Surety Bond On Balance Sheet . Surety bond premiums play a significant role in a company’s financial statements. Learn how the balance sheet plays a role in a surety bond company's decision on whether and how much to bond to a construction company. Understanding the financial accounting and tax implications of surety bonds is essential for companies and professionals who. Therefore, they do not need to be shown on a. If you have a company that relies heavily on surety bonding, or want to grow in the public bonding sector, obtaining review or audit quality statements using percentage of completion accounting that include the necessary work schedules and cost breakdowns is essential. Assets = liabilities + shareholders’ equity. The balance sheet includes all assets and liabilities (segregated into current or long term) and equity of the company, and shows a snapshot of a specific. We request the statements so that we can evaluate the ability of the business and its owner to complete the obligations covered by the bond, as well as to indemnify the surety in the event of a claim. The investment your company makes into this area will benefit. The balance sheet adheres to the following formula: Based on the accounting rules above, performance bonds are an improbable contingent liability. They impact the income statement by increasing. These three balance sheet segments give its reader an idea as to what the company owns and owes, and gives a numeric value of what the company is worth if it were to liquidate all of its assets and pay all of its debts.
from www.financestrategists.com
The investment your company makes into this area will benefit. These three balance sheet segments give its reader an idea as to what the company owns and owes, and gives a numeric value of what the company is worth if it were to liquidate all of its assets and pay all of its debts. Assets = liabilities + shareholders’ equity. Surety bond premiums play a significant role in a company’s financial statements. They impact the income statement by increasing. The balance sheet includes all assets and liabilities (segregated into current or long term) and equity of the company, and shows a snapshot of a specific. Based on the accounting rules above, performance bonds are an improbable contingent liability. The balance sheet adheres to the following formula: Therefore, they do not need to be shown on a. If you have a company that relies heavily on surety bonding, or want to grow in the public bonding sector, obtaining review or audit quality statements using percentage of completion accounting that include the necessary work schedules and cost breakdowns is essential.
Surety Bonds Definition, Types, Process, Advantages, & Risks
Surety Bond On Balance Sheet The investment your company makes into this area will benefit. Based on the accounting rules above, performance bonds are an improbable contingent liability. We request the statements so that we can evaluate the ability of the business and its owner to complete the obligations covered by the bond, as well as to indemnify the surety in the event of a claim. Understanding the financial accounting and tax implications of surety bonds is essential for companies and professionals who. The balance sheet includes all assets and liabilities (segregated into current or long term) and equity of the company, and shows a snapshot of a specific. Surety bond premiums play a significant role in a company’s financial statements. Therefore, they do not need to be shown on a. Assets = liabilities + shareholders’ equity. The balance sheet adheres to the following formula: They impact the income statement by increasing. The investment your company makes into this area will benefit. Learn how the balance sheet plays a role in a surety bond company's decision on whether and how much to bond to a construction company. These three balance sheet segments give its reader an idea as to what the company owns and owes, and gives a numeric value of what the company is worth if it were to liquidate all of its assets and pay all of its debts. If you have a company that relies heavily on surety bonding, or want to grow in the public bonding sector, obtaining review or audit quality statements using percentage of completion accounting that include the necessary work schedules and cost breakdowns is essential.
From www.slideserve.com
PPT Surety Bonds 101 PowerPoint Presentation, free download ID1320769 Surety Bond On Balance Sheet Surety bond premiums play a significant role in a company’s financial statements. Learn how the balance sheet plays a role in a surety bond company's decision on whether and how much to bond to a construction company. The investment your company makes into this area will benefit. Based on the accounting rules above, performance bonds are an improbable contingent liability.. Surety Bond On Balance Sheet.
From mgsuretybonds.com
Surety Bonds and Payroll Protection Program MG Surety Bonds Surety Bond On Balance Sheet Surety bond premiums play a significant role in a company’s financial statements. Learn how the balance sheet plays a role in a surety bond company's decision on whether and how much to bond to a construction company. Based on the accounting rules above, performance bonds are an improbable contingent liability. These three balance sheet segments give its reader an idea. Surety Bond On Balance Sheet.
From surety1.com
Balance Sheet Basics for Bonding Surety Bond On Balance Sheet Understanding the financial accounting and tax implications of surety bonds is essential for companies and professionals who. Assets = liabilities + shareholders’ equity. Learn how the balance sheet plays a role in a surety bond company's decision on whether and how much to bond to a construction company. The balance sheet adheres to the following formula: We request the statements. Surety Bond On Balance Sheet.
From www.educba.com
Surety Bond How does Surety Bond work with Example and FAQ? Surety Bond On Balance Sheet The balance sheet includes all assets and liabilities (segregated into current or long term) and equity of the company, and shows a snapshot of a specific. These three balance sheet segments give its reader an idea as to what the company owns and owes, and gives a numeric value of what the company is worth if it were to liquidate. Surety Bond On Balance Sheet.
From executivesuretybonds.com
Surety Bond Explained Surety Bond On Balance Sheet Assets = liabilities + shareholders’ equity. The balance sheet includes all assets and liabilities (segregated into current or long term) and equity of the company, and shows a snapshot of a specific. They impact the income statement by increasing. Understanding the financial accounting and tax implications of surety bonds is essential for companies and professionals who. The investment your company. Surety Bond On Balance Sheet.
From zipbonds.com
How to Fill Out a Surety Bond Form [Step by Step] ZipBonds Surety Bond On Balance Sheet If you have a company that relies heavily on surety bonding, or want to grow in the public bonding sector, obtaining review or audit quality statements using percentage of completion accounting that include the necessary work schedules and cost breakdowns is essential. Based on the accounting rules above, performance bonds are an improbable contingent liability. The balance sheet adheres to. Surety Bond On Balance Sheet.
From www.youtube.com
Bonds Payable on Balance Sheet Meaning, Example, How Does it Works Surety Bond On Balance Sheet Based on the accounting rules above, performance bonds are an improbable contingent liability. Understanding the financial accounting and tax implications of surety bonds is essential for companies and professionals who. Assets = liabilities + shareholders’ equity. We request the statements so that we can evaluate the ability of the business and its owner to complete the obligations covered by the. Surety Bond On Balance Sheet.
From www.blueridgeriskpartners.com
How Surety Bonds Can Help You Win Contracts Surety Bond On Balance Sheet Based on the accounting rules above, performance bonds are an improbable contingent liability. We request the statements so that we can evaluate the ability of the business and its owner to complete the obligations covered by the bond, as well as to indemnify the surety in the event of a claim. These three balance sheet segments give its reader an. Surety Bond On Balance Sheet.
From www.scribd.com
Surety Bond I Surety Bond Bonds (Finance) Surety Bond On Balance Sheet Based on the accounting rules above, performance bonds are an improbable contingent liability. The balance sheet includes all assets and liabilities (segregated into current or long term) and equity of the company, and shows a snapshot of a specific. The balance sheet adheres to the following formula: They impact the income statement by increasing. If you have a company that. Surety Bond On Balance Sheet.
From alayneabrahams.com
Sba 413 Balance Sheet Excel File Financial Statement Alayneabrahams Surety Bond On Balance Sheet Assets = liabilities + shareholders’ equity. The balance sheet adheres to the following formula: Surety bond premiums play a significant role in a company’s financial statements. If you have a company that relies heavily on surety bonding, or want to grow in the public bonding sector, obtaining review or audit quality statements using percentage of completion accounting that include the. Surety Bond On Balance Sheet.
From www.financestrategists.com
Surety Bonds Definition, Types, Process, Advantages, & Risks Surety Bond On Balance Sheet The balance sheet includes all assets and liabilities (segregated into current or long term) and equity of the company, and shows a snapshot of a specific. Learn how the balance sheet plays a role in a surety bond company's decision on whether and how much to bond to a construction company. We request the statements so that we can evaluate. Surety Bond On Balance Sheet.
From www.afscmetreasurer.org
Surety Bond Form — Fillable Version SecretaryTreasurer Online Surety Bond On Balance Sheet The balance sheet adheres to the following formula: They impact the income statement by increasing. Understanding the financial accounting and tax implications of surety bonds is essential for companies and professionals who. Learn how the balance sheet plays a role in a surety bond company's decision on whether and how much to bond to a construction company. The investment your. Surety Bond On Balance Sheet.
From www.bondexchange.com
How to File a Surety Bond A Comprehensive Guide Surety Bond On Balance Sheet The investment your company makes into this area will benefit. Learn how the balance sheet plays a role in a surety bond company's decision on whether and how much to bond to a construction company. They impact the income statement by increasing. Therefore, they do not need to be shown on a. Assets = liabilities + shareholders’ equity. Based on. Surety Bond On Balance Sheet.
From www.youtube.com
How does surety analyze my balance sheet? YouTube Surety Bond On Balance Sheet Understanding the financial accounting and tax implications of surety bonds is essential for companies and professionals who. Assets = liabilities + shareholders’ equity. If you have a company that relies heavily on surety bonding, or want to grow in the public bonding sector, obtaining review or audit quality statements using percentage of completion accounting that include the necessary work schedules. Surety Bond On Balance Sheet.
From www.amulettejewelry.com
Bond Sinking Fund On Balance Sheet amulette Surety Bond On Balance Sheet The investment your company makes into this area will benefit. The balance sheet includes all assets and liabilities (segregated into current or long term) and equity of the company, and shows a snapshot of a specific. Understanding the financial accounting and tax implications of surety bonds is essential for companies and professionals who. Surety bond premiums play a significant role. Surety Bond On Balance Sheet.
From www.formsbank.com
Fillable Form Ss6004 Surety Bond printable pdf download Surety Bond On Balance Sheet Therefore, they do not need to be shown on a. They impact the income statement by increasing. If you have a company that relies heavily on surety bonding, or want to grow in the public bonding sector, obtaining review or audit quality statements using percentage of completion accounting that include the necessary work schedules and cost breakdowns is essential. Based. Surety Bond On Balance Sheet.
From tradefinanceglobal.com
Surety bonds the key to growing international business Trade Finance Surety Bond On Balance Sheet Learn how the balance sheet plays a role in a surety bond company's decision on whether and how much to bond to a construction company. Based on the accounting rules above, performance bonds are an improbable contingent liability. The investment your company makes into this area will benefit. They impact the income statement by increasing. These three balance sheet segments. Surety Bond On Balance Sheet.
From www.procore.com
Contractor License Bonds Everything You Need to Know Procore Surety Bond On Balance Sheet Understanding the financial accounting and tax implications of surety bonds is essential for companies and professionals who. The investment your company makes into this area will benefit. Therefore, they do not need to be shown on a. They impact the income statement by increasing. These three balance sheet segments give its reader an idea as to what the company owns. Surety Bond On Balance Sheet.
From studyoverflow.com
Understanding Liabilities Reading a Balance Sheet Surety Bond On Balance Sheet The balance sheet adheres to the following formula: Assets = liabilities + shareholders’ equity. If you have a company that relies heavily on surety bonding, or want to grow in the public bonding sector, obtaining review or audit quality statements using percentage of completion accounting that include the necessary work schedules and cost breakdowns is essential. They impact the income. Surety Bond On Balance Sheet.
From www.formsbank.com
Form Si4 Surety Bond printable pdf download Surety Bond On Balance Sheet They impact the income statement by increasing. Surety bond premiums play a significant role in a company’s financial statements. The investment your company makes into this area will benefit. Learn how the balance sheet plays a role in a surety bond company's decision on whether and how much to bond to a construction company. The balance sheet includes all assets. Surety Bond On Balance Sheet.
From www.pinterest.com
What is a "Financial Statement"? Financial statement, Glossary, Bond Surety Bond On Balance Sheet They impact the income statement by increasing. If you have a company that relies heavily on surety bonding, or want to grow in the public bonding sector, obtaining review or audit quality statements using percentage of completion accounting that include the necessary work schedules and cost breakdowns is essential. Based on the accounting rules above, performance bonds are an improbable. Surety Bond On Balance Sheet.
From www.reichinsurance.co.uk
Surety Bonds Surety Bond On Balance Sheet Understanding the financial accounting and tax implications of surety bonds is essential for companies and professionals who. The balance sheet includes all assets and liabilities (segregated into current or long term) and equity of the company, and shows a snapshot of a specific. Surety bond premiums play a significant role in a company’s financial statements. Based on the accounting rules. Surety Bond On Balance Sheet.
From www.slideserve.com
PPT Chapter 11 PowerPoint Presentation, free download ID6810096 Surety Bond On Balance Sheet These three balance sheet segments give its reader an idea as to what the company owns and owes, and gives a numeric value of what the company is worth if it were to liquidate all of its assets and pay all of its debts. The balance sheet includes all assets and liabilities (segregated into current or long term) and equity. Surety Bond On Balance Sheet.
From www.scribd.com
Corporate Surety Bond Surety Bond Bail Surety Bond On Balance Sheet These three balance sheet segments give its reader an idea as to what the company owns and owes, and gives a numeric value of what the company is worth if it were to liquidate all of its assets and pay all of its debts. Surety bond premiums play a significant role in a company’s financial statements. The balance sheet includes. Surety Bond On Balance Sheet.
From www.youtube.com
Bond Issuance Journal Entries and Financial Statement Presentation Surety Bond On Balance Sheet The investment your company makes into this area will benefit. The balance sheet adheres to the following formula: Learn how the balance sheet plays a role in a surety bond company's decision on whether and how much to bond to a construction company. Assets = liabilities + shareholders’ equity. Based on the accounting rules above, performance bonds are an improbable. Surety Bond On Balance Sheet.
From www.dreamstime.com
Financial Concept about SURETY BOND with Sign on the Sheet Stock Image Surety Bond On Balance Sheet The investment your company makes into this area will benefit. These three balance sheet segments give its reader an idea as to what the company owns and owes, and gives a numeric value of what the company is worth if it were to liquidate all of its assets and pay all of its debts. The balance sheet adheres to the. Surety Bond On Balance Sheet.
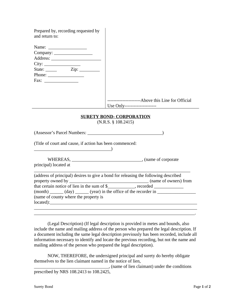
From www.templateroller.com
Surety Bond Form Fill Out, Sign Online and Download PDF Templateroller Surety Bond On Balance Sheet Based on the accounting rules above, performance bonds are an improbable contingent liability. If you have a company that relies heavily on surety bonding, or want to grow in the public bonding sector, obtaining review or audit quality statements using percentage of completion accounting that include the necessary work schedules and cost breakdowns is essential. The investment your company makes. Surety Bond On Balance Sheet.
From www.dreamstime.com
Financial Concept about SURETY BOND with Phrase on the Chart Sheet Surety Bond On Balance Sheet Based on the accounting rules above, performance bonds are an improbable contingent liability. Understanding the financial accounting and tax implications of surety bonds is essential for companies and professionals who. These three balance sheet segments give its reader an idea as to what the company owns and owes, and gives a numeric value of what the company is worth if. Surety Bond On Balance Sheet.
From www.scribd.com
Sf 25a 98 Payment Bond Surety Bond Business Law Surety Bond On Balance Sheet Understanding the financial accounting and tax implications of surety bonds is essential for companies and professionals who. Assets = liabilities + shareholders’ equity. Surety bond premiums play a significant role in a company’s financial statements. Therefore, they do not need to be shown on a. The balance sheet adheres to the following formula: The balance sheet includes all assets and. Surety Bond On Balance Sheet.
From www.pdffiller.com
nevada surety bond Doc Template pdfFiller Surety Bond On Balance Sheet The balance sheet includes all assets and liabilities (segregated into current or long term) and equity of the company, and shows a snapshot of a specific. They impact the income statement by increasing. Surety bond premiums play a significant role in a company’s financial statements. If you have a company that relies heavily on surety bonding, or want to grow. Surety Bond On Balance Sheet.
From www.scribd.com
Sample Surety Bond Surety Bond Business Law Surety Bond On Balance Sheet The balance sheet includes all assets and liabilities (segregated into current or long term) and equity of the company, and shows a snapshot of a specific. The investment your company makes into this area will benefit. Based on the accounting rules above, performance bonds are an improbable contingent liability. Therefore, they do not need to be shown on a. Surety. Surety Bond On Balance Sheet.
From www.scribd.com
Template PDF Surety Bond Guarantee Surety Bond On Balance Sheet Therefore, they do not need to be shown on a. The balance sheet includes all assets and liabilities (segregated into current or long term) and equity of the company, and shows a snapshot of a specific. They impact the income statement by increasing. Assets = liabilities + shareholders’ equity. Understanding the financial accounting and tax implications of surety bonds is. Surety Bond On Balance Sheet.
From www.thebalance.com
How to Read a Balance Sheet Surety Bond On Balance Sheet The balance sheet adheres to the following formula: Assets = liabilities + shareholders’ equity. Based on the accounting rules above, performance bonds are an improbable contingent liability. If you have a company that relies heavily on surety bonding, or want to grow in the public bonding sector, obtaining review or audit quality statements using percentage of completion accounting that include. Surety Bond On Balance Sheet.
From www.bondexchange.com
Why Surety Companies Require Financial Statements BondExchange Surety Bond On Balance Sheet Based on the accounting rules above, performance bonds are an improbable contingent liability. If you have a company that relies heavily on surety bonding, or want to grow in the public bonding sector, obtaining review or audit quality statements using percentage of completion accounting that include the necessary work schedules and cost breakdowns is essential. The investment your company makes. Surety Bond On Balance Sheet.
From www.templateroller.com
Surety Bond Form Fill Out, Sign Online and Download PDF Templateroller Surety Bond On Balance Sheet Based on the accounting rules above, performance bonds are an improbable contingent liability. Surety bond premiums play a significant role in a company’s financial statements. The balance sheet includes all assets and liabilities (segregated into current or long term) and equity of the company, and shows a snapshot of a specific. The investment your company makes into this area will. Surety Bond On Balance Sheet.