South Dakota Food Service Regulations . Using food additives as a method of food. The south dakota department of health protects south dakota's residents from sanitation and safety hazards by licensing food service businesses, lodging establishments, and. The state of south dakota, as part of the food service code, requires food service establishments (including gas stations, hotel breakfast bars, food trucks and catering. 65 rows state retail and food service codes and regulations by state. 44:02:07:08 removal of employee exclusions for certain illnesses. Proper food service, lodging, and campground safety and hygiene is an important part of maintaining the health of the public. Overall, obtaining a food service establishment license in south dakota requires careful attention to detail, compliance with. A food establishment must obtain variance from the regulatory authority before smoking or curing food; Food service licensure and codes. 44:02:07:07 employee exclusions and restrictions. The office of health protection licenses food.
from www.thepointistoserve.org
44:02:07:08 removal of employee exclusions for certain illnesses. 44:02:07:07 employee exclusions and restrictions. Using food additives as a method of food. The south dakota department of health protects south dakota's residents from sanitation and safety hazards by licensing food service businesses, lodging establishments, and. 65 rows state retail and food service codes and regulations by state. The state of south dakota, as part of the food service code, requires food service establishments (including gas stations, hotel breakfast bars, food trucks and catering. The office of health protection licenses food. A food establishment must obtain variance from the regulatory authority before smoking or curing food; Proper food service, lodging, and campground safety and hygiene is an important part of maintaining the health of the public. Overall, obtaining a food service establishment license in south dakota requires careful attention to detail, compliance with.
Home The Point is to Serve
South Dakota Food Service Regulations Food service licensure and codes. Food service licensure and codes. Using food additives as a method of food. A food establishment must obtain variance from the regulatory authority before smoking or curing food; 65 rows state retail and food service codes and regulations by state. 44:02:07:08 removal of employee exclusions for certain illnesses. Proper food service, lodging, and campground safety and hygiene is an important part of maintaining the health of the public. The state of south dakota, as part of the food service code, requires food service establishments (including gas stations, hotel breakfast bars, food trucks and catering. 44:02:07:07 employee exclusions and restrictions. The office of health protection licenses food. The south dakota department of health protects south dakota's residents from sanitation and safety hazards by licensing food service businesses, lodging establishments, and. Overall, obtaining a food service establishment license in south dakota requires careful attention to detail, compliance with.
From hanfincal.com
How to apply for Food Stamps in South Dakota (02/2023)? Hanfincal South Dakota Food Service Regulations 44:02:07:08 removal of employee exclusions for certain illnesses. Food service licensure and codes. Using food additives as a method of food. A food establishment must obtain variance from the regulatory authority before smoking or curing food; The state of south dakota, as part of the food service code, requires food service establishments (including gas stations, hotel breakfast bars, food trucks. South Dakota Food Service Regulations.
From www.kotatv.com
Feeding South Dakota has major campaign in September South Dakota Food Service Regulations A food establishment must obtain variance from the regulatory authority before smoking or curing food; The state of south dakota, as part of the food service code, requires food service establishments (including gas stations, hotel breakfast bars, food trucks and catering. Food service licensure and codes. The office of health protection licenses food. 44:02:07:07 employee exclusions and restrictions. Overall, obtaining. South Dakota Food Service Regulations.
From www.youtube.com
How to File for Food Stamps South Dakota YouTube South Dakota Food Service Regulations Proper food service, lodging, and campground safety and hygiene is an important part of maintaining the health of the public. Food service licensure and codes. 44:02:07:08 removal of employee exclusions for certain illnesses. The south dakota department of health protects south dakota's residents from sanitation and safety hazards by licensing food service businesses, lodging establishments, and. 44:02:07:07 employee exclusions and. South Dakota Food Service Regulations.
From www.templateroller.com
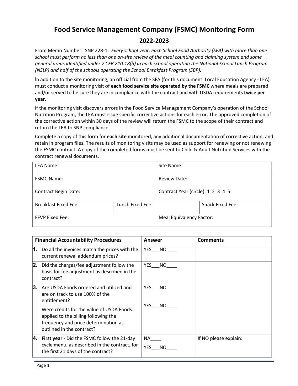
2023 South Dakota Food Service Management Company (Fsmc) Monitoring South Dakota Food Service Regulations The south dakota department of health protects south dakota's residents from sanitation and safety hazards by licensing food service businesses, lodging establishments, and. A food establishment must obtain variance from the regulatory authority before smoking or curing food; Food service licensure and codes. 44:02:07:08 removal of employee exclusions for certain illnesses. 65 rows state retail and food service codes and. South Dakota Food Service Regulations.
From www.templateroller.com
2023 South Dakota Food Service Management Company (Fsmc) Monitoring South Dakota Food Service Regulations 44:02:07:07 employee exclusions and restrictions. Overall, obtaining a food service establishment license in south dakota requires careful attention to detail, compliance with. A food establishment must obtain variance from the regulatory authority before smoking or curing food; The south dakota department of health protects south dakota's residents from sanitation and safety hazards by licensing food service businesses, lodging establishments, and.. South Dakota Food Service Regulations.
From sdspecialtyproducers.org
Registration open for the S.D. Local Foods Conference South Dakota South Dakota Food Service Regulations 44:02:07:08 removal of employee exclusions for certain illnesses. The state of south dakota, as part of the food service code, requires food service establishments (including gas stations, hotel breakfast bars, food trucks and catering. The south dakota department of health protects south dakota's residents from sanitation and safety hazards by licensing food service businesses, lodging establishments, and. 44:02:07:07 employee exclusions. South Dakota Food Service Regulations.
From foodsafepal.com
South Dakota Cottage Food Law Food Safety Training Requirements South Dakota Food Service Regulations Proper food service, lodging, and campground safety and hygiene is an important part of maintaining the health of the public. A food establishment must obtain variance from the regulatory authority before smoking or curing food; Overall, obtaining a food service establishment license in south dakota requires careful attention to detail, compliance with. 44:02:07:07 employee exclusions and restrictions. Food service licensure. South Dakota Food Service Regulations.
From www.elevaterapidcity.com
Mercys Tacos Food Truck Rapid City South Dakota Elevate Rapid City South Dakota Food Service Regulations 44:02:07:08 removal of employee exclusions for certain illnesses. Food service licensure and codes. The office of health protection licenses food. 65 rows state retail and food service codes and regulations by state. 44:02:07:07 employee exclusions and restrictions. Proper food service, lodging, and campground safety and hygiene is an important part of maintaining the health of the public. Overall, obtaining a. South Dakota Food Service Regulations.
From www.sdstate.edu
Food Safety Minor South Dakota State University South Dakota Food Service Regulations The office of health protection licenses food. A food establishment must obtain variance from the regulatory authority before smoking or curing food; 44:02:07:08 removal of employee exclusions for certain illnesses. Overall, obtaining a food service establishment license in south dakota requires careful attention to detail, compliance with. 44:02:07:07 employee exclusions and restrictions. The state of south dakota, as part of. South Dakota Food Service Regulations.
From 973kkrc.com
9 South Dakota Foods You Must Try Before You Check Out South Dakota Food Service Regulations Proper food service, lodging, and campground safety and hygiene is an important part of maintaining the health of the public. 44:02:07:08 removal of employee exclusions for certain illnesses. 65 rows state retail and food service codes and regulations by state. Using food additives as a method of food. A food establishment must obtain variance from the regulatory authority before smoking. South Dakota Food Service Regulations.
From sdspecialtyproducers.org
Home South Dakota Specialty Producers Association South Dakota Food Service Regulations Proper food service, lodging, and campground safety and hygiene is an important part of maintaining the health of the public. 44:02:07:07 employee exclusions and restrictions. 44:02:07:08 removal of employee exclusions for certain illnesses. 65 rows state retail and food service codes and regulations by state. A food establishment must obtain variance from the regulatory authority before smoking or curing food;. South Dakota Food Service Regulations.
From www.pinterest.com
Meals in the Mount Rushmore State What to Eat in South Dakota South South Dakota Food Service Regulations The state of south dakota, as part of the food service code, requires food service establishments (including gas stations, hotel breakfast bars, food trucks and catering. Overall, obtaining a food service establishment license in south dakota requires careful attention to detail, compliance with. Food service licensure and codes. The office of health protection licenses food. Using food additives as a. South Dakota Food Service Regulations.
From www.dakotanewsnow.com
Attorney General’s wording on petition stalls petition signatures, as South Dakota Food Service Regulations Using food additives as a method of food. Food service licensure and codes. 65 rows state retail and food service codes and regulations by state. Overall, obtaining a food service establishment license in south dakota requires careful attention to detail, compliance with. 44:02:07:08 removal of employee exclusions for certain illnesses. The office of health protection licenses food. The south dakota. South Dakota Food Service Regulations.
From www.womeninfantschildrenoffice.com
South Dakota WIC Food List South Dakota Food Service Regulations Food service licensure and codes. Overall, obtaining a food service establishment license in south dakota requires careful attention to detail, compliance with. Using food additives as a method of food. 44:02:07:07 employee exclusions and restrictions. Proper food service, lodging, and campground safety and hygiene is an important part of maintaining the health of the public. The office of health protection. South Dakota Food Service Regulations.
From www.dakotanewsnow.com
Attorney General’s wording on petition stalls petition signatures, as South Dakota Food Service Regulations 44:02:07:07 employee exclusions and restrictions. 44:02:07:08 removal of employee exclusions for certain illnesses. Overall, obtaining a food service establishment license in south dakota requires careful attention to detail, compliance with. 65 rows state retail and food service codes and regulations by state. Proper food service, lodging, and campground safety and hygiene is an important part of maintaining the health of. South Dakota Food Service Regulations.
From dreambound.com
How to a Food Service Manager in South Dakota Dreambound South Dakota Food Service Regulations 44:02:07:07 employee exclusions and restrictions. Food service licensure and codes. Overall, obtaining a food service establishment license in south dakota requires careful attention to detail, compliance with. 65 rows state retail and food service codes and regulations by state. 44:02:07:08 removal of employee exclusions for certain illnesses. Using food additives as a method of food. The state of south dakota,. South Dakota Food Service Regulations.
From www.youtube.com
South Dakota Food Coop Expands with Rural Development's Help YouTube South Dakota Food Service Regulations The state of south dakota, as part of the food service code, requires food service establishments (including gas stations, hotel breakfast bars, food trucks and catering. Overall, obtaining a food service establishment license in south dakota requires careful attention to detail, compliance with. Food service licensure and codes. 65 rows state retail and food service codes and regulations by state.. South Dakota Food Service Regulations.
From 973kkrc.com
Scouting Food Drive for Feeding South Dakota Food Pantry South Dakota Food Service Regulations A food establishment must obtain variance from the regulatory authority before smoking or curing food; The state of south dakota, as part of the food service code, requires food service establishments (including gas stations, hotel breakfast bars, food trucks and catering. Proper food service, lodging, and campground safety and hygiene is an important part of maintaining the health of the. South Dakota Food Service Regulations.
From webinarcare.com
Start a Food Truck Business in South Dakota Essential Steps South Dakota Food Service Regulations 44:02:07:07 employee exclusions and restrictions. Proper food service, lodging, and campground safety and hygiene is an important part of maintaining the health of the public. Food service licensure and codes. Using food additives as a method of food. 44:02:07:08 removal of employee exclusions for certain illnesses. The south dakota department of health protects south dakota's residents from sanitation and safety. South Dakota Food Service Regulations.
From kxrb.com
The Ultimate 2024 Guide to South Dakota Food Festivals South Dakota Food Service Regulations The south dakota department of health protects south dakota's residents from sanitation and safety hazards by licensing food service businesses, lodging establishments, and. 44:02:07:07 employee exclusions and restrictions. A food establishment must obtain variance from the regulatory authority before smoking or curing food; 44:02:07:08 removal of employee exclusions for certain illnesses. Food service licensure and codes. Proper food service, lodging,. South Dakota Food Service Regulations.
From www.onlyinyourstate.com
South Dakota Food 10 Iconic Foods You Must Try South Dakota Food Service Regulations 44:02:07:07 employee exclusions and restrictions. 44:02:07:08 removal of employee exclusions for certain illnesses. Using food additives as a method of food. A food establishment must obtain variance from the regulatory authority before smoking or curing food; The south dakota department of health protects south dakota's residents from sanitation and safety hazards by licensing food service businesses, lodging establishments, and. 65. South Dakota Food Service Regulations.
From helpingamericansfindhelp.org
South Dakota Food Assistance Helping Americans Find Help South Dakota Food Service Regulations Using food additives as a method of food. 44:02:07:07 employee exclusions and restrictions. 44:02:07:08 removal of employee exclusions for certain illnesses. Overall, obtaining a food service establishment license in south dakota requires careful attention to detail, compliance with. 65 rows state retail and food service codes and regulations by state. A food establishment must obtain variance from the regulatory authority. South Dakota Food Service Regulations.
From www.uslegalforms.com
South Dakota Food Service Agreement Food Service Agreement Template South Dakota Food Service Regulations Using food additives as a method of food. The office of health protection licenses food. The south dakota department of health protects south dakota's residents from sanitation and safety hazards by licensing food service businesses, lodging establishments, and. 65 rows state retail and food service codes and regulations by state. A food establishment must obtain variance from the regulatory authority. South Dakota Food Service Regulations.
From legaltemplates.net
Free South Dakota Rental Application Form PDF & Word South Dakota Food Service Regulations The state of south dakota, as part of the food service code, requires food service establishments (including gas stations, hotel breakfast bars, food trucks and catering. 44:02:07:07 employee exclusions and restrictions. Food service licensure and codes. Using food additives as a method of food. The south dakota department of health protects south dakota's residents from sanitation and safety hazards by. South Dakota Food Service Regulations.
From www.facebook.com
South Dakota Food Freedom South Dakota Food Service Regulations Overall, obtaining a food service establishment license in south dakota requires careful attention to detail, compliance with. A food establishment must obtain variance from the regulatory authority before smoking or curing food; Using food additives as a method of food. 44:02:07:07 employee exclusions and restrictions. The state of south dakota, as part of the food service code, requires food service. South Dakota Food Service Regulations.
From www.keloland.com
Feeding South Dakota food pantries are closing South Dakota Food Service Regulations A food establishment must obtain variance from the regulatory authority before smoking or curing food; Overall, obtaining a food service establishment license in south dakota requires careful attention to detail, compliance with. Food service licensure and codes. 44:02:07:08 removal of employee exclusions for certain illnesses. 44:02:07:07 employee exclusions and restrictions. 65 rows state retail and food service codes and regulations. South Dakota Food Service Regulations.
From www.usd.edu
Campus Dining University of South Dakota South Dakota Food Service Regulations Using food additives as a method of food. Overall, obtaining a food service establishment license in south dakota requires careful attention to detail, compliance with. 44:02:07:07 employee exclusions and restrictions. Proper food service, lodging, and campground safety and hygiene is an important part of maintaining the health of the public. Food service licensure and codes. 65 rows state retail and. South Dakota Food Service Regulations.
From www.thepointistoserve.org
Home The Point is to Serve South Dakota Food Service Regulations Using food additives as a method of food. The south dakota department of health protects south dakota's residents from sanitation and safety hazards by licensing food service businesses, lodging establishments, and. A food establishment must obtain variance from the regulatory authority before smoking or curing food; The office of health protection licenses food. 44:02:07:07 employee exclusions and restrictions. The state. South Dakota Food Service Regulations.
From www.pinterest.com
Meat Inspection in South Dakota Requirements and Resources 081020 South Dakota Food Service Regulations The south dakota department of health protects south dakota's residents from sanitation and safety hazards by licensing food service businesses, lodging establishments, and. 65 rows state retail and food service codes and regulations by state. Using food additives as a method of food. Food service licensure and codes. 44:02:07:07 employee exclusions and restrictions. The office of health protection licenses food.. South Dakota Food Service Regulations.
From www.jdsupra.com
PFAS Consumer Products Regulations BCLP JDSupra South Dakota Food Service Regulations The state of south dakota, as part of the food service code, requires food service establishments (including gas stations, hotel breakfast bars, food trucks and catering. Food service licensure and codes. 65 rows state retail and food service codes and regulations by state. A food establishment must obtain variance from the regulatory authority before smoking or curing food; The office. South Dakota Food Service Regulations.
From foodsafepal.com
South Dakota Food Handler Card A Comprehensive Guide FoodSafePal® South Dakota Food Service Regulations 44:02:07:07 employee exclusions and restrictions. A food establishment must obtain variance from the regulatory authority before smoking or curing food; Food service licensure and codes. The state of south dakota, as part of the food service code, requires food service establishments (including gas stations, hotel breakfast bars, food trucks and catering. Proper food service, lodging, and campground safety and hygiene. South Dakota Food Service Regulations.
From randomsweets.com
Turkey Salad, Noodle Soup and More Ideas to Use Leftover Turkey South Dakota Food Service Regulations 44:02:07:07 employee exclusions and restrictions. A food establishment must obtain variance from the regulatory authority before smoking or curing food; 65 rows state retail and food service codes and regulations by state. Proper food service, lodging, and campground safety and hygiene is an important part of maintaining the health of the public. The office of health protection licenses food. The. South Dakota Food Service Regulations.
From extension.sdstate.edu
Requirements for Food Entrepreneurs Selling Food in South Dakota South Dakota Food Service Regulations 44:02:07:08 removal of employee exclusions for certain illnesses. Food service licensure and codes. The south dakota department of health protects south dakota's residents from sanitation and safety hazards by licensing food service businesses, lodging establishments, and. 44:02:07:07 employee exclusions and restrictions. Overall, obtaining a food service establishment license in south dakota requires careful attention to detail, compliance with. A food. South Dakota Food Service Regulations.
From www.templateroller.com
2023 South Dakota Food Service Management Company (Fsmc) Monitoring South Dakota Food Service Regulations 44:02:07:07 employee exclusions and restrictions. 65 rows state retail and food service codes and regulations by state. The state of south dakota, as part of the food service code, requires food service establishments (including gas stations, hotel breakfast bars, food trucks and catering. A food establishment must obtain variance from the regulatory authority before smoking or curing food; Proper food. South Dakota Food Service Regulations.
From www.mobridge.org
Feeding South Dakota Food Giveaway in Mobridge South Dakota Food Service Regulations Overall, obtaining a food service establishment license in south dakota requires careful attention to detail, compliance with. The south dakota department of health protects south dakota's residents from sanitation and safety hazards by licensing food service businesses, lodging establishments, and. 65 rows state retail and food service codes and regulations by state. A food establishment must obtain variance from the. South Dakota Food Service Regulations.