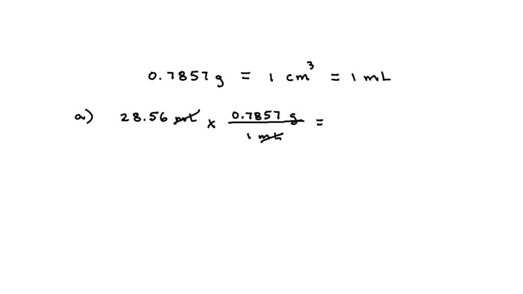
Acetone (Nail Polish Remover) Has A Density Of 0.7857 G/Cm3 . 1) what is the mass, in grams, of 28.70 mlml of acetone? A) to find the mass of acetone, we can use the formula: Given that the density of acetone is 0.7857 g/cm3 and the. The question involves calculating the mass and volume of acetone using its density. Acetone (nail polish remover) has a density of 0.7857 g/cm^3. Mass (g) = density (g/cm³) × volume (ml). Acetone (nail polish remover) has a density of 0.7857 g>cm3. This formula helps to identify the density of a substance by dividing the mass (typically in grams) by the volume (often in cubic centimeters or. Mass = density x volume. Note that 1 ml is equivalent to 1 cm³. What is the mass in g of 28.56 ml of acetone? B) what is the volume, in ml, of. To solve both parts of the question,. A) what is the mass, in g, of 28.68 ml of acetone? To calculate the mass of acetone, use the formula:
from www.walgreens.com
What is the mass in g of 28.56 ml of acetone? A) to find the mass of acetone, we can use the formula: The question involves calculating the mass and volume of acetone using its density. To solve both parts of the question,. A) what is the mass, in g, of 28.68 ml of acetone? Acetone (nail polish remover) has a density of 0.7857 g/cm3. What is the volume in ml of 6.54 g. 1) what is the mass, in grams, of 28.70 mlml of acetone? Acetone (nail polish remover) has a density of 0.7857 g>cm3. Mass = density x volume.
Walgreens 100 Acetone Nail Polish Remover 175 mL Walgreens
Acetone (Nail Polish Remover) Has A Density Of 0.7857 G/Cm3 To solve both parts of the question,. The question involves calculating the mass and volume of acetone using its density. This formula helps to identify the density of a substance by dividing the mass (typically in grams) by the volume (often in cubic centimeters or. Acetone (nail polish remover) has a density of 0.7857 g/cm3. To solve both parts of the question,. Acetone (nail polish remover) has a density of 0.7857 g>cm3. Note that 1 ml is equivalent to 1 cm³. Mass = density x volume. A) what is the mass, in g, of 28.68 ml of acetone? Mass (g) = density (g/cm³) × volume (ml). What is the volume in ml of 6.54 g. B) what is the volume, in ml, of. Given that the density of acetone is 0.7857 g/cm3 and the. A) to find the mass of acetone, we can use the formula: To calculate the mass of acetone, use the formula: What is the mass in g of 28.56 ml of acetone?
From www.numerade.com
SOLVEDAcetone (nail polish remover) has a density of 0.7857 g / cm^3 Acetone (Nail Polish Remover) Has A Density Of 0.7857 G/Cm3 1) what is the mass, in grams, of 28.70 mlml of acetone? A) to find the mass of acetone, we can use the formula: Acetone (nail polish remover) has a density of 0.7857 g/cm3. B) what is the volume, in ml, of. To solve both parts of the question,. This formula helps to identify the density of a substance by. Acetone (Nail Polish Remover) Has A Density Of 0.7857 G/Cm3.
From www.youtube.com
Acetone, the solvent in nail polish remover, has a density of 0791 g/mL Acetone (Nail Polish Remover) Has A Density Of 0.7857 G/Cm3 A) what is the mass, in g, of 28.68 ml of acetone? Acetone (nail polish remover) has a density of 0.7857 g>cm3. 1) what is the mass, in grams, of 28.70 mlml of acetone? This formula helps to identify the density of a substance by dividing the mass (typically in grams) by the volume (often in cubic centimeters or. Note. Acetone (Nail Polish Remover) Has A Density Of 0.7857 G/Cm3.
From shop.echemco.com
Pure Acetone Chemco Corporation Acetone (Nail Polish Remover) Has A Density Of 0.7857 G/Cm3 B) what is the volume, in ml, of. What is the mass in g of 28.56 ml of acetone? The question involves calculating the mass and volume of acetone using its density. What is the volume in ml of 6.54 g. Mass (g) = density (g/cm³) × volume (ml). 1) what is the mass, in grams, of 28.70 mlml of. Acetone (Nail Polish Remover) Has A Density Of 0.7857 G/Cm3.
From www.lazada.com.ph
YOUNG'S ACETONE Nail Polish Removal 30ml x12PCS in 1 Pack Lazada PH Acetone (Nail Polish Remover) Has A Density Of 0.7857 G/Cm3 To solve both parts of the question,. Mass = density x volume. Given that the density of acetone is 0.7857 g/cm3 and the. What is the volume in ml of 6.54 g. The question involves calculating the mass and volume of acetone using its density. A) to find the mass of acetone, we can use the formula: A) what is. Acetone (Nail Polish Remover) Has A Density Of 0.7857 G/Cm3.
From www.nailpolishdirect.co.uk
Edge Nails High Grade Acetone Remover 250ml at Nail Polish Direct Acetone (Nail Polish Remover) Has A Density Of 0.7857 G/Cm3 Acetone (nail polish remover) has a density of 0.7857 g>cm3. Note that 1 ml is equivalent to 1 cm³. Acetone (nail polish remover) has a density of 0.7857 g/cm^3. What is the volume in ml of 6.54 g. B) what is the volume, in ml, of. This formula helps to identify the density of a substance by dividing the mass. Acetone (Nail Polish Remover) Has A Density Of 0.7857 G/Cm3.
From exokaovyy.blob.core.windows.net
Acetone (Nail Polish Remover) Has A Density Of 0.7857 G/Cm3 at Dawn Acetone (Nail Polish Remover) Has A Density Of 0.7857 G/Cm3 The question involves calculating the mass and volume of acetone using its density. A) to find the mass of acetone, we can use the formula: Given that the density of acetone is 0.7857 g/cm3 and the. A) what is the mass, in g, of 28.68 ml of acetone? Acetone (nail polish remover) has a density of 0.7857 g/cm^3. 1) what. Acetone (Nail Polish Remover) Has A Density Of 0.7857 G/Cm3.
From www.numerade.com
⏩SOLVEDAcetone (nail polish remover) has a density of 0.7857 g Acetone (Nail Polish Remover) Has A Density Of 0.7857 G/Cm3 Mass (g) = density (g/cm³) × volume (ml). To solve both parts of the question,. This formula helps to identify the density of a substance by dividing the mass (typically in grams) by the volume (often in cubic centimeters or. What is the volume in ml of 6.54 g. Acetone (nail polish remover) has a density of 0.7857 g>cm3. Note. Acetone (Nail Polish Remover) Has A Density Of 0.7857 G/Cm3.
From www.walmart.com
SuperNail Super Nail Pure Acetone Polish Remover, 8 oz Acetone (Nail Polish Remover) Has A Density Of 0.7857 G/Cm3 Mass (g) = density (g/cm³) × volume (ml). Note that 1 ml is equivalent to 1 cm³. To calculate the mass of acetone, use the formula: A) what is the mass, in g, of 28.68 ml of acetone? The question involves calculating the mass and volume of acetone using its density. 1) what is the mass, in grams, of 28.70. Acetone (Nail Polish Remover) Has A Density Of 0.7857 G/Cm3.
From www.kroger.com
Walgreens 100 Acetone Nail Polish Remover, 5.9 fl oz Kroger Acetone (Nail Polish Remover) Has A Density Of 0.7857 G/Cm3 To solve both parts of the question,. Note that 1 ml is equivalent to 1 cm³. To calculate the mass of acetone, use the formula: What is the volume in ml of 6.54 g. A) to find the mass of acetone, we can use the formula: Acetone (nail polish remover) has a density of 0.7857 g/cm^3. B) what is the. Acetone (Nail Polish Remover) Has A Density Of 0.7857 G/Cm3.
From www.allthescience.org
What Is the Density of Acetone? (with picture) Acetone (Nail Polish Remover) Has A Density Of 0.7857 G/Cm3 A) to find the mass of acetone, we can use the formula: Acetone (nail polish remover) has a density of 0.7857 g>cm3. Given that the density of acetone is 0.7857 g/cm3 and the. What is the volume in ml of 6.54 g. What is the mass in g of 28.56 ml of acetone? To calculate the mass of acetone, use. Acetone (Nail Polish Remover) Has A Density Of 0.7857 G/Cm3.
From www.numerade.com
SOLVEDAcetone (nail polish remover) has a density of 0.7857 g / cm^3 Acetone (Nail Polish Remover) Has A Density Of 0.7857 G/Cm3 Given that the density of acetone is 0.7857 g/cm3 and the. To calculate the mass of acetone, use the formula: What is the mass in g of 28.56 ml of acetone? Note that 1 ml is equivalent to 1 cm³. Acetone (nail polish remover) has a density of 0.7857 g/cm^3. What is the volume in ml of 6.54 g. This. Acetone (Nail Polish Remover) Has A Density Of 0.7857 G/Cm3.
From www.chegg.com
Solved Acetone (nail polish remover) has a density of 0.7857 Acetone (Nail Polish Remover) Has A Density Of 0.7857 G/Cm3 Acetone (nail polish remover) has a density of 0.7857 g/cm^3. To solve both parts of the question,. What is the mass in g of 28.56 ml of acetone? Acetone (nail polish remover) has a density of 0.7857 g>cm3. A) what is the mass, in g, of 28.68 ml of acetone? Note that 1 ml is equivalent to 1 cm³. A). Acetone (Nail Polish Remover) Has A Density Of 0.7857 G/Cm3.
From www.chegg.com
Solved Acetone (fingernail polish remover) has a density of Acetone (Nail Polish Remover) Has A Density Of 0.7857 G/Cm3 Acetone (nail polish remover) has a density of 0.7857 g>cm3. What is the mass in g of 28.56 ml of acetone? A) to find the mass of acetone, we can use the formula: To calculate the mass of acetone, use the formula: B) what is the volume, in ml, of. What is the volume in ml of 6.54 g. Given. Acetone (Nail Polish Remover) Has A Density Of 0.7857 G/Cm3.
From www.chegg.com
Solved Acetone (nail polish remover) has a density of 0.7857 Acetone (Nail Polish Remover) Has A Density Of 0.7857 G/Cm3 1) what is the mass, in grams, of 28.70 mlml of acetone? A) to find the mass of acetone, we can use the formula: B) what is the volume, in ml, of. What is the volume in ml of 6.54 g. Acetone (nail polish remover) has a density of 0.7857 g/cm3. The question involves calculating the mass and volume of. Acetone (Nail Polish Remover) Has A Density Of 0.7857 G/Cm3.
From www.numerade.com
SOLVED Acetone (nail polish remover) has a density of 0.7857 g / cm^3 Acetone (Nail Polish Remover) Has A Density Of 0.7857 G/Cm3 Given that the density of acetone is 0.7857 g/cm3 and the. To calculate the mass of acetone, use the formula: The question involves calculating the mass and volume of acetone using its density. Note that 1 ml is equivalent to 1 cm³. A) what is the mass, in g, of 28.68 ml of acetone? Mass (g) = density (g/cm³) ×. Acetone (Nail Polish Remover) Has A Density Of 0.7857 G/Cm3.
From www.numerade.com
SOLVED Acetone (nail polish remover) has a density of 0.7857 g>cm3. b Acetone (Nail Polish Remover) Has A Density Of 0.7857 G/Cm3 A) to find the mass of acetone, we can use the formula: Given that the density of acetone is 0.7857 g/cm3 and the. To calculate the mass of acetone, use the formula: Acetone (nail polish remover) has a density of 0.7857 g>cm3. Mass = density x volume. To solve both parts of the question,. What is the mass in g. Acetone (Nail Polish Remover) Has A Density Of 0.7857 G/Cm3.
From www.numerade.com
SOLVED Acetone (nail polish remover) has a density of 0.7857 g/cm^3 Acetone (Nail Polish Remover) Has A Density Of 0.7857 G/Cm3 What is the volume in ml of 6.54 g. Given that the density of acetone is 0.7857 g/cm3 and the. Acetone (nail polish remover) has a density of 0.7857 g/cm3. B) what is the volume, in ml, of. A) what is the mass, in g, of 28.68 ml of acetone? Acetone (nail polish remover) has a density of 0.7857 g>cm3.. Acetone (Nail Polish Remover) Has A Density Of 0.7857 G/Cm3.
From ar.inspiredpencil.com
Acetone Nail Polish Remover Acetone (Nail Polish Remover) Has A Density Of 0.7857 G/Cm3 Mass (g) = density (g/cm³) × volume (ml). What is the mass in g of 28.56 ml of acetone? The question involves calculating the mass and volume of acetone using its density. 1) what is the mass, in grams, of 28.70 mlml of acetone? This formula helps to identify the density of a substance by dividing the mass (typically in. Acetone (Nail Polish Remover) Has A Density Of 0.7857 G/Cm3.
From www.wilko.com
Cutex Acetone Free Nail Polish Remover 200ml Wilko Acetone (Nail Polish Remover) Has A Density Of 0.7857 G/Cm3 Acetone (nail polish remover) has a density of 0.7857 g>cm3. A) what is the mass, in g, of 28.68 ml of acetone? What is the mass in g of 28.56 ml of acetone? Acetone (nail polish remover) has a density of 0.7857 g/cm^3. Mass (g) = density (g/cm³) × volume (ml). B) what is the volume, in ml, of. This. Acetone (Nail Polish Remover) Has A Density Of 0.7857 G/Cm3.
From exokaovyy.blob.core.windows.net
Acetone (Nail Polish Remover) Has A Density Of 0.7857 G/Cm3 at Dawn Acetone (Nail Polish Remover) Has A Density Of 0.7857 G/Cm3 This formula helps to identify the density of a substance by dividing the mass (typically in grams) by the volume (often in cubic centimeters or. A) what is the mass, in g, of 28.68 ml of acetone? A) to find the mass of acetone, we can use the formula: Note that 1 ml is equivalent to 1 cm³. What is. Acetone (Nail Polish Remover) Has A Density Of 0.7857 G/Cm3.
From www.nailpolishdirect.co.uk
Edge Nails High Grade Acetone Remover 60ml at Nail Polish Direct Acetone (Nail Polish Remover) Has A Density Of 0.7857 G/Cm3 To solve both parts of the question,. To calculate the mass of acetone, use the formula: A) what is the mass, in g, of 28.68 ml of acetone? Mass = density x volume. What is the volume in ml of 6.54 g. What is the mass in g of 28.56 ml of acetone? Acetone (nail polish remover) has a density. Acetone (Nail Polish Remover) Has A Density Of 0.7857 G/Cm3.
From www.walgreens.com
Walgreens 100 Acetone Nail Polish Remover 266 mL Walgreens Acetone (Nail Polish Remover) Has A Density Of 0.7857 G/Cm3 What is the mass in g of 28.56 ml of acetone? The question involves calculating the mass and volume of acetone using its density. Acetone (nail polish remover) has a density of 0.7857 g/cm^3. Mass = density x volume. What is the volume in ml of 6.54 g. Mass (g) = density (g/cm³) × volume (ml). Acetone (nail polish remover). Acetone (Nail Polish Remover) Has A Density Of 0.7857 G/Cm3.
From www.primark.com
PS Acetone Free Nail Polish Remover Primark Acetone (Nail Polish Remover) Has A Density Of 0.7857 G/Cm3 The question involves calculating the mass and volume of acetone using its density. Acetone (nail polish remover) has a density of 0.7857 g/cm^3. A) to find the mass of acetone, we can use the formula: B) what is the volume, in ml, of. What is the mass in g of 28.56 ml of acetone? Mass (g) = density (g/cm³) ×. Acetone (Nail Polish Remover) Has A Density Of 0.7857 G/Cm3.
From www.chegg.com
Solved Acetone (nail polish remover) has a density of 0.7857 Chegg Acetone (Nail Polish Remover) Has A Density Of 0.7857 G/Cm3 What is the mass in g of 28.56 ml of acetone? A) to find the mass of acetone, we can use the formula: A) what is the mass, in g, of 28.68 ml of acetone? To calculate the mass of acetone, use the formula: Acetone (nail polish remover) has a density of 0.7857 g>cm3. The question involves calculating the mass. Acetone (Nail Polish Remover) Has A Density Of 0.7857 G/Cm3.
From www.amazon.com
PRONAIL NonAcetone Nail Polish Remover Professional Acetone (Nail Polish Remover) Has A Density Of 0.7857 G/Cm3 To solve both parts of the question,. This formula helps to identify the density of a substance by dividing the mass (typically in grams) by the volume (often in cubic centimeters or. A) what is the mass, in g, of 28.68 ml of acetone? A) to find the mass of acetone, we can use the formula: Mass = density x. Acetone (Nail Polish Remover) Has A Density Of 0.7857 G/Cm3.
From exokaovyy.blob.core.windows.net
Acetone (Nail Polish Remover) Has A Density Of 0.7857 G/Cm3 at Dawn Acetone (Nail Polish Remover) Has A Density Of 0.7857 G/Cm3 A) to find the mass of acetone, we can use the formula: B) what is the volume, in ml, of. Given that the density of acetone is 0.7857 g/cm3 and the. To solve both parts of the question,. Note that 1 ml is equivalent to 1 cm³. Acetone (nail polish remover) has a density of 0.7857 g>cm3. Acetone (nail polish. Acetone (Nail Polish Remover) Has A Density Of 0.7857 G/Cm3.
From www.numerade.com
SOLVEDAcetone, the solvent in some nail polish removers, has a density Acetone (Nail Polish Remover) Has A Density Of 0.7857 G/Cm3 To calculate the mass of acetone, use the formula: The question involves calculating the mass and volume of acetone using its density. What is the volume in ml of 6.54 g. Note that 1 ml is equivalent to 1 cm³. Acetone (nail polish remover) has a density of 0.7857 g>cm3. This formula helps to identify the density of a substance. Acetone (Nail Polish Remover) Has A Density Of 0.7857 G/Cm3.
From www.walgreens.com
Walgreens 100 Acetone Nail Polish Remover 473 mL Walgreens Acetone (Nail Polish Remover) Has A Density Of 0.7857 G/Cm3 A) what is the mass, in g, of 28.68 ml of acetone? What is the mass in g of 28.56 ml of acetone? Given that the density of acetone is 0.7857 g/cm3 and the. To solve both parts of the question,. The question involves calculating the mass and volume of acetone using its density. Acetone (nail polish remover) has a. Acetone (Nail Polish Remover) Has A Density Of 0.7857 G/Cm3.
From www.pinterest.com
Eternal Gel Polish Remover for Nails 100 Acetone Nail Polish Remover Acetone (Nail Polish Remover) Has A Density Of 0.7857 G/Cm3 1) what is the mass, in grams, of 28.70 mlml of acetone? Acetone (nail polish remover) has a density of 0.7857 g/cm^3. Mass (g) = density (g/cm³) × volume (ml). Acetone (nail polish remover) has a density of 0.7857 g/cm3. Mass = density x volume. Given that the density of acetone is 0.7857 g/cm3 and the. A) to find the. Acetone (Nail Polish Remover) Has A Density Of 0.7857 G/Cm3.
From www.lazada.com.ph
NAIL POLISH REMOVER / ACETONE Lazada PH Acetone (Nail Polish Remover) Has A Density Of 0.7857 G/Cm3 What is the volume in ml of 6.54 g. This formula helps to identify the density of a substance by dividing the mass (typically in grams) by the volume (often in cubic centimeters or. Acetone (nail polish remover) has a density of 0.7857 g/cm^3. What is the mass in g of 28.56 ml of acetone? B) what is the volume,. Acetone (Nail Polish Remover) Has A Density Of 0.7857 G/Cm3.
From exokaovyy.blob.core.windows.net
Acetone (Nail Polish Remover) Has A Density Of 0.7857 G/Cm3 at Dawn Acetone (Nail Polish Remover) Has A Density Of 0.7857 G/Cm3 The question involves calculating the mass and volume of acetone using its density. Mass (g) = density (g/cm³) × volume (ml). B) what is the volume, in ml, of. Acetone (nail polish remover) has a density of 0.7857 g>cm3. Mass = density x volume. Note that 1 ml is equivalent to 1 cm³. A) what is the mass, in g,. Acetone (Nail Polish Remover) Has A Density Of 0.7857 G/Cm3.
From www.pinterest.co.uk
Eternal 100 Pure Acetone Quick Professional UltraPowerful Nail Acetone (Nail Polish Remover) Has A Density Of 0.7857 G/Cm3 Acetone (nail polish remover) has a density of 0.7857 g>cm3. To calculate the mass of acetone, use the formula: This formula helps to identify the density of a substance by dividing the mass (typically in grams) by the volume (often in cubic centimeters or. Note that 1 ml is equivalent to 1 cm³. What is the volume in ml of. Acetone (Nail Polish Remover) Has A Density Of 0.7857 G/Cm3.
From www.amazon.ca
Acetone Nail Polish Remover Pure Acetone Nail Glue Gel Nails and Acetone (Nail Polish Remover) Has A Density Of 0.7857 G/Cm3 To calculate the mass of acetone, use the formula: Acetone (nail polish remover) has a density of 0.7857 g>cm3. The question involves calculating the mass and volume of acetone using its density. A) what is the mass, in g, of 28.68 ml of acetone? What is the mass in g of 28.56 ml of acetone? A) to find the mass. Acetone (Nail Polish Remover) Has A Density Of 0.7857 G/Cm3.
From www.walgreens.com
Walgreens 100 Acetone Nail Polish Remover 175 mL Walgreens Acetone (Nail Polish Remover) Has A Density Of 0.7857 G/Cm3 Given that the density of acetone is 0.7857 g/cm3 and the. Acetone (nail polish remover) has a density of 0.7857 g/cm3. A) what is the mass, in g, of 28.68 ml of acetone? The question involves calculating the mass and volume of acetone using its density. Mass = density x volume. Note that 1 ml is equivalent to 1 cm³.. Acetone (Nail Polish Remover) Has A Density Of 0.7857 G/Cm3.
From www.numerade.com
SOLVED 25. Acetone has a density of 0.791 g/mL. What is the volume in Acetone (Nail Polish Remover) Has A Density Of 0.7857 G/Cm3 Acetone (nail polish remover) has a density of 0.7857 g/cm^3. This formula helps to identify the density of a substance by dividing the mass (typically in grams) by the volume (often in cubic centimeters or. Mass = density x volume. Acetone (nail polish remover) has a density of 0.7857 g/cm3. What is the volume in ml of 6.54 g. To. Acetone (Nail Polish Remover) Has A Density Of 0.7857 G/Cm3.