What Is The Diameter Of 10 Gauge Copper Wire . Use the calculator or the conversion table to get. find out how to convert awg to mm and mm to awg for electrical wire and cable. find the correct gauge of electrical wire for your project with this versatile tool. 55 rows how to convert awg to mm. When calclating awg from diameter or cross sectional area, the diameter and cross. calculate the wire size needed for a circuit given the voltage and current rating required. The table shows the wire size, turns,. find wire size diameters, ampacities, skin depth frequencies and breaking strengths for american wire. Compare awg with other wire gauges, such as. 85 rows find the diameter, area, and kcmil of copper wire in awg gauge sizes from 0 to 30. Plus, calculate the size of a wire gauge in awg. find the diameter, cross sectional area and current rating of copper wire with different awg numbers.
from www.chegg.com
find out how to convert awg to mm and mm to awg for electrical wire and cable. When calclating awg from diameter or cross sectional area, the diameter and cross. The table shows the wire size, turns,. 85 rows find the diameter, area, and kcmil of copper wire in awg gauge sizes from 0 to 30. Use the calculator or the conversion table to get. Compare awg with other wire gauges, such as. find the diameter, cross sectional area and current rating of copper wire with different awg numbers. Plus, calculate the size of a wire gauge in awg. 55 rows how to convert awg to mm. find the correct gauge of electrical wire for your project with this versatile tool.
Solved What is the resistance (in Ω ) of a 31.5 m long piece
What Is The Diameter Of 10 Gauge Copper Wire find wire size diameters, ampacities, skin depth frequencies and breaking strengths for american wire. find the diameter, cross sectional area and current rating of copper wire with different awg numbers. When calclating awg from diameter or cross sectional area, the diameter and cross. 85 rows find the diameter, area, and kcmil of copper wire in awg gauge sizes from 0 to 30. 55 rows how to convert awg to mm. find out how to convert awg to mm and mm to awg for electrical wire and cable. The table shows the wire size, turns,. Compare awg with other wire gauges, such as. find the correct gauge of electrical wire for your project with this versatile tool. Plus, calculate the size of a wire gauge in awg. Use the calculator or the conversion table to get. find wire size diameters, ampacities, skin depth frequencies and breaking strengths for american wire. calculate the wire size needed for a circuit given the voltage and current rating required.
From strleng.blogspot.com
Engineer Diary Blog Title the same as above What Is The Diameter Of 10 Gauge Copper Wire Compare awg with other wire gauges, such as. calculate the wire size needed for a circuit given the voltage and current rating required. Use the calculator or the conversion table to get. find wire size diameters, ampacities, skin depth frequencies and breaking strengths for american wire. find out how to convert awg to mm and mm to. What Is The Diameter Of 10 Gauge Copper Wire.
From www.homedepot.com
How to Read a Wire Gauge Chart The Home Depot What Is The Diameter Of 10 Gauge Copper Wire find the correct gauge of electrical wire for your project with this versatile tool. find out how to convert awg to mm and mm to awg for electrical wire and cable. When calclating awg from diameter or cross sectional area, the diameter and cross. find the diameter, cross sectional area and current rating of copper wire with. What Is The Diameter Of 10 Gauge Copper Wire.
From dylan-has-orr.blogspot.com
How Is Wire Diameter Expressed in the Awg Standard DylanhasOrr What Is The Diameter Of 10 Gauge Copper Wire The table shows the wire size, turns,. 55 rows how to convert awg to mm. find wire size diameters, ampacities, skin depth frequencies and breaking strengths for american wire. calculate the wire size needed for a circuit given the voltage and current rating required. When calclating awg from diameter or cross sectional area, the diameter and cross.. What Is The Diameter Of 10 Gauge Copper Wire.
From www.angi.com
Wire Gauge Chart What Is The Diameter Of 10 Gauge Copper Wire find the correct gauge of electrical wire for your project with this versatile tool. Plus, calculate the size of a wire gauge in awg. 55 rows how to convert awg to mm. The table shows the wire size, turns,. find out how to convert awg to mm and mm to awg for electrical wire and cable. Use. What Is The Diameter Of 10 Gauge Copper Wire.
From www.copperwiresuppliers.net
Copper Wire Ohm Chart Copper Wire SuppliersCopper Wire Suppliers What Is The Diameter Of 10 Gauge Copper Wire Use the calculator or the conversion table to get. calculate the wire size needed for a circuit given the voltage and current rating required. When calclating awg from diameter or cross sectional area, the diameter and cross. find wire size diameters, ampacities, skin depth frequencies and breaking strengths for american wire. find the diameter, cross sectional area. What Is The Diameter Of 10 Gauge Copper Wire.
From learn.sonicelectronix.com
Wire Gauge Sizes & The American Wire Gauge (AWG) Sonic Electronix What Is The Diameter Of 10 Gauge Copper Wire Use the calculator or the conversion table to get. find the diameter, cross sectional area and current rating of copper wire with different awg numbers. Compare awg with other wire gauges, such as. The table shows the wire size, turns,. find the correct gauge of electrical wire for your project with this versatile tool. 85 rows find. What Is The Diameter Of 10 Gauge Copper Wire.
From www.machinemfg.com
Copper Wire Diameter Specification Comparison Table MachineMFG What Is The Diameter Of 10 Gauge Copper Wire Use the calculator or the conversion table to get. calculate the wire size needed for a circuit given the voltage and current rating required. find wire size diameters, ampacities, skin depth frequencies and breaking strengths for american wire. Compare awg with other wire gauges, such as. find the diameter, cross sectional area and current rating of copper. What Is The Diameter Of 10 Gauge Copper Wire.
From www.familyhandyman.com
Wire Gauge Sizes What You Need To Know Family Handyman What Is The Diameter Of 10 Gauge Copper Wire Use the calculator or the conversion table to get. find the correct gauge of electrical wire for your project with this versatile tool. When calclating awg from diameter or cross sectional area, the diameter and cross. 55 rows how to convert awg to mm. find wire size diameters, ampacities, skin depth frequencies and breaking strengths for american. What Is The Diameter Of 10 Gauge Copper Wire.
From seppanvschematic.z4.web.core.windows.net
What Size Copper Wire For 80 Amps What Is The Diameter Of 10 Gauge Copper Wire Use the calculator or the conversion table to get. find the diameter, cross sectional area and current rating of copper wire with different awg numbers. Compare awg with other wire gauges, such as. Plus, calculate the size of a wire gauge in awg. The table shows the wire size, turns,. calculate the wire size needed for a circuit. What Is The Diameter Of 10 Gauge Copper Wire.
From jared-has-gamble.blogspot.com
How Is Wire Diameter Expressed in the Awg Standard JaredhasGamble What Is The Diameter Of 10 Gauge Copper Wire 55 rows how to convert awg to mm. The table shows the wire size, turns,. find the diameter, cross sectional area and current rating of copper wire with different awg numbers. calculate the wire size needed for a circuit given the voltage and current rating required. find out how to convert awg to mm and mm. What Is The Diameter Of 10 Gauge Copper Wire.
From wire-sculpture.com
10 Gauge Round Dead Soft Copper Wire Wire Jewelry Wire Wrap What Is The Diameter Of 10 Gauge Copper Wire Compare awg with other wire gauges, such as. 55 rows how to convert awg to mm. find out how to convert awg to mm and mm to awg for electrical wire and cable. calculate the wire size needed for a circuit given the voltage and current rating required. The table shows the wire size, turns,. find. What Is The Diameter Of 10 Gauge Copper Wire.
From receivinghelpdesk.com
What Is The Diameter Of 12 Gauge Copper Wire What Is The Diameter Of 10 Gauge Copper Wire When calclating awg from diameter or cross sectional area, the diameter and cross. calculate the wire size needed for a circuit given the voltage and current rating required. Plus, calculate the size of a wire gauge in awg. 85 rows find the diameter, area, and kcmil of copper wire in awg gauge sizes from 0 to 30. Compare. What Is The Diameter Of 10 Gauge Copper Wire.
From www.electricaltechnology.org
American Wire Gauge "AWG" Calculator AWG Size Chart & Table What Is The Diameter Of 10 Gauge Copper Wire Compare awg with other wire gauges, such as. 85 rows find the diameter, area, and kcmil of copper wire in awg gauge sizes from 0 to 30. Use the calculator or the conversion table to get. The table shows the wire size, turns,. find out how to convert awg to mm and mm to awg for electrical wire. What Is The Diameter Of 10 Gauge Copper Wire.
From energyeducation.ca
Wire gauge Energy Education What Is The Diameter Of 10 Gauge Copper Wire find the correct gauge of electrical wire for your project with this versatile tool. The table shows the wire size, turns,. find out how to convert awg to mm and mm to awg for electrical wire and cable. Compare awg with other wire gauges, such as. find wire size diameters, ampacities, skin depth frequencies and breaking strengths. What Is The Diameter Of 10 Gauge Copper Wire.
From wiringfixgetapterje.z13.web.core.windows.net
How To Determine Wire Gauge By Diameter What Is The Diameter Of 10 Gauge Copper Wire find out how to convert awg to mm and mm to awg for electrical wire and cable. Plus, calculate the size of a wire gauge in awg. calculate the wire size needed for a circuit given the voltage and current rating required. Compare awg with other wire gauges, such as. 85 rows find the diameter, area, and. What Is The Diameter Of 10 Gauge Copper Wire.
From precmfgco.com
A Guide to Wire Gauge Sizes Precision Manufacturing Company Inc. What Is The Diameter Of 10 Gauge Copper Wire find the correct gauge of electrical wire for your project with this versatile tool. calculate the wire size needed for a circuit given the voltage and current rating required. 85 rows find the diameter, area, and kcmil of copper wire in awg gauge sizes from 0 to 30. Compare awg with other wire gauges, such as. When. What Is The Diameter Of 10 Gauge Copper Wire.
From www.vrogue.co
Copper Wire Gauge Chart vrogue.co What Is The Diameter Of 10 Gauge Copper Wire Use the calculator or the conversion table to get. 55 rows how to convert awg to mm. calculate the wire size needed for a circuit given the voltage and current rating required. find the diameter, cross sectional area and current rating of copper wire with different awg numbers. find the correct gauge of electrical wire for. What Is The Diameter Of 10 Gauge Copper Wire.
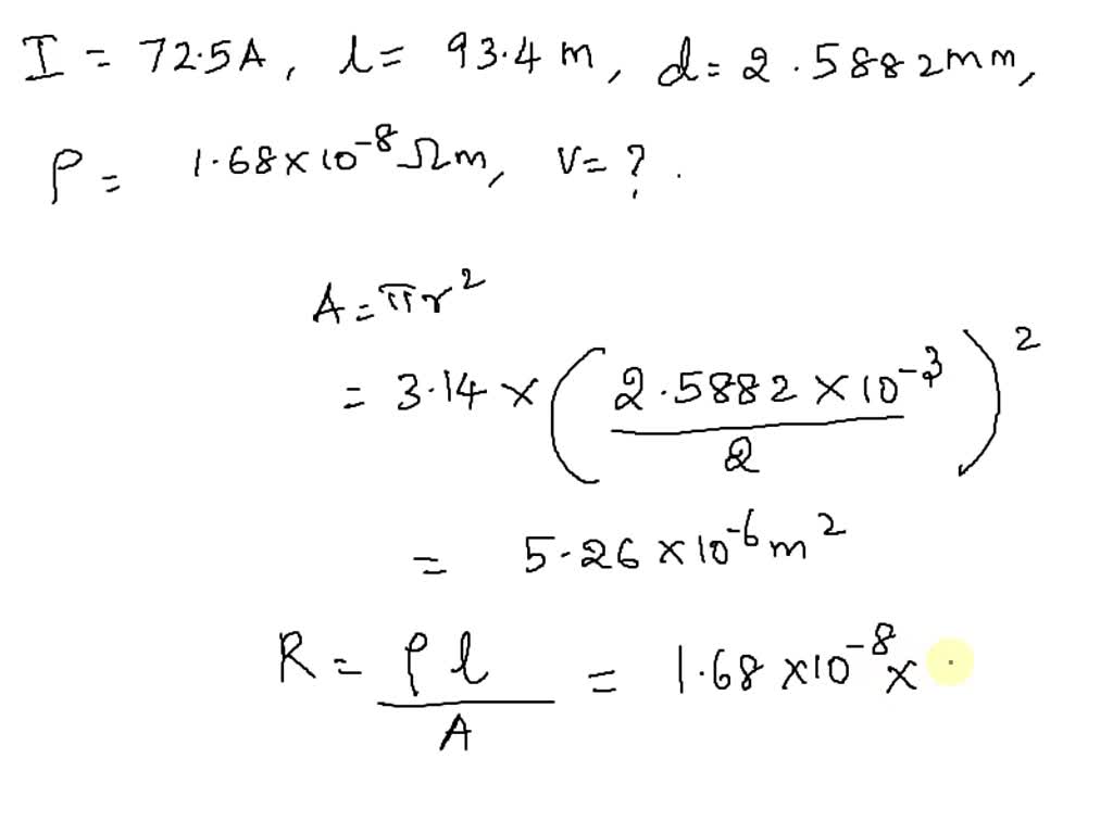
From www.numerade.com
SOLVED Find the voltage drop (in volt) along a 93.4 meter long 10 What Is The Diameter Of 10 Gauge Copper Wire find out how to convert awg to mm and mm to awg for electrical wire and cable. find wire size diameters, ampacities, skin depth frequencies and breaking strengths for american wire. 85 rows find the diameter, area, and kcmil of copper wire in awg gauge sizes from 0 to 30. When calclating awg from diameter or cross. What Is The Diameter Of 10 Gauge Copper Wire.
From manual.imagenes4k.com
Electric Wire Gauge Chart Electrical Wire Size Table. Tw/thw Stranded What Is The Diameter Of 10 Gauge Copper Wire When calclating awg from diameter or cross sectional area, the diameter and cross. find the correct gauge of electrical wire for your project with this versatile tool. Use the calculator or the conversion table to get. find wire size diameters, ampacities, skin depth frequencies and breaking strengths for american wire. find the diameter, cross sectional area and. What Is The Diameter Of 10 Gauge Copper Wire.
From bceweb.org
Copper Wire Gauge Size Chart A Visual Reference of Charts Chart Master What Is The Diameter Of 10 Gauge Copper Wire The table shows the wire size, turns,. find the correct gauge of electrical wire for your project with this versatile tool. calculate the wire size needed for a circuit given the voltage and current rating required. Compare awg with other wire gauges, such as. When calclating awg from diameter or cross sectional area, the diameter and cross. Plus,. What Is The Diameter Of 10 Gauge Copper Wire.
From chartexamples.com
Bare Copper Wire Size Chart Chart Examples What Is The Diameter Of 10 Gauge Copper Wire When calclating awg from diameter or cross sectional area, the diameter and cross. 85 rows find the diameter, area, and kcmil of copper wire in awg gauge sizes from 0 to 30. find the diameter, cross sectional area and current rating of copper wire with different awg numbers. find out how to convert awg to mm and. What Is The Diameter Of 10 Gauge Copper Wire.
From skutojovaschematic.z4.web.core.windows.net
240v Wire Gauge Chart For Amperage What Is The Diameter Of 10 Gauge Copper Wire When calclating awg from diameter or cross sectional area, the diameter and cross. 55 rows how to convert awg to mm. Plus, calculate the size of a wire gauge in awg. Compare awg with other wire gauges, such as. 85 rows find the diameter, area, and kcmil of copper wire in awg gauge sizes from 0 to 30.. What Is The Diameter Of 10 Gauge Copper Wire.
From www.chegg.com
Solved What is the resistance (in Ω ) of a 31.5 m long piece What Is The Diameter Of 10 Gauge Copper Wire 55 rows how to convert awg to mm. find the diameter, cross sectional area and current rating of copper wire with different awg numbers. calculate the wire size needed for a circuit given the voltage and current rating required. Use the calculator or the conversion table to get. Plus, calculate the size of a wire gauge in. What Is The Diameter Of 10 Gauge Copper Wire.
From dxozmfego.blob.core.windows.net
How Much Is 4 Gauge Wire Per Foot at Jean Stclair blog What Is The Diameter Of 10 Gauge Copper Wire When calclating awg from diameter or cross sectional area, the diameter and cross. calculate the wire size needed for a circuit given the voltage and current rating required. find the diameter, cross sectional area and current rating of copper wire with different awg numbers. Compare awg with other wire gauges, such as. find wire size diameters, ampacities,. What Is The Diameter Of 10 Gauge Copper Wire.
From www.encorewire.com
Wire Ampacity Size Table Encore Wire Corporation What Is The Diameter Of 10 Gauge Copper Wire 55 rows how to convert awg to mm. find the diameter, cross sectional area and current rating of copper wire with different awg numbers. find wire size diameters, ampacities, skin depth frequencies and breaking strengths for american wire. When calclating awg from diameter or cross sectional area, the diameter and cross. The table shows the wire size,. What Is The Diameter Of 10 Gauge Copper Wire.
From exokyvatx.blob.core.windows.net
Wire Gauge Chart Diameter at Travis Lee blog What Is The Diameter Of 10 Gauge Copper Wire find wire size diameters, ampacities, skin depth frequencies and breaking strengths for american wire. find the correct gauge of electrical wire for your project with this versatile tool. 85 rows find the diameter, area, and kcmil of copper wire in awg gauge sizes from 0 to 30. The table shows the wire size, turns,. find out. What Is The Diameter Of 10 Gauge Copper Wire.
From ar.inspiredpencil.com
Electrical Copper Wire Sizes What Is The Diameter Of 10 Gauge Copper Wire find the correct gauge of electrical wire for your project with this versatile tool. 55 rows how to convert awg to mm. 85 rows find the diameter, area, and kcmil of copper wire in awg gauge sizes from 0 to 30. calculate the wire size needed for a circuit given the voltage and current rating required.. What Is The Diameter Of 10 Gauge Copper Wire.
From skutojovaschematic.z4.web.core.windows.net
Copper Wire Size For 80 Amps What Is The Diameter Of 10 Gauge Copper Wire find the diameter, cross sectional area and current rating of copper wire with different awg numbers. find wire size diameters, ampacities, skin depth frequencies and breaking strengths for american wire. find out how to convert awg to mm and mm to awg for electrical wire and cable. The table shows the wire size, turns,. Plus, calculate the. What Is The Diameter Of 10 Gauge Copper Wire.
From www.etsy.com
copper wire 10 gauge copper wire tinned copper 100 ft. What Is The Diameter Of 10 Gauge Copper Wire find out how to convert awg to mm and mm to awg for electrical wire and cable. Plus, calculate the size of a wire gauge in awg. find the correct gauge of electrical wire for your project with this versatile tool. find the diameter, cross sectional area and current rating of copper wire with different awg numbers.. What Is The Diameter Of 10 Gauge Copper Wire.
From www.familyhandyman.com
Visual Comparison of Wire Sizes The Family Handyman What Is The Diameter Of 10 Gauge Copper Wire find out how to convert awg to mm and mm to awg for electrical wire and cable. calculate the wire size needed for a circuit given the voltage and current rating required. find the correct gauge of electrical wire for your project with this versatile tool. find the diameter, cross sectional area and current rating of. What Is The Diameter Of 10 Gauge Copper Wire.
From www.chegg.com
Solved I have some 10 gauge copper wire (diameter =2.588 mm What Is The Diameter Of 10 Gauge Copper Wire calculate the wire size needed for a circuit given the voltage and current rating required. 85 rows find the diameter, area, and kcmil of copper wire in awg gauge sizes from 0 to 30. When calclating awg from diameter or cross sectional area, the diameter and cross. find the diameter, cross sectional area and current rating of. What Is The Diameter Of 10 Gauge Copper Wire.
From guidefixzayarimj.z22.web.core.windows.net
What Gauge Wire For 240v 60 Amp What Is The Diameter Of 10 Gauge Copper Wire calculate the wire size needed for a circuit given the voltage and current rating required. The table shows the wire size, turns,. Use the calculator or the conversion table to get. 55 rows how to convert awg to mm. 85 rows find the diameter, area, and kcmil of copper wire in awg gauge sizes from 0 to. What Is The Diameter Of 10 Gauge Copper Wire.
From www.etsy.com
copper wire 10 gauge copper wire bare copper 50 ft. What Is The Diameter Of 10 Gauge Copper Wire The table shows the wire size, turns,. find wire size diameters, ampacities, skin depth frequencies and breaking strengths for american wire. 55 rows how to convert awg to mm. Compare awg with other wire gauges, such as. find the diameter, cross sectional area and current rating of copper wire with different awg numbers. find out how. What Is The Diameter Of 10 Gauge Copper Wire.
From www.youtube.com
What Size Wire Do I Use To Wire My Solar Components? Does Wire Size What Is The Diameter Of 10 Gauge Copper Wire calculate the wire size needed for a circuit given the voltage and current rating required. 55 rows how to convert awg to mm. find wire size diameters, ampacities, skin depth frequencies and breaking strengths for american wire. find the correct gauge of electrical wire for your project with this versatile tool. find out how to. What Is The Diameter Of 10 Gauge Copper Wire.
From fixenginecopiadersfs.z13.web.core.windows.net
How To Determine Automotive Wire Gauge Size What Is The Diameter Of 10 Gauge Copper Wire find wire size diameters, ampacities, skin depth frequencies and breaking strengths for american wire. find the diameter, cross sectional area and current rating of copper wire with different awg numbers. find out how to convert awg to mm and mm to awg for electrical wire and cable. The table shows the wire size, turns,. calculate the. What Is The Diameter Of 10 Gauge Copper Wire.