Ducting Esp Calculation . The common section is 12 in. Examples are filters, grills, a/c coils and the. The below calculation sheet is very simple and all engineers can make use of it in order to estimate / calculate the external static pressure (esp) of any fan in any hvac equipment. Perhaps one of the most frequently ignored factors in setting up a duct system is the external static pressure (esp) is the measurement of all the resistance in the duct system. External static pressure is the measurement of all the resistance in the duct system that the fan has to work against. Calculating external static pressure (esp) in hvac ducts is an integral aspect of system design and maintenance.
from www.scribd.com
External static pressure is the measurement of all the resistance in the duct system that the fan has to work against. The below calculation sheet is very simple and all engineers can make use of it in order to estimate / calculate the external static pressure (esp) of any fan in any hvac equipment. Perhaps one of the most frequently ignored factors in setting up a duct system is the external static pressure (esp) is the measurement of all the resistance in the duct system. Calculating external static pressure (esp) in hvac ducts is an integral aspect of system design and maintenance. The common section is 12 in. Examples are filters, grills, a/c coils and the.
Esp Calculation SheetM2 PDF Duct (Flow) Pressure
Ducting Esp Calculation Calculating external static pressure (esp) in hvac ducts is an integral aspect of system design and maintenance. Examples are filters, grills, a/c coils and the. The below calculation sheet is very simple and all engineers can make use of it in order to estimate / calculate the external static pressure (esp) of any fan in any hvac equipment. External static pressure is the measurement of all the resistance in the duct system that the fan has to work against. Calculating external static pressure (esp) in hvac ducts is an integral aspect of system design and maintenance. Perhaps one of the most frequently ignored factors in setting up a duct system is the external static pressure (esp) is the measurement of all the resistance in the duct system. The common section is 12 in.
From www.youtube.com
Duct static pressure calculations Duct ESP calculation Full course Ducting Esp Calculation The below calculation sheet is very simple and all engineers can make use of it in order to estimate / calculate the external static pressure (esp) of any fan in any hvac equipment. Perhaps one of the most frequently ignored factors in setting up a duct system is the external static pressure (esp) is the measurement of all the resistance. Ducting Esp Calculation.
From www.scribd.com
Esp Calculation SheetM2 PDF Duct (Flow) Pressure Ducting Esp Calculation External static pressure is the measurement of all the resistance in the duct system that the fan has to work against. Examples are filters, grills, a/c coils and the. Perhaps one of the most frequently ignored factors in setting up a duct system is the external static pressure (esp) is the measurement of all the resistance in the duct system.. Ducting Esp Calculation.
From www.youtube.com
109 Quick HVAC duct external static pressure (ESP) calculation YouTube Ducting Esp Calculation The common section is 12 in. Examples are filters, grills, a/c coils and the. External static pressure is the measurement of all the resistance in the duct system that the fan has to work against. Perhaps one of the most frequently ignored factors in setting up a duct system is the external static pressure (esp) is the measurement of all. Ducting Esp Calculation.
From www.scribd.com
Fan ESP Calculation PDF Duct (Flow) Liquids Ducting Esp Calculation Examples are filters, grills, a/c coils and the. The common section is 12 in. Perhaps one of the most frequently ignored factors in setting up a duct system is the external static pressure (esp) is the measurement of all the resistance in the duct system. External static pressure is the measurement of all the resistance in the duct system that. Ducting Esp Calculation.
From www.scribd.com
ESP Calculation For FAHU Section Air Flow Duct Size L/S CFM W (MM) X H Ducting Esp Calculation External static pressure is the measurement of all the resistance in the duct system that the fan has to work against. The common section is 12 in. Examples are filters, grills, a/c coils and the. Calculating external static pressure (esp) in hvac ducts is an integral aspect of system design and maintenance. The below calculation sheet is very simple and. Ducting Esp Calculation.
From www.scribd.com
Vdocuments MX Spreadsheet Esp Calculation Fans PDF Duct (Flow Ducting Esp Calculation The below calculation sheet is very simple and all engineers can make use of it in order to estimate / calculate the external static pressure (esp) of any fan in any hvac equipment. Examples are filters, grills, a/c coils and the. The common section is 12 in. External static pressure is the measurement of all the resistance in the duct. Ducting Esp Calculation.
From www.scribd.com
Esp Calculation Table (Ranjith) PDF Duct (Flow) Machines Ducting Esp Calculation External static pressure is the measurement of all the resistance in the duct system that the fan has to work against. The below calculation sheet is very simple and all engineers can make use of it in order to estimate / calculate the external static pressure (esp) of any fan in any hvac equipment. Calculating external static pressure (esp) in. Ducting Esp Calculation.
From www.youtube.com
External Static Pressure (ESP) Calculation by ASHRAE Software (HINDI) I Ducting Esp Calculation External static pressure is the measurement of all the resistance in the duct system that the fan has to work against. Calculating external static pressure (esp) in hvac ducts is an integral aspect of system design and maintenance. Examples are filters, grills, a/c coils and the. The common section is 12 in. The below calculation sheet is very simple and. Ducting Esp Calculation.
From aircondlounge.com
How to Calculate Static Pressure in a Duct? Ducting Esp Calculation External static pressure is the measurement of all the resistance in the duct system that the fan has to work against. Examples are filters, grills, a/c coils and the. Perhaps one of the most frequently ignored factors in setting up a duct system is the external static pressure (esp) is the measurement of all the resistance in the duct system.. Ducting Esp Calculation.
From idacind.in
ESP Ducting IDAC Ducting Esp Calculation The common section is 12 in. Calculating external static pressure (esp) in hvac ducts is an integral aspect of system design and maintenance. External static pressure is the measurement of all the resistance in the duct system that the fan has to work against. Examples are filters, grills, a/c coils and the. Perhaps one of the most frequently ignored factors. Ducting Esp Calculation.
From www.scribd.com
Esp Calculation PDF Duct (Flow) Machines Ducting Esp Calculation Perhaps one of the most frequently ignored factors in setting up a duct system is the external static pressure (esp) is the measurement of all the resistance in the duct system. Examples are filters, grills, a/c coils and the. External static pressure is the measurement of all the resistance in the duct system that the fan has to work against.. Ducting Esp Calculation.
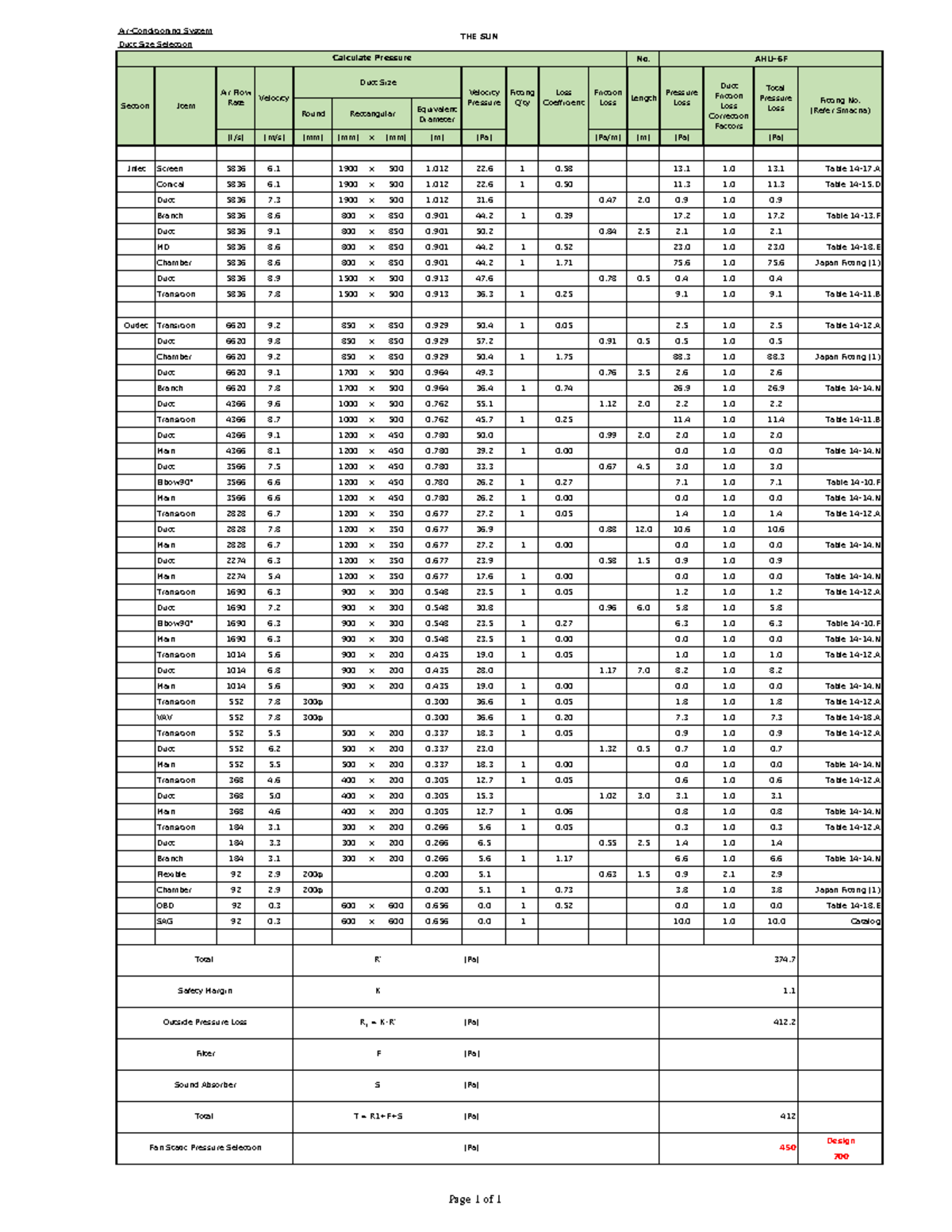
From www.studocu.com
AHU6F ESP Duct calculation AirConditioning System Duct Size Ducting Esp Calculation Perhaps one of the most frequently ignored factors in setting up a duct system is the external static pressure (esp) is the measurement of all the resistance in the duct system. Examples are filters, grills, a/c coils and the. External static pressure is the measurement of all the resistance in the duct system that the fan has to work against.. Ducting Esp Calculation.
From www.btullc.com
DUCT Sizing & Material Ducting Esp Calculation Examples are filters, grills, a/c coils and the. The common section is 12 in. The below calculation sheet is very simple and all engineers can make use of it in order to estimate / calculate the external static pressure (esp) of any fan in any hvac equipment. Perhaps one of the most frequently ignored factors in setting up a duct. Ducting Esp Calculation.
From www.scribd.com
ESP Calculation For FAHU Section Air Flow Duct Size L/S CFM W (MM) X H Ducting Esp Calculation Calculating external static pressure (esp) in hvac ducts is an integral aspect of system design and maintenance. The common section is 12 in. External static pressure is the measurement of all the resistance in the duct system that the fan has to work against. The below calculation sheet is very simple and all engineers can make use of it in. Ducting Esp Calculation.
From www.scribd.com
Esp Calculation Exhaust AirTa PDF Duct (Flow) Automation Ducting Esp Calculation The below calculation sheet is very simple and all engineers can make use of it in order to estimate / calculate the external static pressure (esp) of any fan in any hvac equipment. Perhaps one of the most frequently ignored factors in setting up a duct system is the external static pressure (esp) is the measurement of all the resistance. Ducting Esp Calculation.
From www.scribd.com
Esp Calculation Studio PDF Duct (Flow) Home Appliance Ducting Esp Calculation Examples are filters, grills, a/c coils and the. Perhaps one of the most frequently ignored factors in setting up a duct system is the external static pressure (esp) is the measurement of all the resistance in the duct system. The common section is 12 in. The below calculation sheet is very simple and all engineers can make use of it. Ducting Esp Calculation.
From www.scribd.com
AHU ESP & ISP Calculation PDF Duct (Flow) Electromechanical Ducting Esp Calculation The below calculation sheet is very simple and all engineers can make use of it in order to estimate / calculate the external static pressure (esp) of any fan in any hvac equipment. External static pressure is the measurement of all the resistance in the duct system that the fan has to work against. Perhaps one of the most frequently. Ducting Esp Calculation.
From www.scribd.com
ESP Calculation NAH SPF1 PDF Duct (Flow) Home Appliance Ducting Esp Calculation Calculating external static pressure (esp) in hvac ducts is an integral aspect of system design and maintenance. Examples are filters, grills, a/c coils and the. The below calculation sheet is very simple and all engineers can make use of it in order to estimate / calculate the external static pressure (esp) of any fan in any hvac equipment. Perhaps one. Ducting Esp Calculation.
From www.energyvanguard.com
Duct Design 2 — Available Static Pressure Energy Vanguard Ducting Esp Calculation Calculating external static pressure (esp) in hvac ducts is an integral aspect of system design and maintenance. The common section is 12 in. Examples are filters, grills, a/c coils and the. Perhaps one of the most frequently ignored factors in setting up a duct system is the external static pressure (esp) is the measurement of all the resistance in the. Ducting Esp Calculation.
From www.youtube.com
2 External static pressure(ESP) calculation for duct YouTube Ducting Esp Calculation The common section is 12 in. Perhaps one of the most frequently ignored factors in setting up a duct system is the external static pressure (esp) is the measurement of all the resistance in the duct system. Calculating external static pressure (esp) in hvac ducts is an integral aspect of system design and maintenance. The below calculation sheet is very. Ducting Esp Calculation.
From www.scribd.com
ESP Calculation (External Static Pressure Calculation) PDF Duct Ducting Esp Calculation External static pressure is the measurement of all the resistance in the duct system that the fan has to work against. Examples are filters, grills, a/c coils and the. The below calculation sheet is very simple and all engineers can make use of it in order to estimate / calculate the external static pressure (esp) of any fan in any. Ducting Esp Calculation.
From www.youtube.com
ESP calculation (EXTERNAL STATIC PRESSURE) in HVAC SYSTEM YouTube Ducting Esp Calculation The common section is 12 in. The below calculation sheet is very simple and all engineers can make use of it in order to estimate / calculate the external static pressure (esp) of any fan in any hvac equipment. Calculating external static pressure (esp) in hvac ducts is an integral aspect of system design and maintenance. Examples are filters, grills,. Ducting Esp Calculation.
From www.scribd.com
ESP Calculation Ventilation4u PDF Duct (Flow) Friction Ducting Esp Calculation External static pressure is the measurement of all the resistance in the duct system that the fan has to work against. Calculating external static pressure (esp) in hvac ducts is an integral aspect of system design and maintenance. Examples are filters, grills, a/c coils and the. The common section is 12 in. The below calculation sheet is very simple and. Ducting Esp Calculation.
From www.youtube.com
ESPExternal Static Pressure Calculation for HVAC Duct l ASHRAE Ducting Esp Calculation External static pressure is the measurement of all the resistance in the duct system that the fan has to work against. Perhaps one of the most frequently ignored factors in setting up a duct system is the external static pressure (esp) is the measurement of all the resistance in the duct system. Examples are filters, grills, a/c coils and the.. Ducting Esp Calculation.
From www.scribd.com
ESP CALCULATION SAMPLE Duct (Flow) Temperature Ducting Esp Calculation External static pressure is the measurement of all the resistance in the duct system that the fan has to work against. Perhaps one of the most frequently ignored factors in setting up a duct system is the external static pressure (esp) is the measurement of all the resistance in the duct system. The common section is 12 in. The below. Ducting Esp Calculation.
From www.scribd.com
Esp Pu1 PDF Duct (Flow) Friction Ducting Esp Calculation Perhaps one of the most frequently ignored factors in setting up a duct system is the external static pressure (esp) is the measurement of all the resistance in the duct system. External static pressure is the measurement of all the resistance in the duct system that the fan has to work against. Examples are filters, grills, a/c coils and the.. Ducting Esp Calculation.
From www.youtube.com
86 HVAC duct weight calculation method in english YouTube Ducting Esp Calculation Perhaps one of the most frequently ignored factors in setting up a duct system is the external static pressure (esp) is the measurement of all the resistance in the duct system. The common section is 12 in. Examples are filters, grills, a/c coils and the. Calculating external static pressure (esp) in hvac ducts is an integral aspect of system design. Ducting Esp Calculation.
From www.youtube.com
External Static Pressure (ESP) Calculation by ASHRAE handbook method Ducting Esp Calculation Examples are filters, grills, a/c coils and the. External static pressure is the measurement of all the resistance in the duct system that the fan has to work against. The below calculation sheet is very simple and all engineers can make use of it in order to estimate / calculate the external static pressure (esp) of any fan in any. Ducting Esp Calculation.
From www.youtube.com
ESP External Static Pressure Calculation by ASHRAE Duct Fitting Ducting Esp Calculation The below calculation sheet is very simple and all engineers can make use of it in order to estimate / calculate the external static pressure (esp) of any fan in any hvac equipment. The common section is 12 in. Calculating external static pressure (esp) in hvac ducts is an integral aspect of system design and maintenance. Examples are filters, grills,. Ducting Esp Calculation.
From m1engineering.ca
PJFF / ESP / Ducting Systems M1 Engineering Ducting Esp Calculation Examples are filters, grills, a/c coils and the. External static pressure is the measurement of all the resistance in the duct system that the fan has to work against. Calculating external static pressure (esp) in hvac ducts is an integral aspect of system design and maintenance. The common section is 12 in. The below calculation sheet is very simple and. Ducting Esp Calculation.
From www.youtube.com
ESP External Static Pressure Calculation for HVAC ducting based on Ducting Esp Calculation Calculating external static pressure (esp) in hvac ducts is an integral aspect of system design and maintenance. The common section is 12 in. Perhaps one of the most frequently ignored factors in setting up a duct system is the external static pressure (esp) is the measurement of all the resistance in the duct system. External static pressure is the measurement. Ducting Esp Calculation.
From www.scribd.com
Esp Calculation Sheet m1 PDF Duct (Flow) Manufactured Goods Ducting Esp Calculation The below calculation sheet is very simple and all engineers can make use of it in order to estimate / calculate the external static pressure (esp) of any fan in any hvac equipment. Calculating external static pressure (esp) in hvac ducts is an integral aspect of system design and maintenance. External static pressure is the measurement of all the resistance. Ducting Esp Calculation.
From www.scribd.com
Calculation ESP Duct (Flow) Heating, Ventilating, And Air Conditioning Ducting Esp Calculation The below calculation sheet is very simple and all engineers can make use of it in order to estimate / calculate the external static pressure (esp) of any fan in any hvac equipment. Calculating external static pressure (esp) in hvac ducts is an integral aspect of system design and maintenance. Perhaps one of the most frequently ignored factors in setting. Ducting Esp Calculation.
From www.slideserve.com
PPT DUCT DESIGN PowerPoint Presentation, free download ID5604758 Ducting Esp Calculation Examples are filters, grills, a/c coils and the. The below calculation sheet is very simple and all engineers can make use of it in order to estimate / calculate the external static pressure (esp) of any fan in any hvac equipment. The common section is 12 in. Perhaps one of the most frequently ignored factors in setting up a duct. Ducting Esp Calculation.
From www.researchgate.net
Configuration of wireduct ESP. Download Scientific Diagram Ducting Esp Calculation Calculating external static pressure (esp) in hvac ducts is an integral aspect of system design and maintenance. External static pressure is the measurement of all the resistance in the duct system that the fan has to work against. The below calculation sheet is very simple and all engineers can make use of it in order to estimate / calculate the. Ducting Esp Calculation.