Advance Directive Form Delaware . An advance directive is established by completing an advance health care directive form. A power of attorney for health care. Create your advance healthcare directive for delaware using our free pdf template and instructions. Under delaware law there are two types of advance health care directives: A medical power of attorney allows an individual to name an “agent” who can. A delaware advance directive is a legal document that combines a living will and medical power of attorney. Delaware's advance health care directive form in spanish: Delaware has three ways for you to make a formal advance directive. An advance directive enables you to: Directrices anticipadas de asistencia médica. The advance health care directive form was developed by the committee on law and the elderly of the delaware bar association. These include living wills, health care power of attorney, and advance.
from www.speedytemplate.com
An advance directive enables you to: A delaware advance directive is a legal document that combines a living will and medical power of attorney. Directrices anticipadas de asistencia médica. A power of attorney for health care. Under delaware law there are two types of advance health care directives: An advance directive is established by completing an advance health care directive form. Create your advance healthcare directive for delaware using our free pdf template and instructions. Delaware's advance health care directive form in spanish: These include living wills, health care power of attorney, and advance. The advance health care directive form was developed by the committee on law and the elderly of the delaware bar association.
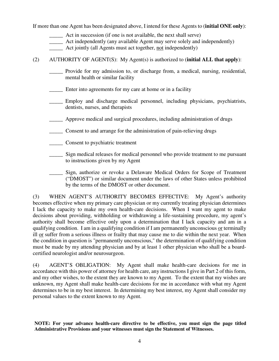
Free Delaware Advance Health Care Directive Form PDF 90KB 17 Page
Advance Directive Form Delaware An advance directive enables you to: Directrices anticipadas de asistencia médica. Create your advance healthcare directive for delaware using our free pdf template and instructions. The advance health care directive form was developed by the committee on law and the elderly of the delaware bar association. An advance directive is established by completing an advance health care directive form. An advance directive enables you to: A medical power of attorney allows an individual to name an “agent” who can. A delaware advance directive is a legal document that combines a living will and medical power of attorney. These include living wills, health care power of attorney, and advance. Delaware has three ways for you to make a formal advance directive. A power of attorney for health care. Delaware's advance health care directive form in spanish: Under delaware law there are two types of advance health care directives:
From freeforms.com
Free Oregon Advance Directive Form (Medical POA & Living Will) PDF Advance Directive Form Delaware The advance health care directive form was developed by the committee on law and the elderly of the delaware bar association. A medical power of attorney allows an individual to name an “agent” who can. Delaware's advance health care directive form in spanish: Delaware has three ways for you to make a formal advance directive. An advance directive is established. Advance Directive Form Delaware.
From www.speedytemplate.com
Free Delaware Advance Health Care Directive Form PDF 24KB 6 Page Advance Directive Form Delaware An advance directive is established by completing an advance health care directive form. Under delaware law there are two types of advance health care directives: Delaware's advance health care directive form in spanish: A power of attorney for health care. A delaware advance directive is a legal document that combines a living will and medical power of attorney. Create your. Advance Directive Form Delaware.
From living-will-forms.com
FREE 9 Advance Directive Forms In PDF Living Will Forms Free Printable Advance Directive Form Delaware An advance directive enables you to: Create your advance healthcare directive for delaware using our free pdf template and instructions. Delaware's advance health care directive form in spanish: These include living wills, health care power of attorney, and advance. Directrices anticipadas de asistencia médica. A power of attorney for health care. Under delaware law there are two types of advance. Advance Directive Form Delaware.
From www.pdfprof.com
i directives Advance Directive Form Delaware A medical power of attorney allows an individual to name an “agent” who can. These include living wills, health care power of attorney, and advance. The advance health care directive form was developed by the committee on law and the elderly of the delaware bar association. An advance directive is established by completing an advance health care directive form. Under. Advance Directive Form Delaware.
From www.speedytemplate.com
Free Delaware Advance Health Care Directive Form PDF 90KB 17 Page Advance Directive Form Delaware Under delaware law there are two types of advance health care directives: Delaware's advance health care directive form in spanish: An advance directive enables you to: A medical power of attorney allows an individual to name an “agent” who can. Create your advance healthcare directive for delaware using our free pdf template and instructions. Delaware has three ways for you. Advance Directive Form Delaware.
From www.speedytemplate.com
Free Delaware Advance Health Care Directive Form PDF 24KB 6 Page Advance Directive Form Delaware The advance health care directive form was developed by the committee on law and the elderly of the delaware bar association. Under delaware law there are two types of advance health care directives: Create your advance healthcare directive for delaware using our free pdf template and instructions. A power of attorney for health care. A delaware advance directive is a. Advance Directive Form Delaware.
From www.doyourownwill.com
Free Alaska Advance Directive Form PDF Advance Directive Form Delaware Delaware has three ways for you to make a formal advance directive. These include living wills, health care power of attorney, and advance. A power of attorney for health care. A medical power of attorney allows an individual to name an “agent” who can. Create your advance healthcare directive for delaware using our free pdf template and instructions. The advance. Advance Directive Form Delaware.
From www.pdffiller.com
Fillable Online Advance Directive Form for West Virginia Fax Email Advance Directive Form Delaware Under delaware law there are two types of advance health care directives: These include living wills, health care power of attorney, and advance. An advance directive is established by completing an advance health care directive form. The advance health care directive form was developed by the committee on law and the elderly of the delaware bar association. A delaware advance. Advance Directive Form Delaware.
From www.templateroller.com
Delaware Advance Directive for Health Care Form Fill Out, Sign Online Advance Directive Form Delaware An advance directive is established by completing an advance health care directive form. The advance health care directive form was developed by the committee on law and the elderly of the delaware bar association. Delaware has three ways for you to make a formal advance directive. Delaware's advance health care directive form in spanish: A power of attorney for health. Advance Directive Form Delaware.
From esign.com
Free Delaware Advance Directive Form PDF Advance Directive Form Delaware An advance directive is established by completing an advance health care directive form. A delaware advance directive is a legal document that combines a living will and medical power of attorney. Create your advance healthcare directive for delaware using our free pdf template and instructions. A medical power of attorney allows an individual to name an “agent” who can. Under. Advance Directive Form Delaware.
From www.signnow.com
Advance Health Care Directive of Delaware Health and Social Form Fill Advance Directive Form Delaware An advance directive enables you to: A power of attorney for health care. Delaware's advance health care directive form in spanish: An advance directive is established by completing an advance health care directive form. A delaware advance directive is a legal document that combines a living will and medical power of attorney. Directrices anticipadas de asistencia médica. Delaware has three. Advance Directive Form Delaware.
From www.speedytemplate.com
Free Delaware Advance Health Care Directive Form PDF 90KB 17 Page Advance Directive Form Delaware Delaware's advance health care directive form in spanish: Delaware has three ways for you to make a formal advance directive. The advance health care directive form was developed by the committee on law and the elderly of the delaware bar association. A power of attorney for health care. Under delaware law there are two types of advance health care directives:. Advance Directive Form Delaware.
From www.sampletemplates.com
10 Sample Advance Directive Forms To Download Sample Templates Advance Directive Form Delaware A delaware advance directive is a legal document that combines a living will and medical power of attorney. Directrices anticipadas de asistencia médica. A medical power of attorney allows an individual to name an “agent” who can. Under delaware law there are two types of advance health care directives: Delaware has three ways for you to make a formal advance. Advance Directive Form Delaware.
From pdfprof.com
advance directive form ny state Advance Directive Form Delaware Delaware has three ways for you to make a formal advance directive. A power of attorney for health care. A medical power of attorney allows an individual to name an “agent” who can. A delaware advance directive is a legal document that combines a living will and medical power of attorney. Under delaware law there are two types of advance. Advance Directive Form Delaware.
From www.kendalathome.org
3 Myths About Advance Directives Advance Directive Form Delaware An advance directive is established by completing an advance health care directive form. Delaware has three ways for you to make a formal advance directive. Directrices anticipadas de asistencia médica. The advance health care directive form was developed by the committee on law and the elderly of the delaware bar association. A power of attorney for health care. These include. Advance Directive Form Delaware.
From willforms.org
Delaware Advance Health Care Directive(Living Will) Form Will Forms Advance Directive Form Delaware A delaware advance directive is a legal document that combines a living will and medical power of attorney. An advance directive is established by completing an advance health care directive form. Under delaware law there are two types of advance health care directives: The advance health care directive form was developed by the committee on law and the elderly of. Advance Directive Form Delaware.
From www.sampletemplates.com
10 Sample Advance Directive Forms To Download Sample Templates Advance Directive Form Delaware A delaware advance directive is a legal document that combines a living will and medical power of attorney. A power of attorney for health care. The advance health care directive form was developed by the committee on law and the elderly of the delaware bar association. An advance directive enables you to: Delaware has three ways for you to make. Advance Directive Form Delaware.
From legaltemplates.net
Free Washington DC Advance Directive Form PDF & Word Advance Directive Form Delaware Create your advance healthcare directive for delaware using our free pdf template and instructions. A medical power of attorney allows an individual to name an “agent” who can. The advance health care directive form was developed by the committee on law and the elderly of the delaware bar association. Delaware's advance health care directive form in spanish: Directrices anticipadas de. Advance Directive Form Delaware.
From www.speedytemplate.com
Free Delaware Advance Health Care Directive Form PDF 24KB 6 Page Advance Directive Form Delaware The advance health care directive form was developed by the committee on law and the elderly of the delaware bar association. Delaware has three ways for you to make a formal advance directive. A delaware advance directive is a legal document that combines a living will and medical power of attorney. These include living wills, health care power of attorney,. Advance Directive Form Delaware.
From eforms.com
Free Ohio Advance Directive Form PDF eForms Advance Directive Form Delaware The advance health care directive form was developed by the committee on law and the elderly of the delaware bar association. An advance directive is established by completing an advance health care directive form. An advance directive enables you to: Delaware's advance health care directive form in spanish: A medical power of attorney allows an individual to name an “agent”. Advance Directive Form Delaware.
From freeforms.com
Free Delaware Advance Directive Form (Medical POA & Living Will) PDF Advance Directive Form Delaware Directrices anticipadas de asistencia médica. Under delaware law there are two types of advance health care directives: Create your advance healthcare directive for delaware using our free pdf template and instructions. A medical power of attorney allows an individual to name an “agent” who can. Delaware's advance health care directive form in spanish: A delaware advance directive is a legal. Advance Directive Form Delaware.
From esign.com
Free Advance Directive Forms PDF Word Advance Directive Form Delaware Create your advance healthcare directive for delaware using our free pdf template and instructions. A power of attorney for health care. Delaware's advance health care directive form in spanish: These include living wills, health care power of attorney, and advance. A medical power of attorney allows an individual to name an “agent” who can. An advance directive is established by. Advance Directive Form Delaware.
From www.signnow.com
Delaware Advance Directive Form Fill Out and Sign Printable PDF Advance Directive Form Delaware A delaware advance directive is a legal document that combines a living will and medical power of attorney. These include living wills, health care power of attorney, and advance. An advance directive is established by completing an advance health care directive form. A medical power of attorney allows an individual to name an “agent” who can. Directrices anticipadas de asistencia. Advance Directive Form Delaware.
From www.speedytemplate.com
Free Delaware Advance Health Care Directive Form PDF 90KB 17 Page Advance Directive Form Delaware These include living wills, health care power of attorney, and advance. Directrices anticipadas de asistencia médica. Under delaware law there are two types of advance health care directives: A delaware advance directive is a legal document that combines a living will and medical power of attorney. An advance directive enables you to: Delaware has three ways for you to make. Advance Directive Form Delaware.
From eforms.com
Free Michigan Advance Directive Form PDF eForms Advance Directive Form Delaware Directrices anticipadas de asistencia médica. Delaware's advance health care directive form in spanish: An advance directive enables you to: A power of attorney for health care. The advance health care directive form was developed by the committee on law and the elderly of the delaware bar association. A medical power of attorney allows an individual to name an “agent” who. Advance Directive Form Delaware.
From www.speedytemplate.com
Free Delaware Advance Health Care Directive Form PDF 24KB 6 Page(s) Advance Directive Form Delaware A power of attorney for health care. These include living wills, health care power of attorney, and advance. An advance directive enables you to: The advance health care directive form was developed by the committee on law and the elderly of the delaware bar association. Delaware's advance health care directive form in spanish: Directrices anticipadas de asistencia médica. A delaware. Advance Directive Form Delaware.
From blanker.org
Advance Directive Form Forms Docs 2023 Advance Directive Form Delaware A delaware advance directive is a legal document that combines a living will and medical power of attorney. An advance directive enables you to: Directrices anticipadas de asistencia médica. These include living wills, health care power of attorney, and advance. Delaware's advance health care directive form in spanish: A power of attorney for health care. Under delaware law there are. Advance Directive Form Delaware.
From www.templateroller.com
Idaho Advance Directive Form Fill Out, Sign Online and Download PDF Advance Directive Form Delaware Create your advance healthcare directive for delaware using our free pdf template and instructions. These include living wills, health care power of attorney, and advance. A power of attorney for health care. An advance directive enables you to: The advance health care directive form was developed by the committee on law and the elderly of the delaware bar association. An. Advance Directive Form Delaware.
From www.speedytemplate.com
Free Delaware Advance Health Care Directive Form PDF 24KB 6 Page Advance Directive Form Delaware Create your advance healthcare directive for delaware using our free pdf template and instructions. An advance directive is established by completing an advance health care directive form. These include living wills, health care power of attorney, and advance. A medical power of attorney allows an individual to name an “agent” who can. Delaware has three ways for you to make. Advance Directive Form Delaware.
From freeforms.com
Free Wisconsin Advance Directive Form (Medical POA & Living Will) PDF Advance Directive Form Delaware Delaware has three ways for you to make a formal advance directive. Directrices anticipadas de asistencia médica. An advance directive is established by completing an advance health care directive form. Delaware's advance health care directive form in spanish: These include living wills, health care power of attorney, and advance. A medical power of attorney allows an individual to name an. Advance Directive Form Delaware.
From free-printable-az.com
Download Nevada Living Will Form Advance Directive Pdf Free Advance Directive Form Delaware An advance directive is established by completing an advance health care directive form. A power of attorney for health care. A medical power of attorney allows an individual to name an “agent” who can. Create your advance healthcare directive for delaware using our free pdf template and instructions. An advance directive enables you to: A delaware advance directive is a. Advance Directive Form Delaware.
From www.vrogue.co
Free California Advance Directive Form Pdf Word Eform vrogue.co Advance Directive Form Delaware An advance directive enables you to: A power of attorney for health care. Create your advance healthcare directive for delaware using our free pdf template and instructions. Directrices anticipadas de asistencia médica. Delaware has three ways for you to make a formal advance directive. A delaware advance directive is a legal document that combines a living will and medical power. Advance Directive Form Delaware.
From freeforms.com
Free Advance Directive Forms (Medical Power of Attorney & Living Will Advance Directive Form Delaware A medical power of attorney allows an individual to name an “agent” who can. Delaware has three ways for you to make a formal advance directive. An advance directive enables you to: A delaware advance directive is a legal document that combines a living will and medical power of attorney. These include living wills, health care power of attorney, and. Advance Directive Form Delaware.
From www.signnow.com
Delaware's Advance Health Care Directive Form Delaware Fill Out and Advance Directive Form Delaware Directrices anticipadas de asistencia médica. A delaware advance directive is a legal document that combines a living will and medical power of attorney. These include living wills, health care power of attorney, and advance. Delaware has three ways for you to make a formal advance directive. Delaware's advance health care directive form in spanish: The advance health care directive form. Advance Directive Form Delaware.
From freeforms.com
Free Delaware Advance Directive Form (Medical POA & Living Will) PDF Advance Directive Form Delaware An advance directive is established by completing an advance health care directive form. A power of attorney for health care. Directrices anticipadas de asistencia médica. An advance directive enables you to: A delaware advance directive is a legal document that combines a living will and medical power of attorney. Under delaware law there are two types of advance health care. Advance Directive Form Delaware.