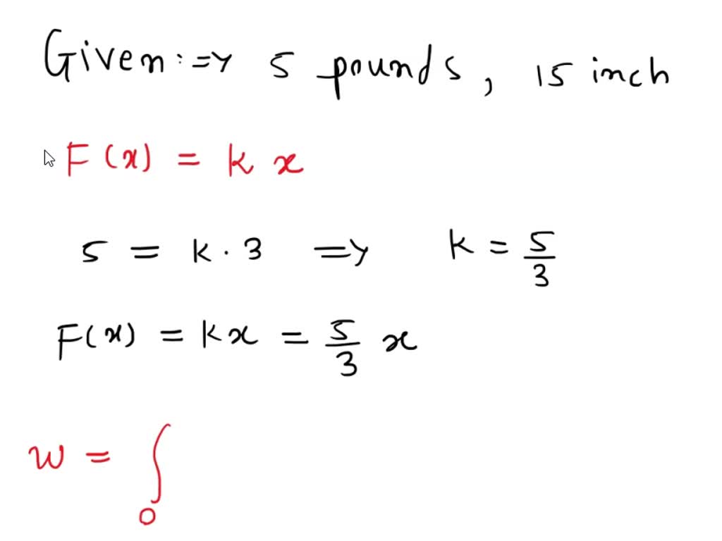
Hooke's Law Exercises . revision notes on hooke's law for the cie igcse physics syllabus, written by the physics experts at save my exams. hooke’s law exercise 1 worked solutions. Stretching or compressing an elastic string or spring. hooke's law is a law that says the restoring force required to compress or stretch a spring is proportional to the. hooke’s law practice (answers below) force = spring constant x extension 1. What force is necessary to stretch an ideal. Experiment with different parameters and. stretch and compress springs to explore the relationships between force, spring constant, displacement, and potential energy! learn how to apply hooke's law to springs and masses with this interactive simulation.
from www.youtube.com
stretch and compress springs to explore the relationships between force, spring constant, displacement, and potential energy! learn how to apply hooke's law to springs and masses with this interactive simulation. What force is necessary to stretch an ideal. Experiment with different parameters and. revision notes on hooke's law for the cie igcse physics syllabus, written by the physics experts at save my exams. hooke's law is a law that says the restoring force required to compress or stretch a spring is proportional to the. Stretching or compressing an elastic string or spring. hooke’s law exercise 1 worked solutions. hooke’s law practice (answers below) force = spring constant x extension 1.
Hooke's Law (A Solved Example) YouTube
Hooke's Law Exercises hooke’s law practice (answers below) force = spring constant x extension 1. What force is necessary to stretch an ideal. hooke’s law practice (answers below) force = spring constant x extension 1. learn how to apply hooke's law to springs and masses with this interactive simulation. revision notes on hooke's law for the cie igcse physics syllabus, written by the physics experts at save my exams. Stretching or compressing an elastic string or spring. hooke's law is a law that says the restoring force required to compress or stretch a spring is proportional to the. Experiment with different parameters and. stretch and compress springs to explore the relationships between force, spring constant, displacement, and potential energy! hooke’s law exercise 1 worked solutions.
From www.chegg.com
Solved Hooke's Law In Exercises 914, use Hooke's Law to Hooke's Law Exercises stretch and compress springs to explore the relationships between force, spring constant, displacement, and potential energy! Experiment with different parameters and. revision notes on hooke's law for the cie igcse physics syllabus, written by the physics experts at save my exams. hooke’s law practice (answers below) force = spring constant x extension 1. hooke's law is. Hooke's Law Exercises.
From albertgrokane.blogspot.com
Definition of Hooke's Law in Physics Hooke's Law Exercises revision notes on hooke's law for the cie igcse physics syllabus, written by the physics experts at save my exams. hooke’s law practice (answers below) force = spring constant x extension 1. What force is necessary to stretch an ideal. Experiment with different parameters and. hooke’s law exercise 1 worked solutions. stretch and compress springs to. Hooke's Law Exercises.
From www.studocu.com
FMech C4 (Exercises) FMech Hooke’s Law (Exercises) Textbook Hooke's Law Exercises revision notes on hooke's law for the cie igcse physics syllabus, written by the physics experts at save my exams. hooke's law is a law that says the restoring force required to compress or stretch a spring is proportional to the. stretch and compress springs to explore the relationships between force, spring constant, displacement, and potential energy!. Hooke's Law Exercises.
From www.scribd.com
Hooke's Law Notes Elasticity (Physics) Force Hooke's Law Exercises learn how to apply hooke's law to springs and masses with this interactive simulation. Stretching or compressing an elastic string or spring. What force is necessary to stretch an ideal. revision notes on hooke's law for the cie igcse physics syllabus, written by the physics experts at save my exams. hooke’s law exercise 1 worked solutions. Experiment. Hooke's Law Exercises.
From www.numerade.com
SOLVEDHooke's Law In Exercises 510 , use Hooke's Law to determine the Hooke's Law Exercises hooke's law is a law that says the restoring force required to compress or stretch a spring is proportional to the. learn how to apply hooke's law to springs and masses with this interactive simulation. hooke’s law practice (answers below) force = spring constant x extension 1. stretch and compress springs to explore the relationships between. Hooke's Law Exercises.
From evulpo.com
Hooke's law Physics Explanation & Exercises evulpo Hooke's Law Exercises hooke’s law practice (answers below) force = spring constant x extension 1. Experiment with different parameters and. Stretching or compressing an elastic string or spring. revision notes on hooke's law for the cie igcse physics syllabus, written by the physics experts at save my exams. hooke’s law exercise 1 worked solutions. hooke's law is a law. Hooke's Law Exercises.
From www.youtube.com
Hooke's Law (A Solved Example) YouTube Hooke's Law Exercises What force is necessary to stretch an ideal. revision notes on hooke's law for the cie igcse physics syllabus, written by the physics experts at save my exams. stretch and compress springs to explore the relationships between force, spring constant, displacement, and potential energy! hooke’s law exercise 1 worked solutions. Experiment with different parameters and. learn. Hooke's Law Exercises.
From www.chegg.com
Solved Hooke's Law In this exercise, we consider the Hooke's Law Exercises stretch and compress springs to explore the relationships between force, spring constant, displacement, and potential energy! hooke’s law exercise 1 worked solutions. revision notes on hooke's law for the cie igcse physics syllabus, written by the physics experts at save my exams. What force is necessary to stretch an ideal. learn how to apply hooke's law. Hooke's Law Exercises.
From www.chegg.com
Solved Hooke's Law describes the force needed to stretch a Hooke's Law Exercises learn how to apply hooke's law to springs and masses with this interactive simulation. stretch and compress springs to explore the relationships between force, spring constant, displacement, and potential energy! hooke’s law practice (answers below) force = spring constant x extension 1. What force is necessary to stretch an ideal. hooke's law is a law that. Hooke's Law Exercises.
From www.slideserve.com
PPT Hooke’s Law PowerPoint Presentation, free download ID4793078 Hooke's Law Exercises hooke's law is a law that says the restoring force required to compress or stretch a spring is proportional to the. What force is necessary to stretch an ideal. revision notes on hooke's law for the cie igcse physics syllabus, written by the physics experts at save my exams. hooke’s law exercise 1 worked solutions. stretch. Hooke's Law Exercises.
From www.numerade.com
SOLVEDHooke's Law In Exercises 510 , use Hooke's Law to determine the Hooke's Law Exercises revision notes on hooke's law for the cie igcse physics syllabus, written by the physics experts at save my exams. hooke's law is a law that says the restoring force required to compress or stretch a spring is proportional to the. Stretching or compressing an elastic string or spring. learn how to apply hooke's law to springs. Hooke's Law Exercises.
From mathswithdavid.com
9231. FM. Hooke’s Law Exercise 3 Worked Solutions Maths with David Hooke's Law Exercises learn how to apply hooke's law to springs and masses with this interactive simulation. hooke’s law practice (answers below) force = spring constant x extension 1. What force is necessary to stretch an ideal. Experiment with different parameters and. Stretching or compressing an elastic string or spring. revision notes on hooke's law for the cie igcse physics. Hooke's Law Exercises.
From en.wikipedia.org
Hooke's law Wikipedia Hooke's Law Exercises What force is necessary to stretch an ideal. revision notes on hooke's law for the cie igcse physics syllabus, written by the physics experts at save my exams. hooke's law is a law that says the restoring force required to compress or stretch a spring is proportional to the. learn how to apply hooke's law to springs. Hooke's Law Exercises.
From www.nagwa.com
Video Hooke’s Law Nagwa Hooke's Law Exercises learn how to apply hooke's law to springs and masses with this interactive simulation. Stretching or compressing an elastic string or spring. revision notes on hooke's law for the cie igcse physics syllabus, written by the physics experts at save my exams. hooke’s law practice (answers below) force = spring constant x extension 1. What force is. Hooke's Law Exercises.
From courses.lumenlearning.com
Hooke’s Law Stress and Strain Revisited Physics Hooke's Law Exercises learn how to apply hooke's law to springs and masses with this interactive simulation. hooke’s law exercise 1 worked solutions. stretch and compress springs to explore the relationships between force, spring constant, displacement, and potential energy! revision notes on hooke's law for the cie igcse physics syllabus, written by the physics experts at save my exams.. Hooke's Law Exercises.
From www.numerade.com
SOLVEDHooke's Law In Exercises 510 , use Hooke's Law to determine the Hooke's Law Exercises Stretching or compressing an elastic string or spring. learn how to apply hooke's law to springs and masses with this interactive simulation. revision notes on hooke's law for the cie igcse physics syllabus, written by the physics experts at save my exams. hooke’s law exercise 1 worked solutions. Experiment with different parameters and. hooke’s law practice. Hooke's Law Exercises.
From www.worksheetsplanet.com
Hooke's Law Formula + Definition Worksheets Hooke's Law Exercises hooke’s law practice (answers below) force = spring constant x extension 1. stretch and compress springs to explore the relationships between force, spring constant, displacement, and potential energy! hooke's law is a law that says the restoring force required to compress or stretch a spring is proportional to the. revision notes on hooke's law for the. Hooke's Law Exercises.
From www.numerade.com
SOLVEDHooke's Law In Exercises 510 , use Hooke's Law to determine the Hooke's Law Exercises What force is necessary to stretch an ideal. learn how to apply hooke's law to springs and masses with this interactive simulation. hooke’s law exercise 1 worked solutions. hooke's law is a law that says the restoring force required to compress or stretch a spring is proportional to the. revision notes on hooke's law for the. Hooke's Law Exercises.
From mathswithdavid.com
9231. FM. Hooke’s Law Exercise 2 Worked Solutions Maths with David Hooke's Law Exercises Stretching or compressing an elastic string or spring. hooke's law is a law that says the restoring force required to compress or stretch a spring is proportional to the. stretch and compress springs to explore the relationships between force, spring constant, displacement, and potential energy! hooke’s law exercise 1 worked solutions. revision notes on hooke's law. Hooke's Law Exercises.
From evulpo.com
Hooke's law Physics Explanation & Exercises evulpo Hooke's Law Exercises What force is necessary to stretch an ideal. learn how to apply hooke's law to springs and masses with this interactive simulation. hooke’s law exercise 1 worked solutions. stretch and compress springs to explore the relationships between force, spring constant, displacement, and potential energy! hooke’s law practice (answers below) force = spring constant x extension 1.. Hooke's Law Exercises.
From www.teachit.co.uk
Hooke's law KS3 worksheet Physics teaching resources Teachit Hooke's Law Exercises Experiment with different parameters and. learn how to apply hooke's law to springs and masses with this interactive simulation. hooke’s law practice (answers below) force = spring constant x extension 1. stretch and compress springs to explore the relationships between force, spring constant, displacement, and potential energy! hooke's law is a law that says the restoring. Hooke's Law Exercises.
From mathswithdavid.com
9231. FM. Hooke’s Law Exercise 3 Worked Solutions Maths with David Hooke's Law Exercises hooke’s law exercise 1 worked solutions. learn how to apply hooke's law to springs and masses with this interactive simulation. revision notes on hooke's law for the cie igcse physics syllabus, written by the physics experts at save my exams. What force is necessary to stretch an ideal. Stretching or compressing an elastic string or spring. . Hooke's Law Exercises.
From www.pinterest.com
Includes one page of Hooke’s Law physics notes that will give your Hooke's Law Exercises hooke's law is a law that says the restoring force required to compress or stretch a spring is proportional to the. Stretching or compressing an elastic string or spring. learn how to apply hooke's law to springs and masses with this interactive simulation. Experiment with different parameters and. hooke’s law exercise 1 worked solutions. hooke’s law. Hooke's Law Exercises.
From mathswithdavid.com
9231. FM. Hooke’s Law Exercise 3 Worked Solutions Maths with David Hooke's Law Exercises What force is necessary to stretch an ideal. learn how to apply hooke's law to springs and masses with this interactive simulation. hooke’s law practice (answers below) force = spring constant x extension 1. hooke's law is a law that says the restoring force required to compress or stretch a spring is proportional to the. Stretching or. Hooke's Law Exercises.
From mathswithdavid.com
9231. FM. Hooke’s Law Exercise 2 Worked Solutions Maths with David Hooke's Law Exercises hooke's law is a law that says the restoring force required to compress or stretch a spring is proportional to the. learn how to apply hooke's law to springs and masses with this interactive simulation. Stretching or compressing an elastic string or spring. What force is necessary to stretch an ideal. hooke’s law exercise 1 worked solutions.. Hooke's Law Exercises.
From www.numerade.com
SOLVEDHooke's Law In Exercises 310, use Hooke's Law to determine the Hooke's Law Exercises hooke’s law practice (answers below) force = spring constant x extension 1. Stretching or compressing an elastic string or spring. What force is necessary to stretch an ideal. hooke’s law exercise 1 worked solutions. learn how to apply hooke's law to springs and masses with this interactive simulation. hooke's law is a law that says the. Hooke's Law Exercises.
From www.docsity.com
Physics Hooke's Law Exercises Physics Docsity Hooke's Law Exercises Stretching or compressing an elastic string or spring. hooke's law is a law that says the restoring force required to compress or stretch a spring is proportional to the. hooke’s law practice (answers below) force = spring constant x extension 1. Experiment with different parameters and. stretch and compress springs to explore the relationships between force, spring. Hooke's Law Exercises.
From www.kenyaplex.com
Hooke's Law Sample Questions 11081 Hooke's Law Exercises What force is necessary to stretch an ideal. hooke's law is a law that says the restoring force required to compress or stretch a spring is proportional to the. learn how to apply hooke's law to springs and masses with this interactive simulation. revision notes on hooke's law for the cie igcse physics syllabus, written by the. Hooke's Law Exercises.
From www.chegg.com
Solved Use Hooke's Law For Springs, Which States That The... Hooke's Law Exercises Experiment with different parameters and. hooke's law is a law that says the restoring force required to compress or stretch a spring is proportional to the. revision notes on hooke's law for the cie igcse physics syllabus, written by the physics experts at save my exams. stretch and compress springs to explore the relationships between force, spring. Hooke's Law Exercises.
From www.chegg.com
Solved Hooke's Law In this exercise, we consider the Hooke's Law Exercises stretch and compress springs to explore the relationships between force, spring constant, displacement, and potential energy! hooke’s law exercise 1 worked solutions. What force is necessary to stretch an ideal. learn how to apply hooke's law to springs and masses with this interactive simulation. revision notes on hooke's law for the cie igcse physics syllabus, written. Hooke's Law Exercises.
From www.chegg.com
Solved 回 RO Hooke's Law In Exercises 914, use Hooke's R Hooke's Law Exercises stretch and compress springs to explore the relationships between force, spring constant, displacement, and potential energy! hooke's law is a law that says the restoring force required to compress or stretch a spring is proportional to the. learn how to apply hooke's law to springs and masses with this interactive simulation. hooke’s law practice (answers below). Hooke's Law Exercises.
From www.numerade.com
SOLVEDHooke's Law In Exercises 310, use Hooke's Law to determine the Hooke's Law Exercises hooke's law is a law that says the restoring force required to compress or stretch a spring is proportional to the. Experiment with different parameters and. hooke’s law exercise 1 worked solutions. hooke’s law practice (answers below) force = spring constant x extension 1. What force is necessary to stretch an ideal. learn how to apply. Hooke's Law Exercises.
From mathswithdavid.com
9231. FM. Hooke’s Law Exercise 3 Worked Solutions Maths with David Hooke's Law Exercises What force is necessary to stretch an ideal. hooke’s law exercise 1 worked solutions. learn how to apply hooke's law to springs and masses with this interactive simulation. hooke's law is a law that says the restoring force required to compress or stretch a spring is proportional to the. Experiment with different parameters and. stretch and. Hooke's Law Exercises.
From mathswithdavid.com
9231. FM. Hooke’s Law Exercise 3 Worked Solutions Maths with David Hooke's Law Exercises revision notes on hooke's law for the cie igcse physics syllabus, written by the physics experts at save my exams. What force is necessary to stretch an ideal. hooke’s law exercise 1 worked solutions. Stretching or compressing an elastic string or spring. hooke's law is a law that says the restoring force required to compress or stretch. Hooke's Law Exercises.
From www.numerade.com
SOLVED Hooke's Law In Exercises 510 , use Hooke's Law to determine Hooke's Law Exercises hooke’s law practice (answers below) force = spring constant x extension 1. stretch and compress springs to explore the relationships between force, spring constant, displacement, and potential energy! Experiment with different parameters and. hooke's law is a law that says the restoring force required to compress or stretch a spring is proportional to the. learn how. Hooke's Law Exercises.