What Is Motion To Quash Mean . They may decide to file a motion to quash. It is a request to a court to find that a lower court’s decision was incorrect, and therefore that decision should be reversed or changed. Simplifying as much as possible, a motion to quash is like an appeal during your case instead of after the verdict. “quash” is a legal term meaning to terminate, reject or void. A motion to quash example would be if a party experienced improper service of process. In law, a motion to quash is a formal request made to a court to declare a specific proceeding, such as a subpoena, an. A motion to quash is a legal request made to a court, asking it to render a previous decision or proceeding invalid or to nullify a. A “motion” is a written document directed to the judge in the case asking the judge to take some action for the reasons stated in the motion. A motion to quash refers to a specific type of request, in which one court is asked to render the decision made by another, lower court as invalid.
from www.scribd.com
Simplifying as much as possible, a motion to quash is like an appeal during your case instead of after the verdict. It is a request to a court to find that a lower court’s decision was incorrect, and therefore that decision should be reversed or changed. A motion to quash refers to a specific type of request, in which one court is asked to render the decision made by another, lower court as invalid. “quash” is a legal term meaning to terminate, reject or void. In law, a motion to quash is a formal request made to a court to declare a specific proceeding, such as a subpoena, an. A “motion” is a written document directed to the judge in the case asking the judge to take some action for the reasons stated in the motion. A motion to quash is a legal request made to a court, asking it to render a previous decision or proceeding invalid or to nullify a. They may decide to file a motion to quash. A motion to quash example would be if a party experienced improper service of process.
Motion to Quash Search And Seizure Search Warrant
What Is Motion To Quash Mean They may decide to file a motion to quash. A motion to quash example would be if a party experienced improper service of process. Simplifying as much as possible, a motion to quash is like an appeal during your case instead of after the verdict. A motion to quash refers to a specific type of request, in which one court is asked to render the decision made by another, lower court as invalid. A motion to quash is a legal request made to a court, asking it to render a previous decision or proceeding invalid or to nullify a. “quash” is a legal term meaning to terminate, reject or void. In law, a motion to quash is a formal request made to a court to declare a specific proceeding, such as a subpoena, an. It is a request to a court to find that a lower court’s decision was incorrect, and therefore that decision should be reversed or changed. They may decide to file a motion to quash. A “motion” is a written document directed to the judge in the case asking the judge to take some action for the reasons stated in the motion.
From www.studocu.com
CC NO. 6000 Motion TO Quash Information Republic of the Philippines What Is Motion To Quash Mean They may decide to file a motion to quash. A motion to quash refers to a specific type of request, in which one court is asked to render the decision made by another, lower court as invalid. Simplifying as much as possible, a motion to quash is like an appeal during your case instead of after the verdict. “quash” is. What Is Motion To Quash Mean.
From www.wikihow.com
How to File Motion to Quash (with Pictures) wikiHow What Is Motion To Quash Mean It is a request to a court to find that a lower court’s decision was incorrect, and therefore that decision should be reversed or changed. “quash” is a legal term meaning to terminate, reject or void. A motion to quash example would be if a party experienced improper service of process. In law, a motion to quash is a formal. What Is Motion To Quash Mean.
From www.scribd.com
Motion To Quash PDF Crime & Violence Crime Thriller What Is Motion To Quash Mean A motion to quash is a legal request made to a court, asking it to render a previous decision or proceeding invalid or to nullify a. A motion to quash refers to a specific type of request, in which one court is asked to render the decision made by another, lower court as invalid. A motion to quash example would. What Is Motion To Quash Mean.
From www.scribd.com
Motion To Quash PDF Discovery (Law) Lawsuit What Is Motion To Quash Mean They may decide to file a motion to quash. Simplifying as much as possible, a motion to quash is like an appeal during your case instead of after the verdict. A motion to quash is a legal request made to a court, asking it to render a previous decision or proceeding invalid or to nullify a. It is a request. What Is Motion To Quash Mean.
From www.scribd.com
Motion To Quash PDF Felony Justice What Is Motion To Quash Mean It is a request to a court to find that a lower court’s decision was incorrect, and therefore that decision should be reversed or changed. A motion to quash refers to a specific type of request, in which one court is asked to render the decision made by another, lower court as invalid. In law, a motion to quash is. What Is Motion To Quash Mean.
From www.scribd.com
Motion To Quash Discovery (Law) Deposition (Law) What Is Motion To Quash Mean They may decide to file a motion to quash. A motion to quash is a legal request made to a court, asking it to render a previous decision or proceeding invalid or to nullify a. A “motion” is a written document directed to the judge in the case asking the judge to take some action for the reasons stated in. What Is Motion To Quash Mean.
From www.studocu.com
456248009 Motion to Quash J RTC Scribd REPUBLIC OF THE PHILIPPINES What Is Motion To Quash Mean Simplifying as much as possible, a motion to quash is like an appeal during your case instead of after the verdict. They may decide to file a motion to quash. A motion to quash refers to a specific type of request, in which one court is asked to render the decision made by another, lower court as invalid. “quash” is. What Is Motion To Quash Mean.
From www.scribd.com
What Is The Form of A Motion To Quash PDF Legal Procedure What Is Motion To Quash Mean A “motion” is a written document directed to the judge in the case asking the judge to take some action for the reasons stated in the motion. Simplifying as much as possible, a motion to quash is like an appeal during your case instead of after the verdict. A motion to quash refers to a specific type of request, in. What Is Motion To Quash Mean.
From www.scribd.com
Motion to Quash Search Warrant Search Warrant Legal Procedure What Is Motion To Quash Mean In law, a motion to quash is a formal request made to a court to declare a specific proceeding, such as a subpoena, an. Simplifying as much as possible, a motion to quash is like an appeal during your case instead of after the verdict. They may decide to file a motion to quash. A motion to quash is a. What Is Motion To Quash Mean.
From www.scribd.com
Motion To Quash Information PDF What Is Motion To Quash Mean They may decide to file a motion to quash. “quash” is a legal term meaning to terminate, reject or void. A motion to quash example would be if a party experienced improper service of process. In law, a motion to quash is a formal request made to a court to declare a specific proceeding, such as a subpoena, an. A. What Is Motion To Quash Mean.
From www.scribd.com
Motion to Quash Information Prosecutor Theft What Is Motion To Quash Mean A motion to quash is a legal request made to a court, asking it to render a previous decision or proceeding invalid or to nullify a. A motion to quash example would be if a party experienced improper service of process. A motion to quash refers to a specific type of request, in which one court is asked to render. What Is Motion To Quash Mean.
From www.scribd.com
Sample Motion To Quash Information PDF PDF Murder Crime & Violence What Is Motion To Quash Mean In law, a motion to quash is a formal request made to a court to declare a specific proceeding, such as a subpoena, an. It is a request to a court to find that a lower court’s decision was incorrect, and therefore that decision should be reversed or changed. A motion to quash is a legal request made to a. What Is Motion To Quash Mean.
From www.scribd.com
Sample Motion to Quash.pdf Deposition (Law) Subpoena Duces Tecum What Is Motion To Quash Mean Simplifying as much as possible, a motion to quash is like an appeal during your case instead of after the verdict. “quash” is a legal term meaning to terminate, reject or void. A “motion” is a written document directed to the judge in the case asking the judge to take some action for the reasons stated in the motion. They. What Is Motion To Quash Mean.
From www.scribd.com
Motion To Quash Legal Personality Crime & Violence What Is Motion To Quash Mean A motion to quash is a legal request made to a court, asking it to render a previous decision or proceeding invalid or to nullify a. In law, a motion to quash is a formal request made to a court to declare a specific proceeding, such as a subpoena, an. Simplifying as much as possible, a motion to quash is. What Is Motion To Quash Mean.
From www.uslegalforms.com
Motion to Quash Indictment What Does Indictment Mean US Legal Forms What Is Motion To Quash Mean “quash” is a legal term meaning to terminate, reject or void. A motion to quash refers to a specific type of request, in which one court is asked to render the decision made by another, lower court as invalid. A motion to quash is a legal request made to a court, asking it to render a previous decision or proceeding. What Is Motion To Quash Mean.
From www.wikihow.com
How to File Motion to Quash (with Pictures) wikiHow What Is Motion To Quash Mean They may decide to file a motion to quash. A motion to quash refers to a specific type of request, in which one court is asked to render the decision made by another, lower court as invalid. A “motion” is a written document directed to the judge in the case asking the judge to take some action for the reasons. What Is Motion To Quash Mean.
From www.scribd.com
Motion To Quash Information PDF What Is Motion To Quash Mean A motion to quash is a legal request made to a court, asking it to render a previous decision or proceeding invalid or to nullify a. In law, a motion to quash is a formal request made to a court to declare a specific proceeding, such as a subpoena, an. A motion to quash example would be if a party. What Is Motion To Quash Mean.
From www.scribd.com
Motion To Quash PDF Due Process Clause Bail What Is Motion To Quash Mean It is a request to a court to find that a lower court’s decision was incorrect, and therefore that decision should be reversed or changed. They may decide to file a motion to quash. A “motion” is a written document directed to the judge in the case asking the judge to take some action for the reasons stated in the. What Is Motion To Quash Mean.
From www.studocu.com
Motion to Quash Template Page 1 of 3 Republic of the Philippines What Is Motion To Quash Mean A motion to quash refers to a specific type of request, in which one court is asked to render the decision made by another, lower court as invalid. A motion to quash is a legal request made to a court, asking it to render a previous decision or proceeding invalid or to nullify a. “quash” is a legal term meaning. What Is Motion To Quash Mean.
From www.scribd.com
Caraway Motion to Quash Deposition Deposition (Law) Intervention (Law) What Is Motion To Quash Mean They may decide to file a motion to quash. A motion to quash example would be if a party experienced improper service of process. Simplifying as much as possible, a motion to quash is like an appeal during your case instead of after the verdict. A motion to quash refers to a specific type of request, in which one court. What Is Motion To Quash Mean.
From www.scribd.com
Motion To Quash Information Sample PDF Prosecutor Criminal Justice What Is Motion To Quash Mean A motion to quash refers to a specific type of request, in which one court is asked to render the decision made by another, lower court as invalid. “quash” is a legal term meaning to terminate, reject or void. Simplifying as much as possible, a motion to quash is like an appeal during your case instead of after the verdict.. What Is Motion To Quash Mean.
From www.scribd.com
Motion to Quash Search And Seizure Search Warrant What Is Motion To Quash Mean A motion to quash example would be if a party experienced improper service of process. In law, a motion to quash is a formal request made to a court to declare a specific proceeding, such as a subpoena, an. Simplifying as much as possible, a motion to quash is like an appeal during your case instead of after the verdict.. What Is Motion To Quash Mean.
From www.scribd.com
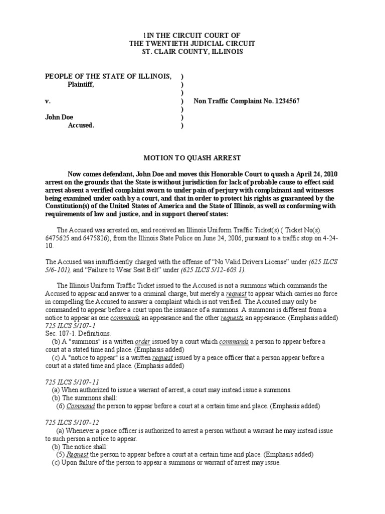
Illinois Motion To Quash Arrest Traffic Indictment Search And Seizure What Is Motion To Quash Mean In law, a motion to quash is a formal request made to a court to declare a specific proceeding, such as a subpoena, an. It is a request to a court to find that a lower court’s decision was incorrect, and therefore that decision should be reversed or changed. A motion to quash refers to a specific type of request,. What Is Motion To Quash Mean.
From www.scribd.com
Motion To Quash Sample Form PDF Lawsuit Public Sphere What Is Motion To Quash Mean A motion to quash refers to a specific type of request, in which one court is asked to render the decision made by another, lower court as invalid. Simplifying as much as possible, a motion to quash is like an appeal during your case instead of after the verdict. It is a request to a court to find that a. What Is Motion To Quash Mean.
From www.scribd.com
Motion To Quash PDF Pleading Criminal Justice What Is Motion To Quash Mean A motion to quash is a legal request made to a court, asking it to render a previous decision or proceeding invalid or to nullify a. They may decide to file a motion to quash. Simplifying as much as possible, a motion to quash is like an appeal during your case instead of after the verdict. A “motion” is a. What Is Motion To Quash Mean.
From www.wikihow.com
How to File Motion to Quash (with Pictures) wikiHow What Is Motion To Quash Mean It is a request to a court to find that a lower court’s decision was incorrect, and therefore that decision should be reversed or changed. A motion to quash is a legal request made to a court, asking it to render a previous decision or proceeding invalid or to nullify a. A motion to quash refers to a specific type. What Is Motion To Quash Mean.
From www.scribd.com
Motion To Quash Summons Complaint What Is Motion To Quash Mean They may decide to file a motion to quash. It is a request to a court to find that a lower court’s decision was incorrect, and therefore that decision should be reversed or changed. Simplifying as much as possible, a motion to quash is like an appeal during your case instead of after the verdict. “quash” is a legal term. What Is Motion To Quash Mean.
From studylib.net
Motion to Quash Notice and Memorandum What Is Motion To Quash Mean Simplifying as much as possible, a motion to quash is like an appeal during your case instead of after the verdict. A motion to quash example would be if a party experienced improper service of process. A “motion” is a written document directed to the judge in the case asking the judge to take some action for the reasons stated. What Is Motion To Quash Mean.
From www.scribd.com
Motion To Quash Sample PDF Crime & Violence Crime Thriller What Is Motion To Quash Mean A “motion” is a written document directed to the judge in the case asking the judge to take some action for the reasons stated in the motion. They may decide to file a motion to quash. In law, a motion to quash is a formal request made to a court to declare a specific proceeding, such as a subpoena, an.. What Is Motion To Quash Mean.
From mavink.com
Examples Of Motion To Quash What Is Motion To Quash Mean A motion to quash refers to a specific type of request, in which one court is asked to render the decision made by another, lower court as invalid. A motion to quash is a legal request made to a court, asking it to render a previous decision or proceeding invalid or to nullify a. Simplifying as much as possible, a. What Is Motion To Quash Mean.
From www.scribd.com
Motion To Quash PDF What Is Motion To Quash Mean “quash” is a legal term meaning to terminate, reject or void. A motion to quash example would be if a party experienced improper service of process. It is a request to a court to find that a lower court’s decision was incorrect, and therefore that decision should be reversed or changed. They may decide to file a motion to quash.. What Is Motion To Quash Mean.
From www.legalmatch.com
What Is a Motion to Quash? Quash Definition LegalMatch What Is Motion To Quash Mean A motion to quash is a legal request made to a court, asking it to render a previous decision or proceeding invalid or to nullify a. A “motion” is a written document directed to the judge in the case asking the judge to take some action for the reasons stated in the motion. Simplifying as much as possible, a motion. What Is Motion To Quash Mean.
From www.wikihow.com
How to File Motion to Quash (with Pictures) wikiHow What Is Motion To Quash Mean Simplifying as much as possible, a motion to quash is like an appeal during your case instead of after the verdict. A “motion” is a written document directed to the judge in the case asking the judge to take some action for the reasons stated in the motion. A motion to quash refers to a specific type of request, in. What Is Motion To Quash Mean.
From www.wikihow.com
How to File Motion to Quash (with Pictures) wikiHow What Is Motion To Quash Mean A motion to quash example would be if a party experienced improper service of process. It is a request to a court to find that a lower court’s decision was incorrect, and therefore that decision should be reversed or changed. A motion to quash refers to a specific type of request, in which one court is asked to render the. What Is Motion To Quash Mean.
From www.signnow.com
Motion to Quash Form Complete with ease airSlate SignNow What Is Motion To Quash Mean A motion to quash is a legal request made to a court, asking it to render a previous decision or proceeding invalid or to nullify a. Simplifying as much as possible, a motion to quash is like an appeal during your case instead of after the verdict. A motion to quash refers to a specific type of request, in which. What Is Motion To Quash Mean.