adjust the graph Graph The Circle (X-8)^2+(Y+5)^2=4 interactive, free online graphing calculator from geogebra: Graph functions, plot data, drag sliders, and much more! Graph functions, plot points, visualize algebraic equations, add. This is the form of a circle. free graphing calculator instantly graphs your math problems. Our math solver supports basic math, pre. Consider a general circle x^{2}+y^{2}+2gx+2fy+c=0. Use this form to determine the. . Graph The Circle (X-8)^2+(Y+5)^2=4.
From www.numerade.com
SOLVEDFind the center and the radius of each circle. Then graph the Graph The Circle (X-8)^2+(Y+5)^2=4 explore math with our beautiful, free online graphing calculator. Use this form to determine the. Graph functions, plot data, drag sliders, and much more! Consider a general circle x^{2}+y^{2}+2gx+2fy+c=0. free graphing calculator instantly graphs your math problems. This is the form of a circle. interactive, free online graphing calculator from geogebra: Our math solver supports basic math,. Graph The Circle (X-8)^2+(Y+5)^2=4.
From thirdspacelearning.com
Circle Graph GCSE Maths Steps, Examples & Worksheet Graph The Circle (X-8)^2+(Y+5)^2=4 Our math solver supports basic math, pre. free graphing calculator instantly graphs your math problems. explore math with our beautiful, free online graphing calculator. Consider a general circle x^{2}+y^{2}+2gx+2fy+c=0. interactive, free online graphing calculator from geogebra: Graph functions, plot data, drag sliders, and much more! Use this form to determine the. Graph functions, plot points, visualize algebraic. Graph The Circle (X-8)^2+(Y+5)^2=4.
From littlestarcenter.edu.vn
อันดับหนึ่ง 104+ ภาพพื้นหลัง กระดูก Radius คือ อัปเดต Graph The Circle (X-8)^2+(Y+5)^2=4 interactive, free online graphing calculator from geogebra: Our math solver supports basic math, pre. This is the form of a circle. Graph functions, plot data, drag sliders, and much more! Graph functions, plot points, visualize algebraic equations, add. explore math with our beautiful, free online graphing calculator. Consider a general circle x^{2}+y^{2}+2gx+2fy+c=0. free graphing calculator instantly graphs. Graph The Circle (X-8)^2+(Y+5)^2=4.
From www.numerade.com
SOLVEDFor the following equations, determine whether they represent Graph The Circle (X-8)^2+(Y+5)^2=4 explore math with our beautiful, free online graphing calculator. Consider a general circle x^{2}+y^{2}+2gx+2fy+c=0. Graph functions, plot data, drag sliders, and much more! Our math solver supports basic math, pre. Graph functions, plot points, visualize algebraic equations, add. Use this form to determine the. This is the form of a circle. free graphing calculator instantly graphs your math. Graph The Circle (X-8)^2+(Y+5)^2=4.
From www.youtube.com
Graphing Circles and Writing Equations of Circles In Standard Form Graph The Circle (X-8)^2+(Y+5)^2=4 interactive, free online graphing calculator from geogebra: free graphing calculator instantly graphs your math problems. This is the form of a circle. explore math with our beautiful, free online graphing calculator. Our math solver supports basic math, pre. Graph functions, plot data, drag sliders, and much more! Use this form to determine the. Consider a general circle. Graph The Circle (X-8)^2+(Y+5)^2=4.
From www.numerade.com
SOLVEDGraph each circle. 4 x^2+4 y^24 x+8 y+1=0 (GRAPH CANT COPY) Graph The Circle (X-8)^2+(Y+5)^2=4 explore math with our beautiful, free online graphing calculator. interactive, free online graphing calculator from geogebra: Consider a general circle x^{2}+y^{2}+2gx+2fy+c=0. Graph functions, plot points, visualize algebraic equations, add. Our math solver supports basic math, pre. Graph functions, plot data, drag sliders, and much more! free graphing calculator instantly graphs your math problems. Use this form to. Graph The Circle (X-8)^2+(Y+5)^2=4.
From www.neurochispas.com
Recta tangente a una curva Ejercicios resueltos Neurochispas Graph The Circle (X-8)^2+(Y+5)^2=4 Graph functions, plot points, visualize algebraic equations, add. explore math with our beautiful, free online graphing calculator. Graph functions, plot data, drag sliders, and much more! Consider a general circle x^{2}+y^{2}+2gx+2fy+c=0. Our math solver supports basic math, pre. This is the form of a circle. free graphing calculator instantly graphs your math problems. interactive, free online graphing. Graph The Circle (X-8)^2+(Y+5)^2=4.
From socratic.org
How do you find an equation for the line tangent to the circle x^2+ y^2 Graph The Circle (X-8)^2+(Y+5)^2=4 Graph functions, plot data, drag sliders, and much more! This is the form of a circle. Consider a general circle x^{2}+y^{2}+2gx+2fy+c=0. explore math with our beautiful, free online graphing calculator. interactive, free online graphing calculator from geogebra: free graphing calculator instantly graphs your math problems. Use this form to determine the. Graph functions, plot points, visualize algebraic. Graph The Circle (X-8)^2+(Y+5)^2=4.
From davida.davivienda.com
Printable Venn Diagram With 2 Circles Printable Word Searches Graph The Circle (X-8)^2+(Y+5)^2=4 Graph functions, plot data, drag sliders, and much more! free graphing calculator instantly graphs your math problems. This is the form of a circle. Consider a general circle x^{2}+y^{2}+2gx+2fy+c=0. interactive, free online graphing calculator from geogebra: Graph functions, plot points, visualize algebraic equations, add. Use this form to determine the. Our math solver supports basic math, pre. . Graph The Circle (X-8)^2+(Y+5)^2=4.
From saylordotorg.github.io
Circles Graph The Circle (X-8)^2+(Y+5)^2=4 interactive, free online graphing calculator from geogebra: free graphing calculator instantly graphs your math problems. Graph functions, plot data, drag sliders, and much more! Our math solver supports basic math, pre. Graph functions, plot points, visualize algebraic equations, add. Consider a general circle x^{2}+y^{2}+2gx+2fy+c=0. explore math with our beautiful, free online graphing calculator. This is the form. Graph The Circle (X-8)^2+(Y+5)^2=4.
From www.gauthmath.com
Thanks (85) Graph The Circle (X-8)^2+(Y+5)^2=4 Our math solver supports basic math, pre. explore math with our beautiful, free online graphing calculator. Graph functions, plot data, drag sliders, and much more! Consider a general circle x^{2}+y^{2}+2gx+2fy+c=0. interactive, free online graphing calculator from geogebra: This is the form of a circle. Graph functions, plot points, visualize algebraic equations, add. free graphing calculator instantly graphs. Graph The Circle (X-8)^2+(Y+5)^2=4.
From www.chegg.com
Solved Graph the circle(x4)2+(y+1)2=4 Graph The Circle (X-8)^2+(Y+5)^2=4 free graphing calculator instantly graphs your math problems. Graph functions, plot points, visualize algebraic equations, add. Graph functions, plot data, drag sliders, and much more! Consider a general circle x^{2}+y^{2}+2gx+2fy+c=0. This is the form of a circle. Use this form to determine the. Our math solver supports basic math, pre. explore math with our beautiful, free online graphing. Graph The Circle (X-8)^2+(Y+5)^2=4.
From www.gauthmath.com
Solved Graph the circle (x8)^2+(y+9)^2=1 Use the points to adjust the Graph The Circle (X-8)^2+(Y+5)^2=4 Graph functions, plot data, drag sliders, and much more! explore math with our beautiful, free online graphing calculator. This is the form of a circle. Use this form to determine the. interactive, free online graphing calculator from geogebra: Graph functions, plot points, visualize algebraic equations, add. Our math solver supports basic math, pre. free graphing calculator instantly. Graph The Circle (X-8)^2+(Y+5)^2=4.
From www.numerade.com
SOLVEDThe equation of circle touching the axis of y at a distance +4 Graph The Circle (X-8)^2+(Y+5)^2=4 Consider a general circle x^{2}+y^{2}+2gx+2fy+c=0. Our math solver supports basic math, pre. Graph functions, plot points, visualize algebraic equations, add. explore math with our beautiful, free online graphing calculator. free graphing calculator instantly graphs your math problems. This is the form of a circle. Use this form to determine the. Graph functions, plot data, drag sliders, and much. Graph The Circle (X-8)^2+(Y+5)^2=4.
From www.toppr.com
E4 Find equation of circle passing through the point (4,4) and touching Graph The Circle (X-8)^2+(Y+5)^2=4 explore math with our beautiful, free online graphing calculator. This is the form of a circle. Our math solver supports basic math, pre. Use this form to determine the. free graphing calculator instantly graphs your math problems. Consider a general circle x^{2}+y^{2}+2gx+2fy+c=0. Graph functions, plot points, visualize algebraic equations, add. Graph functions, plot data, drag sliders, and much. Graph The Circle (X-8)^2+(Y+5)^2=4.
From mavink.com
Printable Circle Graphs Graph The Circle (X-8)^2+(Y+5)^2=4 Graph functions, plot data, drag sliders, and much more! Use this form to determine the. This is the form of a circle. interactive, free online graphing calculator from geogebra: Our math solver supports basic math, pre. Graph functions, plot points, visualize algebraic equations, add. explore math with our beautiful, free online graphing calculator. free graphing calculator instantly. Graph The Circle (X-8)^2+(Y+5)^2=4.